Разделы презентаций


Червячные передачи

Содержание

Цилиндрический(Архимедов) ГлобоидныйВиды червяковПрофиль витковПрямолинейныйКриволинейный(эвольвентный)

Слайды и текст этой презентации

Слайд 1


Слайд 2Цилиндрический
(Архимедов)
Глобоидный
Виды червяков
Профиль витков
Прямолинейный
Криволинейный
(эвольвентный)

Цилиндрический(Архимедов) ГлобоидныйВиды червяковПрофиль витковПрямолинейныйКриволинейный(эвольвентный)

Слайд 3Коэффициент диаметра червяка
q=d1/m
d1= q·m;
dа1= d1+2·m
df1= d1-2,4m
Диаметры:

Коэффициент диаметра червякаq=d1/md1= q·m;dа1= d1+2·mdf1= d1-2,4mДиаметры:

Слайд 4Условие неподрезания зубьев:
z2≥28
d2=mz2
dа2= d2+2·m
df2= d2-2,4m
aw=0.5(q+ z2)m
Кинематические параметры
U=n1/n2=z2/z1

Условие неподрезания зубьев: z2≥28d2=mz2dа2= d2+2·mdf2= d2-2,4maw=0.5(q+ z2)mКинематические параметрыU=n1/n2=z2/z1

Слайд 7Силы в зацеплении
Ft1=Fа2=2T1/d1
Ft2=Fа1=2T2/d2
Радиальная сила: Fr=Ft2tg α
Нормальная сила: Fn=Ft2/(cos α cos γ)

Силы в зацепленииFt1=Fа2=2T1/d1Ft2=Fа1=2T2/d2Радиальная сила:		Fr=Ft2tg αНормальная сила:	Fn=Ft2/(cos α cos γ)

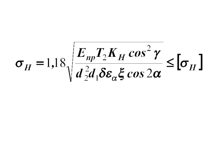
Слайд 8Расчет на прочность по контактным напряжениям


q=2T2KH/(d1 d2δεα ξcosα)
εα=1,8..2,2 – коэффициент

торцевого перекрытия в средней плоскости червячного колеса
КH≈1,1
ξ≈0,75 – коэффициент уменьшения

длины контактной линии;
γ≈100; δ=500.
Расчет на прочность по контактным напряжениямq=2T2KH/(d1 d2δεα ξcosα)εα=1,8..2,2 – коэффициент торцевого перекрытия в средней плоскости червячного колесаКH≈1,1ξ≈0,75

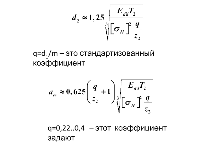
Слайд 10
q=d1/m – это стандартизованный коэффициент

q=0,22..0,4 – этот коэффициент задают

q=d1/m – это стандартизованный коэффициентq=0,22..0,4	– этот коэффициент задают

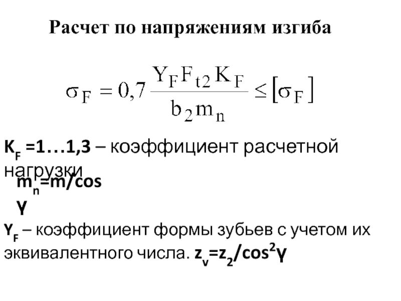
Слайд 11Расчет по напряжениям изгиба

KF =1…1,3 – коэффициент расчетной нагрузки
mn=m/cosγ
YF –

коэффициент формы зубьев с учетом их эквивалентного числа. zv=z2/cos2γ

Расчет по напряжениям изгибаKF =1…1,3 – коэффициент расчетной нагрузкиmn=m/cosγYF – коэффициент формы зубьев с учетом их эквивалентного

Слайд 12Тепловой расчет
Тепловая мощность
Ф=Р1(1-η)
Мощность конвекционной теплоотдачи
Фk=К(t1-to)S
где: К – коэффициент

теплопередачи;
t1,to – температуры масла и окружающей среды
Если Ф

все в порядке
Тепловой расчетТепловая мощностьФ=Р1(1-η)Мощность конвекционной теплоотдачи Фk=К(t1-to)S где: К – коэффициент теплопередачи; t1,to – температуры масла и окружающей

Слайд 15Глобоидные передачи

Глобоидные передачи

Обратная связь

Если не удалось найти и скачать доклад-презентацию, Вы можете заказать его на нашем сайте. Мы постараемся найти нужный Вам материал и отправим по электронной почте. Не стесняйтесь обращаться к нам, если у вас возникли вопросы или пожелания:

Email: Нажмите что бы посмотреть 

Что такое TheSlide.ru?

Это сайт презентации, докладов, проектов в PowerPoint. Здесь удобно  хранить и делиться своими презентациями с другими пользователями.


Для правообладателей

Яндекс.Метрика