Разделы презентаций


Дифференциальное исчисление функции одной переменной

Содержание

1. Функция1.1. Некоторые математические символы.Для краткой записи – кванторы.1. => - квантор следования. (α => β – означает: из α следует β)2.  - квантор эквивалентности (α эквивалентно β). В формулировке

Слайды и текст этой презентации

Слайд 1Дифференциальное исчисление функции одной переменной

Дифференциальное исчисление функции одной переменной

Слайд 21. Функция
1.1. Некоторые математические символы.

Для краткой записи – кванторы.
1. =>

- квантор следования. (α => β – означает: из α

следует β)
2.  - квантор эквивалентности (α эквивалентно β). В формулировке теорем символ соответствует словам «необходимо и достаточно» или «тогда и только тогда».
3.  - квантор общности. Запись (х:α) означает: « для любого х справедливо утверждение α.


1. Функция1.1. Некоторые математические символы.Для краткой записи – кванторы.1. => - квантор следования. (α => β –

Слайд 34.  - квантор существования. Запись (х:α) означает: существует по

крайней мере один такой Х для которого справедливо предложение α.

1.2.

Множества
Множество – первоначальное понятие. A,B,C,…X,Y,Z.
Элементы множества: a,b,c,..x,y,z.
Конечное множество.
Бесконечное множество.
Пустое множество 
4.  - квантор существования. Запись (х:α) означает: существует по крайней мере один такой Х для которого

Слайд 4Элемент принадлежит данному множеству:
αА, элемент не принадлежит данному множеству: αА.
Пересечение

и объединение множеств.



Вещественные числа.
Целые положительные числа 1,2,3,4… образуют мн-во натуральных

чисел. N.

Элемент принадлежит данному множеству:αА, элемент не принадлежит данному множеству: αА.Пересечение и объединение множеств.Вещественные числа.Целые положительные числа 1,2,3,4…

Слайд 5Все числа вида

а также 0 образуют мн-во рациональных чисел: С.
Иррациональные

числа: Q
Множество вещественных чисел:

геометрически изображаются точками на числовой оси. Ось:

прямая, указано положительное направление, начало отсчета и отрезок, длина кот. принята за единицу длины.

Все числа видаа также 0 образуют мн-во рациональных чисел: С.Иррациональные числа: QМножество вещественных чисел:геометрически изображаются точками на

Слайд 6Абсолютная величина вещественного числа
Модуль.

определяется соотношениями:




-х= x=
x
x<0 x>0
Геометрически: модуль х – расстояние от точки х до 0

Абсолютная величина вещественного числаМодуль.            определяется соотношениями:

Слайд 7Из определения:



Независимо от взаимного расположения точек – модуль представляет собой

расстояние между ними.
Промежутки. Окрестности.
Открытый интервал – (а,в) или ]a,b[ это

множество вещественных чисел, удовл.усл.
Из определения:Независимо от взаимного расположения точек – модуль представляет собой расстояние между ними.Промежутки. Окрестности.Открытый интервал – (а,в)

Слайд 8Замкнутый интервал: [a,b],

Полуоткрытые интервалы.
Это конечные промежутки.
Бесконечные промежутки:
Множество вещественных чисел R

обозначается символом:
Далее:

Замкнутый интервал: [a,b],Полуоткрытые интервалы.Это конечные промежутки.Бесконечные промежутки:Множество вещественных чисел R обозначается символом:Далее:

Слайд 9Окрестность точки: числовое множество

Пусть
По определению:


Геометрически – это отрезок длины
с серединой

в точке а без включения концевых точек. Конечная точка.

а- а а+ R
Окрестность точки: числовое множествоПустьПо определению:Геометрически – это отрезок длиныс серединой в точке а без включения концевых точек.

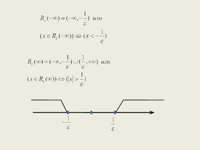
Слайд 10Введем три бесконечные точки, определив их

окрестности.
1).




0





Введем три бесконечные точки, определив их      окрестности. 1).

Слайд 12Левая и правая окрестности. По определению:

Функция
Определение. Если

каждому элементу хХ ставится в соответствие единственный элемент уY, то

это соответствие называется функцией (отображением), определённой на множестве Х со значениями в множестве Y. Элемент х называется аргументом, а множество Х – областью определения функции f(х). Элемент у, поставленный в соответствие элементу х называется значением функции f в точке х. Обозначение: у = f(х).


Левая и правая   окрестности. По определению: ФункцияОпределение. Если каждому элементу хХ ставится в соответствие единственный

Слайд 13К основным элементарным функции относятся:
степенная функция y = xα,

α  R, α 0;
показательная функция у =ах, а  0,

а  1;
логарифмическая функция у = logах, а  0, а  1;
тригонометрические функции y = sinx, y = cosx, y = tgx, y = ctgx;

К основным элементарным функции относятся: степенная функция y = xα, α  R, α 0; показательная функция

Слайд 14обратные тригонометрические функции y = arcsinx, y = arccosx, y = arctgx,

y = arcctgx.

обратные тригонометрические функции y = arcsinx, y = arccosx, y = arctgx, y = arcctgx.

Слайд 15Продолжение.

Продолжение.

Слайд 16Продолжение.

Продолжение.

Слайд 17arctgx, arcctgx:




Если у = f(и), и = (x), то функция

y = f(φ(x)) называется сложной функцией (функцией от функции, суперпозицией

функций) аргумента х; аргумент u функции f называется промежуточным. Например, если и U=sinx
то суперпозицией этих функций является .

arctgx, arcctgx:Если у = f(и), и = (x), то функция y = f(φ(x)) называется сложной функцией (функцией

Слайд 18Свойства функций.
Функция называется чётной, если f(–x) = f (x), и

нечётной, если f (–x) = – f (x). Например, x,

x3, 1/x, sinx, tgx, ctgx, arcsinx, arctgx (cм.рис.) – нечётные функции, а x2, cosx – чётные функции.
Функция f(x) называется возрастающей на Х, если большему значению аргумента соответствует большее значение функции, т.е.
х1, х2 Х, х1  х2  f(x1)  f(x2),
и убывающей на Х, если
х1, х2 Х, х1  х2  f(x1)  f(x2).

Свойства функций.Функция называется чётной, если f(–x) = f (x), и нечётной, если f (–x) = – f

Слайд 19Если неравенства нестрогие, то функции называются соответственно неубывающей и невозрастающей.

Возрастающие, убывающие, невозрастающие и неубывающие на Х функции называются монотонными.

Например, ах, logах (см. рис.) – монотонные функции, возрастающие при а  1 и убывающие при 0 < а < 1.
Функция f(x) называется ограниченной на Х, если существует число М  0, при котором выполняется
 М для хХ. Например, sinx, cosx (см. рис.), arcsinx, arccosx, arctgx, arcctgx – ограниченные функции.


Если неравенства нестрогие, то функции называются соответственно неубывающей и невозрастающей. Возрастающие, убывающие, невозрастающие и неубывающие на Х

Слайд 20Функция f(x) называется периодической, если существует Т  0, при котором выполняется

f(х + Т) = f(x) для всех х  R. Т – период функции,

число nТ также является ее периодом.
Рациональные и дробно-рациональные функции
Целая рациональная функция (многочлен, полином) имеет вид

n  N.
Если a является корнем многочлена, то
Функция f(x) называется периодической, если существует Т  0, при котором выполняется f(х + Т) = f(x) для всех х  R. Т

Слайд 21Дробно–рациональная функция (рациональная дробь) имеет вид


где
– многочлены степени

m и n соответственно. При m < n рациональная дробь

называется правильной, в противном случае – неправильной.
Дробно–рациональная функция (рациональная дробь) имеет видгде – многочлены степени m и n соответственно. При m < n

Обратная связь

Если не удалось найти и скачать доклад-презентацию, Вы можете заказать его на нашем сайте. Мы постараемся найти нужный Вам материал и отправим по электронной почте. Не стесняйтесь обращаться к нам, если у вас возникли вопросы или пожелания:

Email: Нажмите что бы посмотреть 

Что такое TheSlide.ru?

Это сайт презентации, докладов, проектов в PowerPoint. Здесь удобно  хранить и делиться своими презентациями с другими пользователями.


Для правообладателей

Яндекс.Метрика