Разделы презентаций


Ферменты, общие понятия

Содержание

ФЕРМЕНТЫ - органические вещества белковой природы, которые во много раз ускоряют протекание реакций, не подвергаясь при этом химическим превращениям. В настоящее время известно более 3700 ферментов. В научной литературе на русском

Слайды и текст этой презентации

Слайд 1Ферменты: понятие, общие свойства, локализация ферментов.

Ферменты: понятие, общие свойства, локализация ферментов.

Слайд 2ФЕРМЕНТЫ - органические вещества белковой природы, которые во много раз

ускоряют протекание реакций, не подвергаясь при этом химическим превращениям.
В

настоящее время известно более 3700 ферментов.

В научной литературе на русском языке утвердились оба термина : «ферменты» и «энзимы»,
но предпочтение отдают термину «фермент», хотя наука о ферментах называется энзимологией.

Слово«фермент» происходит от лат. fеrmentum– закваска, слово – «энзим» от греч. еn– в, внутри и zyme– дрожжи.
ФЕРМЕНТЫ - органические вещества белковой природы, которые во много раз ускоряют протекание реакций, не подвергаясь при этом

Слайд 3При наименовании фермента за основу берут название субстрата и добавляют

суффикс «аза».

Так появились, в частности, протеиназы – ферменты, расщепляющие

белки (протеины), липазы (расщепляют липиды, или жиры)и т.д.

Некоторые ферменты получили специальное (тривиальное) название, например, пищеварительные ферменты – пепсин, химотрипсин и трипсин.
При наименовании фермента за основу берут название субстрата и добавляют суффикс «аза». Так появились, в частности, протеиназы

Слайд 4Сходство ферментов с небиологическими катализаторами заключается в том, что ферменты:



1) катализируют только энергетически возможные реакции, т.е. реакции, которые могут

протекать и без них;

2) не изменяют направление реакции;

3) не сдвигают равновесие обратимой реакции, а лишь ускоряют его наступление;

4) не расходуются в процессе реакции и выходят из реакции в первоначальном виде.
Сходство ферментов с небиологическими катализаторами заключается в том, что ферменты: 1) катализируют только энергетически возможные реакции, т.е.

Слайд 5Отличие ферментов от небиологических катализаторов заключается в том, что:

1)

скорость ферментативных реакций выше, чем реакций, катализируемых небелковыми катализаторами (эффективность

действия ферментов).
2) ферменты обладают высокой специфичностью действия;
3) ферменты катализируют реакции в очень мягких условиях (обычное давление, нейтральная рН, невысокая tº);
4) активность ферментов в клетках строго регулируется как на генетическом уровне, так и посредством определённых низкомолекулярных соединений (субстратов и продуктов реакции, катализируемых этими же ферментами);
5) скорость ферментативной реакции прямо пропорциональна количеству фермента.
Отличие ферментов от небиологических катализаторов заключается в том, что: 1) скорость ферментативных реакций выше, чем реакций, катализируемых

Слайд 6Специфичность –
наиболее важное свойство ферментов, определяющее биологическую значимость этих

молекул.

Биологическая функция фермента, как и любого белка, обусловлена наличием в

его структуре активного центра.

Лиганд, взаимодействующий с активным центром фермента, называют субстратом.

В активном центре фермента есть аминокислотные остатки, функциональные группы которых обеспечивают связывание субстрата – участок связывания, и аминокислотные остатки, функциональные группы которых осуществляют химическое превращение субстрата – каталитический участок.
Специфичность – наиболее важное свойство ферментов, определяющее биологическую значимость этих молекул.Биологическая функция фермента, как и любого белка,

Слайд 8Рис. Относительные размеры молекулы фермента (мол. масса 100 000, диаметр

7 нм) и типичной молекулы субстрата (мол. масса 250, длина

0,8 нм). Активный центр занимает лишь незначительную часть поверхности молекулы фермента. Для сравнения показана также молекула воды.

Молекулярные массы ферментов, как и всех остальных белков, лежат в пределах
от 12 000 до 1 000 000,
так что их размеры намного превышают размеры их субстратов или функциональных групп, на которые они действуют

Рис. Относительные размеры молекулы фермента (мол. масса 100 000, диаметр 7 нм) и типичной молекулы субстрата (мол.

Слайд 9В участке связывания субстрат при помощи нековалентных связей взаимодействует (связывается)

с ферментом, формируя фермент-субстратный комплекс.

В каталитическом участке субстрат претерпевает

химическое превращение в продукт, который затем высвобождается из активного центра фермента.

Схематично процесс катализа можно представить следующим уравнением:

Е + S ↔ ES ↔ ЕР ↔ Е + Р,

где Е - фермент (энзим), S - субстрат, Р - продукт.

Данные обозначения общеприняты и происходят от английских слов enzyme, substrat, product.
В участке связывания субстрат при помощи нековалентных связей взаимодействует (связывается) с ферментом, формируя фермент-субстратный комплекс. В каталитическом

Слайд 10Функциональная значимость отдельных участков активного центра фермента

Функциональная значимость отдельных участков активного центра фермента

Слайд 111. Субстратная специфичность

- способность каждого фермента взаимодействовать лишь с одним

или несколькими определёнными субстратами.

Различают:

- абсолютную субстратную специфичность;
- групповую субстратную

специфичность;
- стереоспецифичность.
1. Субстратная специфичность- способность каждого фермента взаимодействовать лишь с одним или несколькими определёнными субстратами. Различают:- абсолютную субстратную

Слайд 12Абсолютная субстратная специфичность

Активный центр ферментов, обладающих абсолютной субстратной специфичностью, комплементарен

только одному субстрату.

Следует отметить, что таких ферментов в живых

организмах мало.

Пример - аргиназа, катализирующая реакцию расщепления аргинина до мочевины и орнитина:
Абсолютная субстратная специфичностьАктивный центр ферментов, обладающих абсолютной субстратной специфичностью, комплементарен только одному субстрату. Следует отметить, что таких

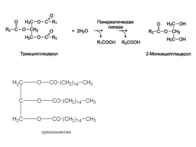
Слайд 14Групповая субстратная специфичность

Большинство ферментов катализирует однотипные реакции с небольшим количеством

(группой) структурно похожих субстратов.

Пример - фермент панкреатическая липаза катализирует гидролиз

жиров в двенадцатиперстной кишке человека, катализируя превращение любой молекулы жира (триацилглицерола) до молекулы моноацилглицерола и двух молекул высших жирных кислот.

Панкреатическая липаза гидролизует эфирную связь у α-атомов углерода глицерола, независимо от того, какие жирные кислоты входят в состав молекулы жира.
Групповая субстратная специфичностьБольшинство ферментов катализирует однотипные реакции с небольшим количеством (группой) структурно похожих субстратов.Пример - фермент панкреатическая

Слайд 16Стереоспецифичность

При наличии у субстрата нескольких стерео-изомеров фермент проявляет абсолютную специфичность

Стереоспецифичность

к D-сахарам. 

Большинство моносахаридов и продуктов их обмена в организме человека

и других млекопитающих относят к D-стереоизомерам.
Ферменты, осуществляющие их метаболизм, имеют специфичность к D-, а не к L-сахарам.
СтереоспецифичностьПри наличии у субстрата нескольких стерео-изомеров фермент проявляет абсолютную специфичностьСтереоспецифичность к D-сахарам. Большинство моносахаридов и продуктов их обмена

Слайд 17Стереоспецифичность к L-аминокислотам.

Белки человека состоят из аминокислот L-ряда. Большинство

ферментов, обеспечивающих превращение аминокислот, имеет стереоспецифичность к L-аминокислотам.

Стереоспецифичность к цистрансизомерам. 
Фермент

фумараза оказывает действие только на фумарат. Малеинат (цис-изомер фумарата) не является субстратом фумаразы
Стереоспецифичность к L-аминокислотам. Белки человека состоят из аминокислот L-ряда. Большинство ферментов, обеспечивающих превращение аминокислот, имеет стереоспецифичность к

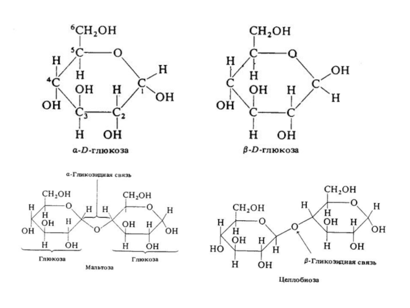
Слайд 18Стереоспецифичносгь к α- и β-гликозидным связям.

Фермент амилаза действует только

на α-гликозидные связи, что позволяет гидролизотать крахмал и гликоген (полимеры

глюкозы), остатки глюкозы в которых соединены α-гликозидными связями.
Целлюлоза - также полимер глюкозы, однако остатки глюкозы в нём связаны β-гликозидными связями. В результате отсутствия у человека ферментов, специфичных к β-гликозидной связи, целлюлоза не гидролизуется в кишечнике человека и не может служить источником глюкозы.
Стереоспецифичносгь к α- и β-гликозидным связям. Фермент амилаза действует только на α-гликозидные связи, что позволяет гидролизотать крахмал

Слайд 202. Каталитическая специфичность

Фермент катализирует превращение присоединённого субстрата по одному из

возможных путей его превращения,

Это свойство обеспечивается строением каталитического участка

активного центра фермента и называется каталитической специфичностью, или специфичностью пути превращения субстрата.

Так, молекула глюкозо-6-фосфата в клетках печени человека – субстрат 4 различных ферментов, однако из-за особенностей строения каталитических участков этих ферментов происходит различное превращение этого соединения с образованием 4 различных продуктов.
2. Каталитическая специфичностьФермент катализирует превращение присоединённого субстрата по одному из возможных путей его превращения, Это свойство обеспечивается

Слайд 22Локализация ферментов

Большинство ферментов имеет внутриклеточную локализацию и распределены в организме

неравномерно.

Все ферменты одного метаболического пути, как правило, находятся в

одном отделе клетки.
Особенно разделение метаболических путей важно для противоположно направленных катаболических и анаболических процессов.

Например, синтез жирных кислот происходит в цитоплазме, а их распад в митохондриях. Если бы такого разделения не существовало, образовывались бы бесполезные с функциональной и энергетической точки зрения пути.
Локализация ферментовБольшинство ферментов имеет внутриклеточную локализацию и распределены в организме неравномерно. Все ферменты одного метаболического пути, как

Слайд 23В метаболических путях продукт первой ферментативной реакции служит субстратом второй

и так далее до формирования конечного продукта.

Промежуточные продукты метаболического

пути могут высвобождаться из последовательности реакций и использоваться в других метаболических путях, т.е. метаболические пути связаны между собой промежуточными продуктами.

В ряде случаев пространственная организация ферментов настолько сильно выражена, что продукт реакции ни при каких условиях не может быть вычленен из метаболического пути и обязательно служит субстратом следующей реакции. Такая организация метаболического пути носит название мультиферментного комплекса и возникает в результате структурно-функциональной организации ферментов.
Обычно такие комплексы связаны с мембранами.
В метаболических путях продукт первой ферментативной реакции служит субстратом второй и так далее до формирования конечного продукта.

Слайд 24Примеры мультиферментных комплексов:

- пируватдегидрогеназный комплекс, под действием которого происходит

окислительное декарбоксилирование пировиноградной кислоты (пирувата)

- синтазу жирных кислот, катализирующую

синтез пальмитиновой кислоты.
Примеры мультиферментных комплексов: - пируватдегидрогеназный комплекс, под действием которого происходит окислительное декарбоксилирование пировиноградной кислоты (пирувата) - синтазу

Обратная связь

Если не удалось найти и скачать доклад-презентацию, Вы можете заказать его на нашем сайте. Мы постараемся найти нужный Вам материал и отправим по электронной почте. Не стесняйтесь обращаться к нам, если у вас возникли вопросы или пожелания:

Email: Нажмите что бы посмотреть 

Что такое TheSlide.ru?

Это сайт презентации, докладов, проектов в PowerPoint. Здесь удобно  хранить и делиться своими презентациями с другими пользователями.


Для правообладателей

Яндекс.Метрика