Разделы презентаций


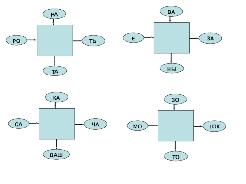
СТРЕЛКИ. Вставьте слог, чтобы получились

Содержание

Вставьте букву, чтобы получились слова

Слайды и текст этой презентации

Слайд 1«СТРЕЛКИ». Вставьте слог, чтобы получились слова







«СТРЕЛКИ». Вставьте слог, чтобы получились слова

Слайд 2Вставьте букву, чтобы получились слова








Вставьте букву, чтобы получились слова

Слайд 3«ПОТЕРЯШКИ». Найдите пропавший слог в середине слов






«ПОТЕРЯШКИ». Найдите пропавший слог в середине слов

Слайд 9«КРУЖКИ». Вставьте букву, чтобы получились слова






«КРУЖКИ». Вставьте букву, чтобы получились слова

Слайд 10«ВЫЧИТАЛКИ». Вычтите слово, чтобы получилось другое






ВОЛОСЫ
КАЗИНО
АВТОБУСЫ
МОЛОКО
МОЛОТОК

ПОДУШКА
БАЛКОН
ПОЛОСА
ГОЛОСА
КАЧЕЛЬКА
ЛАСТОЧКИ
БАРАБАНЫ
БУКВАРИ
ТРАНСПОРТ
ЛИСТОЧКИ

КИПАРИС
АППАРАТУРА
ТЮЛЬПАН
СКОВОРОДА
СКОРОСТЬ
МАТРОСЫ
КЛУБНИКА
РИСУНОК
ХОРОВОД
БЕСЕДА
ПОСТЕЛЬ
РАКУШКИ
БРЕЛОК
ПРОСТОТА
КРАСОТА
ВОРОНА
ЛИМОНАД

«ВЫЧИТАЛКИ». Вычтите слово, чтобы получилось другоеВОЛОСЫКАЗИНОАВТОБУСЫМОЛОКОМОЛОТОКПОДУШКАБАЛКОНПОЛОСАГОЛОСАКАЧЕЛЬКАЛАСТОЧКИБАРАБАНЫБУКВАРИТРАНСПОРТЛИСТОЧКИКИПАРИСАППАРАТУРАТЮЛЬПАНСКОВОРОДАСКОРОСТЬМАТРОСЫКЛУБНИКАРИСУНОКХОРОВОДБЕСЕДАПОСТЕЛЬРАКУШКИБРЕЛОКПРОСТОТАКРАСОТАВОРОНАЛИМОНАД

Слайд 11«ОДИНАКОВКИ». Восстановите слова, где последний слог
первого слова является первым слогом

второго


ЛИ( )ЛЕЦ
ОДЕЯ( )ЗА
ЗЕБ( )НЕЦ
СА( )ТАНТ
РУЧ( )НАТ
МИ( )ТАША
КА( )РЫ
НО( )РЯ
ВА( )ЯЦ
КА(

)НИК

«ОДИНАКОВКИ». Восстановите слова, где последний слогпервого слова является первым слогом второгоЛИ( )ЛЕЦОДЕЯ( )ЗАЗЕБ( )НЕЦСА( )ТАНТРУЧ( )НАТМИ( )ТАШАКА(

Слайд 12Восстановите слова, где нужно вставить одно слово, которое
является последней частью

первого слова и первой частью
последнего слова

ЗА(_ _ _)ЕМОТ
ПАРО(_ _ _)УЛИ
КАБ(_

_ _)ОВИЦА
БУЙ(_ _ _)К
ЗА(_ _ _)ОРОГ

ТВО(_ _ _)АЛИК
ПОЛ(_ _ _)НКА
КУ(_ _ _)КА
ТЕ(_ _ _)Л
ЦО(_ _ _)ЁЛ

Восстановите слова, где нужно вставить одно слово, котороеявляется последней частью первого слова и первой частьюпоследнего словаЗА(_ _

Слайд 13«БЛИЗНЯШКИ». Вставьте одно слово, чтобы получились
слова

П_ _ _К
_ _ _КА
ГЕРКУ_

_ _
КО_ _ _О
РА_ _ _
У_ _ _
_ _ _ЬЯ
ГОСУ_

_ _Ь

ПОЛ_ _ _
К_ _ _
_ _ _ДА
П_ _ _ДКА

_ _ _ОС
_ _ _ОВА
И_ _ _КА
У_ _ _

УК _ _
ТР_ _Ы
БР_ _ЬЯ
_ _ТЬЕ

_ _ _АЗИН
БУ_ _ _А
УНИВЕР_ _ _
_ _ _НИТ

ПА_ _ _
_ _ _АШКА
К_ _ _КА
_ _ _А

С_ _ _ _
У_ _ _ _
ЗА_ _ _ _
ПЕРЕ_ _ _ _

Р_ _ _ _А
СМОР_ _ _ _А
ГОСП_ _ _ _
ХОЛ_ _ _ _А

М_ _ _ _
К_ _ _ _
Д_ _ _ _
Т_ _ _ _

«БЛИЗНЯШКИ». Вставьте одно слово, чтобы получилисьсловаП_ _ _К_ _ _КАГЕРКУ_ _ _КО_ _ _ОРА_ _ _У_ _

Слайд 14СО_ _ _А
РЫ_ _ _
_ _ _АЛЕЯ
ТА_ _ _
ВЕР _

_ _ _
МА_ _ _ _
ГОРО_ _ _ _
ПОД_ _

_
_ _ _ОК
С_ _ _КА

_ _ _ОНА
_ _ _ОБЕЙ
Т_ _ _ОГ
ДОГО_ _ _

_ _ _ _АБЛЬ
С_ _ _ _Я
_ _ _ _ЛЛ
ДЕ_ _ _ _ЦИЯ

_ _ _УНОК
ТУ_ _ _Т
П_ _ _ТАНЬ
АКТ_ _ _А

МА_ _ _ _
_ _ _ _ТНИК
_ _ _ _ТЬ

_ _ _АРЬ
ТЕЛЕ_ _ _
ШИ_ _ _ЬЕР
МИКРО_ _ _

Д_ _ _А
_ _ _ЕТА
БА_ _ _
Т_ _ _ТОР

СО_ _ _АРЫ_ _ __ _ _АЛЕЯТА_ _ _ВЕР _ _ _ _МА_ _ _ _ГОРО_ _

Слайд 15ЗАНА_ _ _КА
_ _ _НА
_ _ _ТИ
ДРЕ_ _ _ИНА
ПИ_ _

_ЛЕТ
_ _ _П
_ _ _ЛБ
КО_ _ _ЧКА
_ _ _ОТА
К_ _

_
КО_ _ _ЛЬ
Г_ _ _ЛИ

С_ _ _
_ _ _ЁЛ
_ _ _ЛЕТА
ЦО_ _ _

_ _ _ _ШЮТ
АП_ _ _ _Т
_ _ _ _ПЕТ
_ _ _ _Д

_ _ _АЛ
_ _ _С
КОЛО_ _ _
КЛУ_ _ _

КА_ _ _
ИС_ _ _
ПЛА_ _ _
ЛИС_ _ _

ЗАНА_ _ _КА_ _ _НА_ _ _ТИДРЕ_ _ _ИНАПИ_ _ _ЛЕТ_ _ _П_ _ _ЛБКО_ _ _ЧКА_

Слайд 16«ЗАКОВЫРКИ». Отгадайте слова, вставив одинаковую пару
букв


ЖУ_АВ_Ь
КО_АБ_Ь
ПА_О_Ь КО_О_ЕВА

_АЛУ_А
_РО_КА
_РО_А
_ЕРЕ_ОЙ
КА_ _ОН
КА_Е_А
ПО_ _ФЕЛЬ
_ОС_
_АЛИ_А
КА_И_ _АШИ_А
РО_А_
ПО_УШ_А
_ЕВОЧ_А
_ОС_А
СА_И_
МЕД_Е_Ь
_О_А
ЗА_О_
О_О_

«ЗАКОВЫРКИ». Отгадайте слова, вставив одинаковую парубуквЖУ_АВ_ЬКО_АБ_ЬПА_О_Ь КО_О_ЕВА_АЛУ_А_РО_КА_РО_А_ЕРЕ_ОЙКА_ _ОНКА_Е_АПО_ _ФЕЛЬ_ОС__АЛИ_АКА_И_ _АШИ_АРО_А_ПО_УШ_А_ЕВОЧ_А_ОС_АСА_И_МЕД_Е_Ь_О_АЗА_О_О_О_

Слайд 17«УБИРАШКИ». Уберите из слова один или два слога, чтобы
получилось новое

слово

КОЖУРА
КАРЕТА
МАШИНА
КАНАРЕЙКА
ЛЕСКА
ДЕКАНАТ
БУРАТИНО
КУВШИНКА
ЗАНАВЕСКА
ФОРТОЧКА
ПАРАШЮТ
ПОЛЕНО
ПАРОХОД
ПОЕЗДА
ПИРАМИДА
МЕДВЕДИЦА
ЖУРАВЛИК
РЕМОНТ КОПЕЙКА ЛАДОНИ
РУЧЕЙКИ
ЛЯГУШКА
ПЕРЕПОНКА
ЖЕРЕБЯТА
ПЕРСТЕНЬ
КЛАВИАТУРА
ЧЕРЕПАХА
БАЛКОН МУЗЫКА АКРОБАТЫ

«УБИРАШКИ». Уберите из слова один или два слога, чтобыполучилось новое словоКОЖУРАКАРЕТАМАШИНАКАНАРЕЙКАЛЕСКАДЕКАНАТБУРАТИНОКУВШИНКАЗАНАВЕСКАФОРТОЧКАПАРАШЮТПОЛЕНОПАРОХОДПОЕЗДАПИРАМИДАМЕДВЕДИЦАЖУРАВЛИКРЕМОНТ КОПЕЙКА ЛАДОНИ РУЧЕЙКИЛЯГУШКАПЕРЕПОНКАЖЕРЕБЯТАПЕРСТЕНЬ КЛАВИАТУРАЧЕРЕПАХАБАЛКОН МУЗЫКА АКРОБАТЫ

Слайд 18Уберите букву из слова, чтобы получилось новое слово

КРОТ
ПРЯТКИ
СКЛОН
КОЛГОТКИ
СОРОКА
КНОПКА
МАЛИНА
КАРТИНА
ЦВЕТКИ
КРОЛИКИ

ПОВОД
СТРОЧКА
БАНКА
СФЕРА
СТОЛИК
МАЙКИ
ДЕРЕВО
ГРОЗА
ЛЯМКА
ДВЕРЬ

БРИТВА
КРОВЬ РУЧКА ЛУНКА КОСА
ПЕТЛЯ
ЛАМПА
КУРОК
СЛИВА
ТРУСЫ

Уберите букву из слова, чтобы получилось новое словоКРОТПРЯТКИСКЛОНКОЛГОТКИСОРОКАКНОПКАМАЛИНАКАРТИНАЦВЕТКИКРОЛИКИПОВОДСТРОЧКАБАНКАСФЕРАСТОЛИКМАЙКИДЕРЕВОГРОЗАЛЯМКАДВЕРЬБРИТВАКРОВЬ РУЧКА ЛУНКА КОСА ПЕТЛЯЛАМПАКУРОКСЛИВАТРУСЫ

Слайд 19«ЗАГАДАЛКИ». Какое получится животное, если взять по
одному слогу из слов?


КОРОЛЬ
ПОРОСЁНОК
ВАГОН
Какое

получится явление природы, если взять по одному
слогу из слов?
ПАРА
СУНДУКИ
ГАЗЕЛЬ
Какая

получится обувь, если взять по одному слогу из слов?

САША
ПОСОХ
ГИТАРА

«ЗАГАДАЛКИ». Какое получится животное, если взять поодному слогу из слов?КОРОЛЬПОРОСЁНОКВАГОНКакое получится явление природы, если взять по одному

Слайд 20Какая получится постельная принадлежность, если взять по
одному слогу из слов?





Какая

получится одежда, если взять по одному слогу из слов?





Какая получится

одежда, если взять по одному слогу из слов?

ОСА
ДЕЛО
ЯНА
ДУПЛО

ЛИСА
ПАРАФИН
ФАНТИК

РУКАВ
БАШМАК
ПОКАТАЙ

Какая получится постельная принадлежность, если взять поодному слогу из слов?Какая получится одежда, если взять по одному слогу

Слайд 21Какой получится транспорт, если взять по одному слогу из
слов?




Какая получится

профессия, если взять по одному слогу из
слов?



Какой получится бытовой прибор,

если взять по одному слогу
из слов?

ЛУПА
КОРОНА
ИЗВОЗЧИК

ИННА
ЖЕНА
НЕРПА

КАТЕРА
ЛЕТО
ВИРАЖ
КРУГОЗОР

Какой получится транспорт, если взять по одному слогу изслов?Какая получится профессия, если взять по одному слогу изслов?Какой

Слайд 22Какая получится канцелярская принадлежность, если взять по
одному слогу из слов?




Какая

получится часть комнаты, если взять по одному слогу
из слов?



Какое получится

насекомое, если взять по одному слогу из
слов?

БУСЫ
САМА
ГАРАЖ

ПОРОГ
ЛОТО
ЛОКТИ

ГУБЫ
НЕПОСЕДА
КАРНИЗЫ
РЫЦАРИ

Какая получится канцелярская принадлежность, если взять поодному слогу из слов?Какая получится часть комнаты, если взять по одному

Слайд 23«ЗАМЕНЯЛКИ». Найдите одной из букв замену и узнаешь
новое слово






«ЗАМЕНЯЛКИ». Найдите одной из букв замену и узнаешьновое слово

Слайд 25«ПОРЯДКИ». Составьте слова, беря слоги соответственно порядку
слов

1) РЕСТОРАН КУНИЦА КУРИЦА

2)

ЛАСКА УТОЧКА СОБАКА

3) КУЗНЕЦ СИНЕВА ОГУРЧИК

4) ПОЛЕ ОСЬМИНОГ КОРИДОР

5) БАНЯ

РОТА КАНАРЕЙКА ПОЛИТИКА

6) БОЛИТ СОРОКА ГОРОДА

7) ТЕМА КОТЛЕТА САКСОФОН

8) ПОЛЁТ ВОРОБЕЙ БОРОЗДА

«ПОРЯДКИ». Составьте слова, беря слоги соответственно порядкуслов1) РЕСТОРАН КУНИЦА КУРИЦА2) ЛАСКА УТОЧКА СОБАКА3) КУЗНЕЦ СИНЕВА ОГУРЧИК4) ПОЛЕ

Слайд 26«ПРИДУМКИ». Составьте слово, используя только данные
буквы

_ _ _ _ _

_ _ (СОИК)

_ _ _ _ _ _ _ _

_ (БАЛЙК)

_ _ _ _ _ _ _ _ (ТРАФЕ)

_ _ _ _ _ _ (МОЛК)

_ _ _ _ _ _ (ПАХ)

_ _ _ _ _ _ _ _ (ШАРОВЫ)

_ _ _ _ _ _ (ЗАНО)

_ _ _ _ _ _ _ _ (СКАЛ)

«ПРИДУМКИ». Составьте слово, используя только данныебуквы_ _ _ _ _ _ _ (СОИК)_ _ _ _ _

Слайд 27«ПОВТОРЯЛКИ». Вычеркните повторяющиеся буквы и
узнаете слова



лист сам тон Стас
драп

ель синдром ром
тигр тушь синь наст
туман туго
зябнуть луна зонт кинь

аз

пруд код ода поп
нюх доски юга диск худ укус
зебра жаба резина вена рот
стол топь моль мина
риза тир рыло реки ежи жир

рак веки топь брусья липы ель яды дыры
Катерина Нина
смета роса
бульдог газ аптека парк агат
Сад дым оды клён кит дыни

пила тик корь море ком
шут тюбик юла лик
трюм трубка утро мот
сук профи принтер Сена ус
Коля след Ялта еда плюнь пень мел

«ПОВТОРЯЛКИ». Вычеркните повторяющиеся буквы и узнаете словалист сам тон Стасдрап ель синдром ромтигр тушь синь насттуман тугозябнуть

Слайд 28зной Яна убой луна икона
царь перо боль ящер щи бес

сор ирис
кожух кроха волк ось сок
лани снег гель тело ноль
дочка

якорь точка ель рань нора

груз кафель зелье бузины боль зоб козы
умы рис рык аут тур
соболь сюда танцор трон арена трость
кум астры Юля умы
туча йод удод тент пике пуд

крот редис соты сито
трап руки урон руно
скальпель ноги крем мель крен
лодка плод Ким рык дар
сила низ зори бриз борцы

зной Яна убой луна иконацарь перо боль ящер щи бес сор ирискожух кроха волк ось соклани снег

Слайд 30клей лай флаг игра
йод гид урюк тюк рис киса ад
трус

тётя ёж сено мука ум том
мак кисти локти
сны руно нота

утка кон

бусы лысинка шины шов сон вино
вепрь явь лень лик
суши икра рот торт
шпинат рота шланг шалаш
гриб рагу утки горе ген реки

клей лай флаг играйод гид урюк тюк рис киса адтрус тётя ёж сено мука ум томмак кисти

Слайд 31«ПОМЕНЯШКИ». Поменяйте местами буквы в слове, чтобы
получилось новое слово


ГОРБ
ТРОС
РАКИ
КИРА
МИСКА

ДОРОГА
СПИНА
МАРКА
КРЕСТ
ЛИСА
СОЛЬ
РОВ
ЛОЗА
КОРТ
МЯСО

БРАК
КАЙМА
СРУБ
РОГА
РИФМА

ПАЛКА
КИНО
ЛИПА
ЗАГОН
ШАРМ

РИМ
ТЕЛО
МАРК
НЕГА
ПЫЛЬЦА

«ПОМЕНЯШКИ». Поменяйте местами буквы в слове, чтобыполучилось новое словоГОРБТРОСРАКИКИРАМИСКАДОРОГАСПИНАМАРКАКРЕСТЛИСАСОЛЬРОВЛОЗАКОРТМЯСОБРАККАЙМАСРУБРОГАРИФМАПАЛКАКИНОЛИПАЗАГОНШАРМРИМТЕЛОМАРКНЕГАПЫЛЬЦА

Слайд 32«ОТГАДАШКИ». Получите новое слово, меняя по одной букве







«ОТГАДАШКИ». Получите новое слово, меняя по одной букве

Обратная связь

Если не удалось найти и скачать доклад-презентацию, Вы можете заказать его на нашем сайте. Мы постараемся найти нужный Вам материал и отправим по электронной почте. Не стесняйтесь обращаться к нам, если у вас возникли вопросы или пожелания:

Email: Нажмите что бы посмотреть 

Что такое TheSlide.ru?

Это сайт презентации, докладов, проектов в PowerPoint. Здесь удобно  хранить и делиться своими презентациями с другими пользователями.


Для правообладателей

Яндекс.Метрика