Разделы презентаций


Текстовые задачи

Содержание

Движение по реке  

Слайды и текст этой презентации

Слайд 1Текстовые задачи
Томск 2017
ЕГЭ п математике. Профильный уровень

Текстовые задачиТомск 2017ЕГЭ п математике. Профильный уровень

Слайд 3Движение по реке
 
 

Движение по реке  

Слайд 4 
 
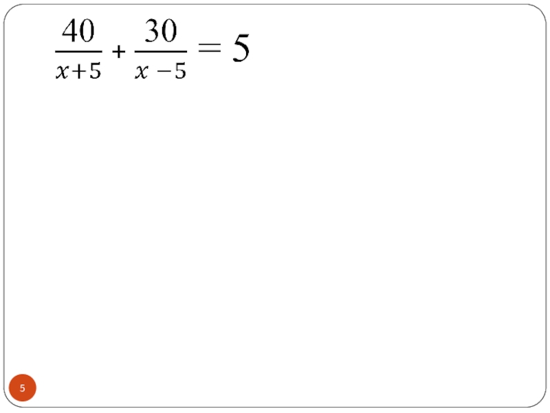
x км/ч - скорость баржи
№1C31B2 Баржа прошла по течению

реки 40 км и, повернув обратно, прошла ещё 30 км,

затратив на весь путь 5 часов. Найдите собственную скорость баржи, если скорость течения реки равна 5 км/ч.
  x км/ч - скорость баржи№1C31B2  Баржа прошла по течению реки 40 км и, повернув обратно, прошла

Слайд 6 
 
x км/ч - скорость лодки
№8B32E5 Моторная лодка прошла против

течения реки 77 км и вернулась в пункт отправления, затратив

на обратный путь на 2 часа меньше, чем на путь против течения. Найдите скорость лодки в неподвижной воде, если скорость течения реки равна 4 км/ч.
  x км/ч - скорость лодки№8B32E5  Моторная лодка прошла против течения реки 77 км и вернулась в

Слайд 8 
 
№03A380 Туристы проплыли на лодке от лагеря вверх по

течению реки, затем причалили к берегу и, погуляв 2 часа,

вернулись обратно через 6 часов от начала путешествия. На какое расстояние от лагеря они отплыли, если скорость течения реки равна 3 км/ч, а собственная скорость лодки 6 км/ч?

 

  №03A380  Туристы проплыли на лодке от лагеря вверх по течению реки, затем причалили к берегу и,

Слайд 10№092692 Рыболов проплыл на лодке от пристани вверх по течению

реки, затем бросил якорь, 2 часа ловил рыбу и вернулся

обратно через 5 часов от начала путешествия. На какое расстояние от пристани он отплыл, если скорость течения реки равна 2 км/ч, а собственная скорость лодки 6 км/ч?
№092692 Рыболов проплыл на лодке от пристани вверх по течению реки, затем бросил якорь, 2 часа ловил

Слайд 11№19297D Расстояние между двумя пристанями по реке равно 24 км.

Моторная лодка прошла от одной пристани до другой, сделала стоянку

на 1 ч 40 мин и вернулась обратно. Всё путешествие заняло 6 2/3 ч. Найдите скорость течения реки, если известно, что скорость моторной лодки в стоячей воде равна 10 км/ч.

 

 

 

№19297D Расстояние между двумя пристанями по реке равно 24 км. Моторная лодка прошла от одной пристани до

Слайд 13№9CD477 Расстояние между А и В равно 48 км. Из

А в В по течению реки отправился плот, а через

час вслед за ним отправилась моторная лодка, которая, прибыв в В, повернула обратно и возвратилась в А. К этому времени плот прошёл 25 км. Найдите скорость лодки в неподвижной воде, если скорость течения реки равна 5 км/ч.

 

 

 

x км/ч - скорость лодки

А

В

 

 

№9CD477 Расстояние между А и В равно 48 км. Из А в В по течению реки отправился

Слайд 15А
В
S
Движение с разными скоростями
V2 км/ч
V1 км/ч

АВSДвижение с разными скоростями V2 км/ч V1 км/ч

Слайд 16№C53B94 Велосипедист выехал с постоянной скоростью из города А

в город В, расстояние между которыми равно 60 км. Отдохнув,

он отправился обратно в А, увеличив скорость на 10 км/ч. По пути он сделал остановку на 3 часа, в результате чего затратил на обратный путь столько же времени, сколько на путь из А в В. Найдите скорость велосипедиста на пути из А в В.
№C53B94  Велосипедист выехал с постоянной скоростью из города А в город В, расстояние между которыми равно

Слайд 17№064788 Велосипедист выехал с постоянной скоростью из города А

в город В, расстояние между которыми равно 208 км. Отдохнув,

он отправился обратно в А, увеличив скорость на 3 км/ч. По пути он сделал остановку на 3 часа, в результате чего затратил на обратный путь столько же времени, сколько на путь из А в В. Найдите скорость велосипедиста на пути из В в А.
№064788  Велосипедист выехал с постоянной скоростью из города А в город В, расстояние между которыми равно

Слайд 18№FF7622 Из двух городов одновременно навстречу друг другу

отправились два велосипедиста. Проехав некоторую часть пути, первый велосипедист сделал

остановку на 51 минуту, а затем продолжил движение до встречи со вторым велосипедистом. Расстояние между городами составляет 251 км, скорость первого велосипедиста равна 10 км/ч, скорость второго — 20 км/ч. Определите расстояние от города, из которого выехал второй велосипедист, до места встречи.

А

В

251 км

10 км/ч

20 км/ч

? км

№FF7622   Из двух городов одновременно навстречу друг другу отправились два велосипедиста. Проехав некоторую часть пути,

Слайд 19№B6E1DF Из пункта А в пункт В, расстояние

между которыми 27 км, вышел турист. Через полчаса навстречу ему

из пункта В вышел пешеход и встретил туриста в 12 км от А. Найдите скорость туриста, если известно, что она была на 2 км/ч меньше скорости пешехода.

А

В

27 км

12 км

№B6E1DF   Из пункта А в пункт В, расстояние между которыми 27 км, вышел турист. Через

Слайд 20№5F17D7 Дорога между пунктами A и В состоит

из подъёма и спуска, а её длина равна 10 км.

Турист прошёл путь из А в В за 4 часа, из которых спуск занял 2 часа. С какой скоростью турист шёл на спуске, если его скорость на подъёме меньше его скорости на спуске на 1 км/ч?

А

B

№5F17D7   Дорога между пунктами A и В состоит из подъёма и спуска, а её длина

Слайд 21№9202 Из А в В одновременно выехали два

автомобилиста. Первый проехал с постоянной скоростью весь путь. Второй проехал

первую половину пути со скоростью, меньшей скорости первого автомобилиста на 6 км/ч, а вторую половину пути проехал со скоростью 56 км/ч, в результате чего прибыл в В одновременно с первым автомобилистом. Найдите скорость первого автомобилиста, если известно, что она больше 45 км/ч.

А

В

x км/ч - скорость красного автомобиля

(x - 6) км/ч

56 км/ч

S = xt

№9202   Из А в В одновременно выехали два автомобилиста. Первый проехал с постоянной скоростью весь

Слайд 22Рас­сто­я­ние между го­ро­да­ми  A и В равно 150 км. Из го­ро­да А в В город  вы­ехал

ав­то­мо­биль, а через 30 минут сле­дом за ним со ско­ро­стью

90 км/ч вы­ехал мо­то­цик­лист, до­гнал ав­то­мо­биль в го­ро­де С и по­вер­нул об­рат­но. Когда он вер­нул­ся в А, ав­то­мо­биль при­был в В. Най­ди­те рас­сто­я­ние от А до С. Ответ дайте в ки­ло­мет­рах.
Рас­сто­я­ние между го­ро­да­ми  A и В равно 150 км. Из го­ро­да А в В город  вы­ехал ав­то­мо­биль, а через 30 минут сле­дом за

Слайд 23Средняя скорость
 
 

Средняя скорость  

Слайд 24№21EFE0 Первые 5 часов автомобиль ехал со скоростью 60

км/ч, следующие 3 часа — со скоростью 100 км/ч, а

последние 4 часа — со скоростью 75 км/ч. Найдите среднюю скорость автомобиля на протяжении всего пути.

 

№21EFE0  Первые 5 часов автомобиль ехал со скоростью 60 км/ч, следующие 3 часа — со скоростью

Слайд 25№A6A840 Первые 160 км автомобиль ехал со скоростью 80

км/ч, следующие 100 км — со скоростью 50 км/ч, а

последние 360 км — со скоростью 90 км/ч. Найдите среднюю скорость автомобиля на протяжении всего пути.
№A6A840  Первые 160 км автомобиль ехал со скоростью 80 км/ч, следующие 100 км — со скоростью

Слайд 26№FF5333 Первую половину трассы автомобиль проехал со скоростью 84

км/ч, а вторую — со скоростью 96 км/ч. Найдите среднюю

скорость автомобиля на протяжении всего пути.
№FF5333  Первую половину трассы автомобиль проехал со скоростью 84 км/ч, а вторую — со скоростью 96

Слайд 27А
В
S
 
 
Движение навстречу

АВS  Движение навстречу

Слайд 28№4B5007 Поезд, двигаясь равномерно со скоростью 129 км/ч,

проезжает мимо пешехода, идущего параллельно путям со скоростью 6 км/ч

навстречу поезду, за 12 секунд. Найдите длину поезда в метрах.

 

№4B5007   Поезд, двигаясь равномерно со скоростью 129 км/ч, проезжает мимо пешехода, идущего параллельно путям со

Слайд 29№0AADB7 Поезд, двигаясь равномерно со скоростью 87 км/ч, проезжает мимо

пешехода, идущего параллельно путям со скоростью 3 км/ч навстречу поезду,

за 24 секунды. Найдите длину поезда в метрах.

 

№0AADB7 Поезд, двигаясь равномерно со скоростью 87 км/ч, проезжает мимо пешехода, идущего параллельно путям со скоростью 3

Слайд 30№314605 Из пунк­тов А и В, рас­сто­я­ние между ко­то­ры­ми 27

км, вышли од­но­вре­мен­но нав­стре­чу друг другу два пе­ше­хо­да и встре­ти­лись

в 15 км от А. Най­ди­те ско­рость пе­ше­хо­да, шед­ше­го из А, если из­вест­но, что он шёл со ско­ро­стью, на 2 км/ч боль­шей, чем вто­рой пе­ше­ход, и сде­лал в пути по­лу­ча­со­вую оста­нов­ку.

А

В

27 км

15 км

№314605 Из пунк­тов А и В, рас­сто­я­ние между ко­то­ры­ми 27 км, вышли од­но­вре­мен­но нав­стре­чу друг другу два

Слайд 31№3B33B9 Из городов А и В навстречу друг другу одновременно

выехали мотоциклист и велосипедист. Мотоциклист приехал в В на 56

минут раньше, чем велосипедист приехал в А, а встретились они через 21 минуту после выезда. Сколько часов затратил на путь из В в А велосипедист?

А

В

№3B33B9 Из городов А и В навстречу друг другу одновременно выехали мотоциклист и велосипедист. Мотоциклист приехал в

Слайд 32№112527 Расстояние между городами A и B равно 520 км.

Из города A в город B со скоростью 85 км/ч

выехал первый автомобиль, а через два часа после этого навстречу ему из города B выехал со скоростью 90 км/ч второй автомобиль. На каком расстоянии от города A автомобили встретятся? Ответ дайте в километрах.
№112527 Расстояние между городами A и B равно 520 км. Из города A в город B со

Слайд 33А
В
S
V1 км/ч
V2 км/ч
 
 
Движение вдогонку

АВSV1 км/чV2 км/ч  Движение вдогонку

Слайд 34№99595 Два пешехода отправляются одновременно в одном направлении из одного

и того же места на прогулку по аллее парка. Скорость

первого на 1,5 км/ч больше скорости второго. Через сколько минут расстояние между пешеходами станет равным 300 метрам?

 

№99595 Два пешехода отправляются одновременно в одном направлении из одного и того же места на прогулку по

Слайд 35№26579 Города А, В, С соединены прямолинейным шоссе, при чём

город В расположен меду городами А и С. Из города

А в сторону города С выехал автомобиль, и одновременно с ним из города В в сторону города С выехал грузовик. Через сколько часов после выезда легковой автомобиль догонит грузовик, если скорость легкового автомобиля на 28 км/ч больше скорости грузовика, а расстояние между городами А и В равно 112 км?
№26579 Города А, В, С соединены прямолинейным шоссе, при чём город В расположен меду городами А и

Слайд 36№99610 По морю параллельными курсами в одном направлении следуют два

сухогруза: первый длиной 120 метров, второй — длиной 80 метров.

Сначала второй сухогруз отстает от первого, и в некоторый момент времени расстояние от кормы первого сухогруза до носа второго составляет 400 метров. Через 12 минут после этого уже первый сухогруз отстает от второго так, что расстояние от кормы второго сухогруза до носа первого равно 600 метрам. На сколько километров в час скорость первого сухогруза меньше скорости второго?

 

№99610 По морю параллельными курсами в одном направлении следуют два сухогруза: первый длиной 120 метров, второй —

Слайд 37№DD1CE4 По двум параллельным железнодорожным путям в одном направлении следуют

пассажирский и товарный поезда, скорости которых равны соответственно 110 км/ч

и 70 км/ч. Длина товарного поезда равна 1800 метрам. Найдите длину пассажирского поезда, если время, за которое он прошёл мимо товарного поезда, равно 3 минутам.

 

№DD1CE4 По двум параллельным железнодорожным путям в одном направлении следуют пассажирский и товарный поезда, скорости которых равны

Слайд 38№44F50B По двум параллельным железнодорожным путям в одном направлении следуют

пассажирский и товарный поезда, скорости которых равны соответственно 170 км/ч

и 80 км/ч. Длина товарного поезда равна 850 метрам. Найдите длину пассажирского поезда, если время, за которое он прошёл мимо товарного поезда, равно 1 минуте.
№44F50B По двум параллельным железнодорожным путям в одном направлении следуют пассажирский и товарный поезда, скорости которых равны

Слайд 39№99597 Первый велосипедист выехал из поселка по шоссе со скоростью

22 км/ч. Через час после него со скоростью 12 км/ч

из того же поселка в том же направлении выехал второй велосипедист. а еще через час после этого - третий найдите скорость третьего велосипедиста, если сначала он догнал второго а через 8 часов после догнал первого.
№99597 Первый велосипедист выехал из поселка по шоссе со скоростью 22 км/ч. Через час после него со

Слайд 40Движение по кругу

Движение по кругу

Слайд 4130(x+1)
30x
92-77=15 (км/ч)
30:15=2 (ч)
2 ч =120 мин
№167362 Из пункта А круговой

трассы, длина которой равна 30 км, одновременно в одном направлении

стартовали два автомобилиста. Скорость первого равна 92 км/ч, скорость второго – 77 км/ч. Через сколько минут первый автомобилист будет опережать второго ровно на 1 круг?
30(x+1)30x92-77=15 (км/ч)30:15=2 (ч)2 ч =120 мин№167362 Из пункта А круговой трассы, длина которой равна 30 км, одновременно

Слайд 42№113589 Два мо­то­цик­ли­ста стар­ту­ют од­но­вре­мен­но в одном на­прав­ле­нии из двух

диа­мет­раль­но про­ти­во­по­лож­ных точек кру­го­вой трас­сы, длина ко­то­рой равна 5 км.

Через сколь­ко минут мо­то­цик­ли­сты по­рав­ня­ют­ся в пер­вый раз, если ско­рость од­но­го из них на 5 км/ч боль­ше ско­ро­сти дру­го­го?

 

№113589 Два мо­то­цик­ли­ста стар­ту­ют од­но­вре­мен­но в одном на­прав­ле­нии из двух диа­мет­раль­но про­ти­во­по­лож­ных точек кру­го­вой трас­сы, длина ко­то­рой

Слайд 43№91FFC1 Два бегуна одновременно стартовали в одном направлении из одного

и того же места круговой трассы в беге на несколько

кругов. Спустя один час, когда одному из них оставалось 1 км до окончания первого круга, ему сообщили, что второй бегун прошёл первый круг 20 минут назад. Найдите скорость первого бегуна, если известно, что она на 8 км/ч меньше скорости второго.
№91FFC1 Два бегуна одновременно стартовали в одном направлении из одного и того же места круговой трассы в

Слайд 44№387524 Два бегуна одновременно стартовали в одном направлении из одного

и того же места круговой трассы в беге на несколько

кругов. Спустя один час, когда одному из них оставалось 3 км до окончания первого круга, ему сообщили, что второй бегун прошёл первый круг 9 минут назад. Найдите скорость первого бегуна, если известно, что она на 6 км/ч меньше скорости второго.
№387524 Два бегуна одновременно стартовали в одном направлении из одного и того же места круговой трассы в

Слайд 45№99599 Из пункта A круговой трассы выехал велосипедист. Через 30

минут он еще не вернулся в пункт А и из

пункта А следом за ним отправился мотоциклист. Через 10 минут после отправления он догнал велосипедиста в первый раз, а еще через 30 минут после этого догнал его во второй раз. Найдите скорость мотоциклиста, если длина трассы равна 30 км/ч.

А

В

№99599 Из пункта A круговой трассы выехал велосипедист. Через 30 минут он еще не вернулся в пункт

Слайд 46Задачи на производительность

Задачи на производительность

Слайд 47№33B4BB Первый рабочий за час делает на 10 деталей

больше, чем второй, и выполняет заказ, состоящий из 60 деталей,

на 3 часа быстрее, чем второй рабочий, выполняющий такой же заказ. Сколько деталей в час делает второй рабочий?
№33B4BB  Первый рабочий за час делает на 10 деталей больше, чем второй, и выполняет заказ, состоящий

Слайд 48№9203 Первый рабочий за час делает на 5 деталей

больше, чем второй, и выполняет заказ, состоящий из 200 деталей,

на 2 часа быстрее, чем второй рабочий, выполняющий такой же заказ. Сколько деталей в час делает второй рабочий?
№9203  Первый рабочий за час делает на 5 деталей больше, чем второй, и выполняет заказ, состоящий

Слайд 49№427D34 Первая труба пропускает на 10 литров воды в

минуту меньше, чем вторая труба. Сколько литров воды в минуту

пропускает первая труба, если резервуар объёмом 60 литров она заполняет на 3 минуты дольше, чем вторая труба?
№427D34  Первая труба пропускает на 10 литров воды в минуту меньше, чем вторая труба. Сколько литров

Слайд 50№C87481 Три бригады изготовили вместе 123 детали. Известно, что

вторая бригада изготовила деталей в 3 раза больше, чем первая

и на 11 деталей меньше, чем третья. На сколько деталей больше изготовила третья бригада, чем первая.
№C87481  Три бригады изготовили вместе 123 детали. Известно, что вторая бригада изготовила деталей в 3 раза

Слайд 51Задачи на совместную работу

Задачи на совместную работу

Слайд 52№74DB8D Игорь и Паша красят забор за 20

часов. Паша и Володя красят этот же забор за 24

часа, а Володя и Игорь — за 30 часов. За сколько минут мальчики покрасят забор, работая втроём?
№74DB8D   Игорь и Паша красят забор за 20 часов. Паша и Володя красят этот же

Слайд 53№316241 Две трубы на­пол­ня­ют бас­сейн за 6 часов 18 минут,

а одна пер­вая труба на­пол­ня­ет бас­сейн за 9 часов. За

сколь­ко часов на­пол­ня­ет бас­сейн одна вто­рая труба?
№316241 Две трубы на­пол­ня­ют бас­сейн за 6 часов 18 минут, а одна пер­вая труба на­пол­ня­ет бас­сейн за

Слайд 54№26596 Двое рабочих, работая вместе, могут выполнить работу

за 12 дней. За сколько дней, работая отдельно, выполнит эту

работу первый рабочий, если он за два дня выполняет такую же часть работы, какую второй — за три дня?
№26596   Двое рабочих, работая вместе, могут выполнить работу за 12 дней. За сколько дней, работая

Слайд 55№323854 Две бригады, состоящие из рабочих одинаковой квалификации,

одновременно начали строить два одинаковых дома. В первой бригаде было

16 рабочих, а во второй — 25 рабочих. Через 7 дней после начала работы в первую бригаду перешли 8 рабочих из второй бригады, в результате чего оба дома были построены одновременно. Сколько дней потребовалось бригадам, чтобы закончить работу в новом составе?
№323854   Две бригады, состоящие из рабочих одинаковой квалификации, одновременно начали строить два одинаковых дома. В

Слайд 56Две бригады, состоящие из рабочих одинаковой квалификации, одновременно начали строить

два одинаковых дома. В первой бригаде было 16 рабочих, а

во второй — 25 рабочих. Через 7 дней после начала работы в первую бригаду перешли 8 рабочих из второй бригады, в результате чего оба дома были построены одновременно. Сколько дней потребовалось бригадам, чтобы закончить работу в новом составе?
Две бригады, состоящие из рабочих одинаковой квалификации, одновременно начали строить два одинаковых дома. В первой бригаде было

Слайд 57Два насоса, работая одновременно, могут откачать воду из бассейна за

3 часа 45 минут. Если сначала откачать половину воды одним

насосом, а потом оставшуюся половину другим насосом, то на это уйдёт 8 часов.
За сколько минут можно откачать воду тем насосом, который работает быстрее?
Два насоса, работая одновременно, могут откачать воду из бассейна за 3 часа 45 минут. Если сначала откачать

Слайд 58Сложные проценты

Сложные проценты

Слайд 59№107713 Семья состоит из мужа, жены и их дочери студентки.

Если бы зарплата мужа увеличилась вдвое, общий доход семьи вырос

бы на 56%. Если бы стипендия дочери уменьшилась вдвое, общий доход семьи сократился бы на 2%. Сколько процентов от общего дохода семьи составляет зарплата жены?

 

 

№107713 Семья состоит из мужа, жены и их дочери студентки. Если бы зарплата мужа увеличилась вдвое, общий

Слайд 60№ 99570 Митя, Антон, Гоша и Борис учредили компанию с

уставным капиталом 200000 рублей. Митя внес 14% уставного капитала, Антон

– 42000 рублей, Гоша – 12% уставного капитала, а оставшуюся часть капитала внес Борис. Учредители договорились делить ежегодную прибыль пропорционально внесенному в уставной капитал вкладу. Какая сумма от прибыли 1 000 000 рублей причитается Борису? Ответ дайте в рублях.
№ 99570 Митя, Антон, Гоша и Борис учредили компанию с уставным капиталом 200000 рублей. Митя внес 14%

Слайд 61№EC797C В период распродажи магазин снижал цены дважды: в первый

раз на 45%, во второй – на 20%. Сколько рублей

стал стоить чайник после второго снижения цен, если до начала распродажи он стоил 700 р.?

№24F217 В период распродажи магазин снижал цены дважды: в первый раз на 10%, во второй – на 20%. Сколько рублей стал стоить чайник после второго снижения цен, если до начала распродажи он стоил 600 р.?

№EC797C В период распродажи магазин снижал цены дважды: в первый раз на 45%, во второй – на

Слайд 62№5A6594 Свежие фрукты содержат 80% воды, а высушенные — 28%.

Сколько сухих фруктов получится из 288 кг свежих фруктов?
288 кг
?

кг

80%

28%

№5A6594 Свежие фрукты содержат 80% воды, а высушенные — 28%. Сколько сухих фруктов получится из 288 кг

Слайд 63№41EA77 Свежие фрукты содержат 75% воды, а высушенные — 25%.

Сколько требуется свежих фруктов для приготовления 45 кг высушенных фруктов?
?

кг

45 кг

75%

25%

№41EA77 Свежие фрукты содержат 75% воды, а высушенные — 25%. Сколько требуется свежих фруктов для приготовления 45

Слайд 64Растворы

Растворы

Слайд 65+
=
№108853 Смешали 4 литра 25% водного раствора некоторого вещества с

11 литрами 40% водного раствора этого же вещества. Сколько процентов

составляет концентрация получившегося раствора?
+=№108853 Смешали 4 литра 25% водного раствора некоторого вещества с 11 литрами 40% водного раствора этого же

Слайд 66 №314943 Смешали 30%-ный раствор соляной кислоты с 10%-ным и

получили 600 г 15%-го раствора. Сколько граммов 10%-го раствора было

взято?
№314943 Смешали 30%-ный раствор соляной кислоты с 10%-ным и получили 600 г 15%-го раствора. Сколько граммов

Слайд 67№5E49A0 Смешали некоторое количество 10-процентного раствора некоторого вещества с таким

же количеством 12-процентного раствора этого же вещества. Сколько процентов составляет

концентрация получившегося раствора?

+

=

№5E49A0 Смешали некоторое количество 10-процентного раствора некоторого вещества с таким же количеством 12-процентного раствора этого же вещества.

Слайд 68№338772 Какое количество воды надо добавить в 1 литр 10%-ного

раствора уксуса, чтобы получить 4%-ный раствор?

№338772 Какое количество воды надо добавить в 1 литр 10%-ного раствора уксуса, чтобы получить 4%-ный раствор?

Слайд 69№350236 Име­ют­ся два со­су­да, со­дер­жа­щие 30 кг и 20 кг рас­тво­ра кис­ло­ты

раз­лич­ной кон­цен­тра­ции. Если их слить вме­сте, то по­лу­чим рас­твор, со­дер­жа­щий

81% кис­ло­ты. Если же слить рав­ные массы этих рас­тво­ров, то по­лу­чен­ный рас­твор будет со­дер­жать 83% кис­ло­ты. Сколь­ко ки­ло­грам­мов кис­ло­ты со­дер­жит­ся во вто­ром рас­тво­ре?
№350236 Име­ют­ся два со­су­да, со­дер­жа­щие 30 кг и 20 кг рас­тво­ра кис­ло­ты раз­лич­ной кон­цен­тра­ции. Если их слить вме­сте, то

Слайд 70В первый сосуд с водой добавили 0,36 л, а во

второй – 0,42 л чистого спирта. Процентное содержание спирта в

первом сосуде оказалось на 6% больше, чем во втором. Каково процентное содержание спирта во втором сосуде, если известно, что раствора в первом сосуде на 4 л меньше, чем во втором?
В первый сосуд с водой добавили 0,36 л, а во второй – 0,42 л чистого спирта. Процентное

Слайд 71Есть два раствора щелочи суммарного объёма 19 литров. Первый раствор

содержит 5 литров щелочи, второй – 2 литра. Найдите объём

в литрах первого раствора, если процентное содержание щелочи в нём в 1,5 раза меньше, чем во втором.
Есть два раствора щелочи суммарного объёма 19 литров. Первый раствор содержит 5 литров щелочи, второй – 2

Слайд 72Смешав 30-процентный и 60-процентный растворы кислоты и добавив 10 кг

чистой воды, получили 36-процентный раствор кислоты. Если бы вместо 10

кг воды добавили 10 кг 50-процентного раствора той же кислоты, то получили бы 41-процентный раствор кислоты. Сколько килограммов 30-процентного раствора использовали для получения смеси?
Смешав 30-процентный и 60-процентный растворы кислоты и добавив 10 кг чистой воды, получили 36-процентный раствор кислоты. Если

Слайд 73Сплавы

Сплавы

Слайд 74№99576 Первый сплав содержит 10% меди, второй – 40% меди.

Масса второго сплава больше массы первого на 3 кг. Из

этих двух сплавов получили третий сплав, содержащий 30% меди. Найдите массу третьего сплава. Ответ дайте в килограммах.
№99576 Первый сплав содержит 10% меди, второй – 40% меди. Масса второго сплава больше массы первого на

Слайд 75№314403 Име­ет­ся два спла­ва с раз­ным со­дер­жа­ни­ем зо­ло­та. В пер­вом

спла­ве со­дер­жит­ся 35% зо­ло­та, а во вто­ром – 60%. В

каком от­но­ше­нии надо взять пер­вый и вто­рой спла­вы, чтобы по­лу­чить из них новый сплав, со­дер­жа­щий 40% зо­ло­та?
№314403 Име­ет­ся два спла­ва с раз­ным со­дер­жа­ни­ем зо­ло­та. В пер­вом спла­ве со­дер­жит­ся 35% зо­ло­та, а во вто­ром

Слайд 76№9 Сплав золота с серебром, содержащий 80 г золота, сплавили

со 100 г чистого золота. В результате содержание золота в

сплаве повысилось по сравнению с первоначальным на 20%. Сколько серебра в сплаве?
№9 Сплав золота с серебром, содержащий 80 г золота, сплавили со 100 г чистого золота. В результате

Слайд 77Полезные ссылки
http://alleng.ru
http://mathege.ru
http://live.mephist.ru
http://shpargalkaege.ru
http://reshuege.ru

Полезные ссылкиhttp://alleng.ru http://mathege.ru http://live.mephist.ru http://shpargalkaege.ru http://reshuege.ru

Слайд 78До свидания!

До свидания!

Обратная связь

Если не удалось найти и скачать доклад-презентацию, Вы можете заказать его на нашем сайте. Мы постараемся найти нужный Вам материал и отправим по электронной почте. Не стесняйтесь обращаться к нам, если у вас возникли вопросы или пожелания:

Email: Нажмите что бы посмотреть 

Что такое TheSlide.ru?

Это сайт презентации, докладов, проектов в PowerPoint. Здесь удобно  хранить и делиться своими презентациями с другими пользователями.


Для правообладателей

Яндекс.Метрика