Разделы презентаций


ТЕМА БИОХИМИЯ КРОВИ и ЭРИТРОЦИТОВ

Содержание

План лекциифункции кровисостав кровиосновные свойства белковых фракций крови и их диагностическое значениеэритроциты и гемоглобинобмен железабиосинтез гемаболезни кровиэнзимодиагностика

Слайды и текст этой презентации

Слайд 1Лекция 12 ТЕМА БИОХИМИЯ КРОВИ и ЭРИТРОЦИТОВ


к.б.н., доцент И.В. Андреева
Каф. Общей и

биологической химии

Лекция 12   ТЕМА БИОХИМИЯ КРОВИ  и  ЭРИТРОЦИТОВк.б.н., доцент И.В. АндрееваКаф. Общей и биологической

Слайд 2План лекции
функции крови
состав крови
основные свойства белковых фракций крови и их диагностическое

значение
эритроциты и гемоглобин
обмен железа
биосинтез гема
болезни крови
энзимодиагностика








План лекциифункции кровисостав кровиосновные свойства белковых фракций крови и их диагностическое значениеэритроциты и гемоглобинобмен железабиосинтез гемаболезни кровиэнзимодиагностика

Слайд 3ФУНКЦИИ КРОВИ


Транспортная
Дыхательная
Трофическая
Выделительная
Регуляторная
Защитная
Терморегуляторная
Регуляция водно-солевого и кислотно-основного баланса

ФУНКЦИИ КРОВИТранспортнаяДыхательнаяТрофическаяВыделительнаяРегуляторнаяЗащитнаяТерморегуляторнаяРегуляция водно-солевого и кислотно-основного баланса

Слайд 4ФУНКЦИИ КРОВИ
1. Транспортная функция. Циркулируя по сосудам, кровь транспортирует множество

соединений
— среди них газы, питательные вещества,

гормоны и др.
2. Дыхательная функция. Эта функция заключается в связывании и переносе кислорода и
углекислого газа.
3. Трофическая (питательная) функция. Кровь обеспечивает все клетки организма
питательными веществами: глюкозой, аминокислотами, жирами, витаминами, минеральными
веществами, водой.
4. Экскреторная функция. Кровь уносит из тканей конечные продукты метаболизма: мочевину,
мочевую кислоту и другие вещества, удаляемые из организма органами выделения.
5. Терморегуляторная функция. Кровь охлаждает внутренние органы и переносит тепло к
органам теплоотдачи.
6. Поддержание постоянства внутренней среды. Кровь поддерживает стабильность ряда
констант организма (рН, Т, концентрация ионов и др.).
7. Обеспечение водно-солевого обмена. Кровь обеспечивает водно-солевой обмен между
кровью и тканями. В артериальной части капилляров жидкость и соли поступают в ткани,
а в венозной части капилляра возвращаются в кровь.
8. Защитная функция. Кровь выполняет защитную функцию, являясь важнейшим фактором
иммунитета или защиты организма от живых тел и генетически чуждых веществ.
9. Гуморальная регуляция. Благодаря своей транспортной функции кровь обеспечивает
химическое взаимодействие между всеми частями организма, т.е. гуморальную регуляцию.
Кровь переносит гормоны и другие физиологически активные вещества.
ФУНКЦИИ КРОВИ1. Транспортная функция. Циркулируя по сосудам, кровь транспортирует множество соединений    — среди них

Слайд 5

Состав крови

Состав крови

Слайд 6
Общее количество крови в организме взрослого человека составляет около 5

л
(примерно 7% от массы тела).

Если кровь центрифугировать, то

форменные элементы (эритроциты, лейкоциты,
тромбоксаны) осаждаются, а над осадком остается светлая прозрачная жидкость –
плазма крови.

В плазме содержится примерно 7% белков, а также разнообразные
низкомолекулярные вещества.

При стоянии в течение нескольких минут плазма свертывается – образуется сгусток,
жидкость без сгустка называется - сыворотка. А сгусток образован фибриногеном,
который превратился в нерасторимый фибрин.

Состав плазмы крови – зеркало метаболизма человека.


Общее количество крови в организме взрослого человека составляет около 5 л (примерно 7% от массы тела). Если

Слайд 7

ХИМИЧЕСКИЙ СОСТАВ КРОВИ

ХИМИЧЕСКИЙ СОСТАВ КРОВИ

Слайд 8СОСТАВ основных белков КРОВИ


СОСТАВ основных белков КРОВИ

Слайд 9Основные свойства белковых фракций крови и их диагностическое значение
Содержание общего белка

плазмы крови составляет 60-80 г/л,
альбумина — 40-60 г/л,
глобулинов

— 20–30 г/л.

Обычно при лабораторном анализе крови методом электрофореза обнаруживают
5 белковых фракций:
альбумин (55—65%),
α1-глобулины (2—4%),
α2-глобулины (6—12%),
β-глобулины (8—12%) и
γ-глобулины (12—22%).

Альбумин имеет наибольшую, а γ-глобулины — наименьшую подвижность в
электрическом поле. Альбумин синтезируется в печени и составляет большую часть
белков плазмы крови (рис.). Благодаря высокому содержанию дикарбоновых
аминокислот альбумин удерживает катионы, главным образом Na+, и играет
основную роль в сохранении коллоидно-осмотического давления. Кроме того,
альбумин транспортирует некоторые гидрофобные метаболиты, например жирные
кислоты, билирубин, альдостерон.


Основные свойства белковых фракций крови и их диагностическое значениеСодержание общего белка плазмы крови составляет 60-80 г/л,		 альбумина

Слайд 11Методом электрофореза на ацетилцеллюлозе или геле агарозы белки плазмы крови

можно разделить на 5 фракций: альбумины (55-65%), глобулины:

α1-глобулины (2- 4%), α2 -глобулины (6-12%), β-глобулины (8-12%) и γ-глобулины (12-22%)

Электрофореграмма (А) и
денситограмма (Б) белков сыворотки крови.

Методом электрофореза на ацетилцеллюлозе или геле агарозы  белки плазмы крови можно разделить на 5 фракций:

Слайд 12Протеинограммы белковых фракций крови при различных патологических состояниях

Протеинограммы белковых  фракций крови  при  различных патологических состояниях

Слайд 13Основные биохимические механизмы гомеостаза
Повреждение кровеносного сосуда вызывает каскад процессов, в

результате которых
образуется сгусток крови — тромб, прекращающий вытекание крови.

В этом процессе
основную роль играют тромбоциты и некоторые белки плазмы крови. Затем происходит
растворение сгустков крови тромбов и сохранение крови в жидком состоянии
(гомеостаз).
Этот процесс включает 4 этапа:

I – рефлекторное сокращение поврежденного кровеносного сосуда (в первые секунды после травмы);
II – образование в течение 3-5 мин тромбоцитарной пробки (белого тромба) в
результате взаимодействия поврежденного эндотелия с тромбоцитами, которые, наслаиваясь друг на друга, могут закупорить небольшой кровеносный сосуд;
III – формирование фибринового тромба (10-30 мин), заключается в
превращении растворимого белка плазмы крови фибриногена под действием
фермента тромбина в нерастворимый белок фибрин, который откладывается между
тромбоцитами. Такой тромб содержит эритроциты, поэтому называется красным
тромбом.
IV – фибринолиз – растворение тромба под действием протеолитических ферментов,
адсорбированных на фибриновом сгустке. На этом этапе просвет кровяного сосуда
освобождается от отложений фибрина и предотвращается закупорка сосуда
фибриновым тромбом.



Основные биохимические механизмы гомеостазаПовреждение кровеносного сосуда вызывает каскад процессов, в результате которых образуется сгусток крови — тромб,

Слайд 14Компоненты свертывающей системы крови
белки свертывающей системы крови большей частью

являются
вначале субстратами а потом ферментами, так как активируются
частичным протеолизом.

Их больше 13.
- ионы Са
- витамин К,
Тромбоциты

Противосвертывающая система крови
Антитромбин III (инактивирует ряд белов свертывающей системы)
Активатором антитромбинаIII является гетерополисахарид гепарин
альфа-2-МАКРОГЛОБУЛИН
Система протеина С
ферменты (урокиназа) и др.



Недостаток в компонентах этой системы вызывают:
тромбозы и гемофилии




Компоненты свертывающей системы крови белки свертывающей системы крови большей частью являются вначале субстратами а потом ферментами, так

Слайд 15Противосвертывающая система крови
Основные компоненты фибринолиза

Противосвертывающая система крови Основные компоненты фибринолиза

Слайд 16Эритроциты и гемоглобин

Эритроциты занимают 36-48% объема крови.
В 1мм3 содержится 4-5

млн эритроцитов;
Во всей крови взрослого человека – 2,5 х 1013

эритроцитов.

95% массы сухого вещества эритроцитов приходится на гемоглобин,
благодаря которому эритроцит и выполняет свою функцию транспорта
кислорода .

На долю гемоглобина приходится половина объема эритроцитов.
Общее содержание гемоглобина в крови составляет 13-16 г/дл.

Эритроцит живет 110-125 дней.
Ежесуточно распадается 2х 1011 эритроцитов и столько же образуется новых

Эритопоэз стимулируется гликопротеином эритропоэтином, образуемым
в почках.


Эритроциты и гемоглобинЭритроциты занимают 36-48% объема крови.В 1мм3 содержится 4-5 млн эритроцитов;Во всей крови взрослого человека –

Слайд 17ГЕМОГЛОБИН. Строение


ГЕМОГЛОБИН. Строение

Слайд 18Гемоглобин
Гемоглобин (Hb) - сложный олигомерный белок гемопротеин, содержащийся в
эритроцитах.

Состоит из 4-х протомеров, соединеных нековалетными связями.
Hb – белок родственный

миоглобину (Mb).

Молекула гемоглобина состоит из 4-х гемов и белка 4х белков глобина,
Образованного двумя альфа (2α) и двумя бета (2β) полипептидными цепями.

Гем соединяется гидрофобной частью с гидрофобными радикалами
аминокислот каждого портомера.

Виды гемоглобина в процессе жизни человека;
Глобин А - тетрамер: (2α2β) – 98% глобина эритроцитов взрослого человека;
Глобин А2 – тетрамер (2α2δ) – 2% -»-;

Глобин эмбриональный - тетрамер (2α2δ), от 2х недель плода до 6 месяцев.
Глобин F - тетрамер (2α2ʏ) сменяет ранний гемоглобин плода на 6-ом месяце развития плода.



ГемоглобинГемоглобин (Hb) - сложный олигомерный белок гемопротеин, содержащийся в эритроцитах. Состоит из 4-х протомеров, соединеных нековалетными связями.Hb

Слайд 19Гемоглобин (Hb) - сложный
олигомерный белок - гемопротеин,
содержащийся в

эритроцитах. Состоит
из 4-х протомеров, соединеных
нековалетными связями.
Hb – белок родственный

миоглобину (Mb).

Молекула гемоглобина состоит из 4-х
гемов и белка (4х белков глобина),
образованного двумя альфа (2α) и двумя
бета (2β) полипептидными цепями.

Гем соединяется гидрофобной частью с
гидрофобными радикалами остатков
аминокислот каждого протомера.

Тетрамер гемоглобин

Гемоглобин (Hb) - сложный олигомерный белок - гемопротеин, содержащийся в эритроцитах. Состоитиз 4-х протомеров, соединеных нековалетными связями.Hb

Слайд 20ГЕМОГЛОБИН


ГЕМОГЛОБИН

Слайд 21Миооглобин
Миоглобин (Mb) – мономерный белок, содержится в красных мышцах.
Участвует

в создании запасов О2.

Содержит белковую часть – апопротеин апоMb

и небелковую – гем.
Апо Mb состоит из153 остатков аминокислот.

Вторичная структура образована 8 α-спиралями (содержащих от 7 до 23
остатков аминокислот) и обозначаемыми латинскими буквами от A до Н.

МиооглобинМиоглобин (Mb) – мономерный белок, содержится в красных мышцах. Участвует в создании запасов О2. Содержит белковую часть

Слайд 22Расположение гема и О2 в активном центре апогемоглобина и протомеров

глобина
Особенности строения
активного центра гемоглобина

Гем через атом железа ковалентно
связан

с радикалом гистидина
α-спирали F8.
О2 присоединяется к железу с другой
стороны плоскости гема.
Гидрофобный радикал остатка
гистидина α-спирали Е7 необходим для
правильной ориентации О2 и облегчает
присоединение кислорода к Fе+2 гема.

Микрооокружение гема создает условия
для прочного, но обратимого связывания
О2 с Fе+2 и препятствует попаданию в
гидрофобный активный центр воды, что
может привести к окислению Fе+2 в Fе+3 .
Расположение гема и О2 в активном центре  апогемоглобина и протомеров глобинаОсобенности строения активного центра гемоглобинаГем через

Слайд 23Изменение конфомации других цепей облегчает их взаимодействие со следующими молекулам

и О2. Четвертая молекула О2 присоединяется к Нb в 300

раз легче, чем первая. В тканях каждая следующая молекула О2 отщепляется легче, чем предыдущая, также за счет кооперативных изменений конформаци протомеров.

Основная функция гемоглобина - транспорт О2 из легких в ткани.

В отличие от мономерного миоглобина, имеющего очень высокое сродство к О2 и
выполняющего функцию запасания кислорода в красных мышцах, олигомерная структура
гемоглобина обеспечивает:
Быстрое насыщение Нb кислородам легких;
Способность Нb отдавать кислород в тканях при относительно высоком парциальном давлении О2 (20-40 мм рт.ст.);
Возможность регуляции сродства Нb к О2.


Кооперативные изменения конформации протомеров гемоглобина ускоряют
связывание О2 в легких и отдачу его в ткани.

Так как присроединение О2 к атому Fе+2 одного протомера вызывает его перемещение в
плоскость гема…, что приводит к изменению конформации всех полипептидных цепей за
счет их конформационной лабильности.


Изменение конфомации других цепей облегчает их взаимодействие со следующими молекулам и О2. Четвертая молекула О2 присоединяется к

Слайд 24СО2 и Н+, образующиеся при катаболизме органических веществ,
уменьшают сродство

гемоглобина к О2 пропорционально их концентрации.

СО2 образующийся в процессах катаболизма

в клетках тканей органов
диффузией попадает в кровь и в эритроциты, где под действием фермента
карбоангидразы превращается в угольную кислоту. Эта слаба кислота
диссоциирует на протон и бикарбонат ион:

СО2 + Н2О → Н2СО3 → Н + + НСО3-


Н+ присоединяются к свободным радикалам остатков аминокислоты
гистидин и снижают сродство оксиНb к О2 . И О2 поступает в ткани, а
оксиНb превращается в дезоксиНb .



Увеличение количества освобожденного кислорода в зависимости от
увеличения концентрации Н+ в эритроцитах называется эффектом Бора





СО2 и Н+, образующиеся при катаболизме органических веществ, уменьшают сродство гемоглобина к О2 пропорционально их концентрации.СО2 образующийся

Слайд 25В легких высокое парциальное давление кислорода способствует его
связыванию с

дезоксиHb, что уменьшает сродство белка к Н+
Освободившиеся протоны под

действием карбоангидразы взаимодействуют с
бикарбонатами с образованием СО2 и Н2О.





Образовавшийся СО2 поступает в альвеолярное пространство и удаляется с
выдыхаемым воздухом.

Таким образом, количество высвобождаемого гемоглобином кислорода в
тканях регулируется продуктами катаболизма органических веществ:
чем интенсивнее распад веществ (например при физических нагрузках),
тем больше кислорода получат ткани в результате уменьшения сродства
Hb к О2.





В легких высокое парциальное давление кислорода способствует его связыванию с дезоксиHb, что уменьшает сродство белка к Н+

Слайд 26А – влияние концентрации СО2 и Н+ на высвобождение О2

из комплекса с Hb (эффект Бора);
Б – оксигенирование дезоксигемоглобина

в легких, образование и выделение СО2.

Зависимость сродства Hb к О2 от концентрации СО2 и Н+ (эффект Бора)

А – влияние концентрации СО2 и Н+ на высвобождение О2 из комплекса с Hb (эффект Бора); Б

Слайд 27КИСЛОТНО-ОСНОВНОЕ РАВНОВЕСИЕ


КИСЛОТНО-ОСНОВНОЕ РАВНОВЕСИЕ

Слайд 28Нормальные формы гемоглобина
Существует несколько нормальных вариантов гемоглобина:

HbР – примитивный гемоглобин, содержит

2ξ- и 2ε-цепи,
встречается в эмбрионе между 7-12 неделями жизни,
HbF –

фетальный гемоглобин, содержит 2α- и 2γ-цепи, появляется через 12 недель внутриутробного развития и является основным после 3 месяцев,
HbA – гемоглобин взрослых, доля составляет 98%, содержит 2α- и 2β-цепи, у плода появляется через 3 месяца жизни и к рождению составляет 80% всего гемоглобина,
HbA2 – гемоглобин взрослых, доля составляет 2%, содержит 2α- и 2δ-цепи,
HbO2 – оксигемоглобин, образуется при связывании кислорода в легких, в легочных венах его 94-98% от всего количества гемоглобина,
HbCO2 – карбогемоглобин, образуется при связывании углекислого газа в тканях, в венозной крови составляет 15-20% от всего количества гемоглобина.


Нормальные формы гемоглобинаСуществует несколько нормальных вариантов гемоглобина:HbР – примитивный гемоглобин, содержит 2ξ- и 2ε-цепи, 	встречается в эмбрионе между

Слайд 29Патологические формы гемоглобина
HbS – гемоглобин серповидно-клеточной анемии.
MetHb – метгемоглобин, форма гемоглобина, включающая трехвалентный


ион железа вместо двухвалентного. Такая форма обычно образуется
спонтанно, в

этом случае ферментативных мощностей клетки хватает на
его восстановление. При использовании сульфаниламидов, употреблении
нитрита натрия и нитратов пищевых продуктов, при недостаточности
аскорбиновой кислоты ускоряется переход Fe2+ в Fe3+. Образующийся
metHb не способен связывать кислород и возникает гипоксия тканей. Для
восстановления ионов железа в клинике используют аскорбиновую кислоту
и метиленовую синь.
Hb-CO – карбоксигемоглобин, образуется при наличии СО (угарный газ) во
вдыхаемом воздухе. Он постоянно присутствует в крови в малых концентрациях, но
его доля может колебаться от условий и образа жизни.

Угарный газ является активным ингибитором гем-содержащих ферментов, в
частности, цитохромоксидазы, 4-го комплекса дыхательной цепи.

HbA1С – гликозилированный гемоглобин. Концентрация его нарастает при
хронической гипергликемии и является хорошим скрининговым
показателем уровня глюкозы крови за длительный период времени.

Патологические формы гемоглобинаHbS – гемоглобин серповидно-клеточной анемии.MetHb – метгемоглобин, форма гемоглобина, включающая трехвалентный 	ион железа вместо двухвалентного. Такая форма обычно

Слайд 30Обмен железа
Железо является необходимым биохимическим компонентом в ключевых
процессах метаболизма,

роста и пролиферации клеток. Исключительная роль железа
определяется важными биологическими

функциями белков, в состав которых входит
этот металл. К наиболее известным железосодержащим белкам относятся
гемоглобин и миоглобин.
Помимо последних, железо находится в составе значительного количества
ферментов, участвующих в процессах энергообразования (цитохромы), в биосинтезе
ДНК и делении клеток, детоксикации продуктов эндогенного распада, ферментов
нейтрализующих активные формы кислорода (пероксидазы, цитохромоксидазы,
каталазы). В последние годы установлена роль железосодержащих белков (ферритин)
в реализации клеточного иммунитета, регуляции кроветворения.

Вместе с тем железо может быть исключительно токсичным элементом, если
присутствует в организме в повышенных концентрациях, превышающих емкость
железосодержащих белков. Потенциальная токсичность свободного двухвалентного
железа (Fе+2) объясняется его способностью запускать цепные свободно-радикальные
реакции, приводящие к перекисному окислению липидов биологических мембран и
токсическому повреждению белков и нуклеиновых кислот.
Общее количество железа в организме здорового человека составляет 3,5-5,0 г.
Оно распределено следующим образом (табл.)

Обмен железа	Железо является необходимым биохимическим компонентом в ключевых процессах метаболизма, роста и пролиферации клеток. Исключительная роль железа

Слайд 31Распределение железа в организме

Распределение железа в организме

Слайд 32Обмен железа в
организме

состоит из нескольких этапов:
1. всасывание в

ЖКТ,
2. транспорт,
3. внутриклеточный метаболизм и

депонирование,
4. утилизация и реутилизация,
5. экскреция из организма.





Наиболее простая схема
метаболизма железа
представлена на рис →

Обмен железа в организме состоит из нескольких этапов:1. всасывание в ЖКТ, 2. транспорт, 3. внутриклеточный метаболизм и

Слайд 33Основным местом всасывания железа является тонкий кишечник. Железо в пище

содержится в основном в
Форме Fе+3, но лучше всасывается в

двухвалентной форме Fе+2. Под воздействием соляной кислоты
желудочного сока железо высвобождается из пищи и превращается из Fе+3 в Fе+2. Этот процесс ускоряется
аскорбиновой кислотой, ионами меди, которые способствуют всасыванию железа в организме. При нарушении
нормальной функции желудка абсорбция железа в кишечнике ухудшается. До 90% железа всасывается в
двенадцатиперстной кишке и начальных отделах тощей кишки. При дефиците железа зона всасывания
расширяется дистально, захватывая слизистую верхнего отдела подвздошной кишки, что обеспечивает усиление
его абсорбции.
Основным местом всасывания железа является тонкий кишечник. Железо в пище содержится в основном в Форме Fе+3, но

Слайд 35Основными формами депонированного железа являются ферритин и гемосидерин,
которые связывают

"избыточное« железо и откладываются, практически, во всех
тканях организма, но

особенно интенсивно в печени, селезенке, мышцах, костном мозге.
Апоферритин покрывает в виде оболочки ядро из гидроксифосфата железа и содержит 24
однотипных цилиндрических субъединицы, образующих сферическую структуру с внутренним
пространством диаметром приблизительно 70 А, сфера имеет поры диаметром 10 А.
Ионы Fе+2 диффундируют через поры, окисляются до Fе+3, превращаются в FеООН и
кристаллизируются. 
Ферритин содержит примерно 15-20% общего железа в организме. Молекулы ферритина
растворимы в воде, каждая из них может аккумулировать до 4500 атомов железа

Депонирование железа

Основными формами депонированного железа являются ферритин и гемосидерин, которые связывают

Слайд 36- Железо поступает с пищей, транспортируется в крови в форме

трансферина,
запасается в виде ферритина и используется для

синтеза цитохромов, железосодержащих
ферментов, гемоглобина и миоглобина.
- Организм теряет железо с мочей, калом и при кровотечениях.
- Гемосидерин является комплексом гликопротеина и Fe 3+, который кумулирует избыток железа.

Метаболизм железа

- Железо поступает с пищей, транспортируется в крови в форме трансферина,   запасается в виде ферритина

Слайд 37Нарушения обмена железа
Синдром перегрузки Fe – гемосидероз
Первичный идеопатический – гемохроматоз
Железодефицитная

анемия – сидеропатия


Механизм повреждения клеток при перегрузке и
отравлении железом:
Прямое

токсическое действие свободных ионов Fe на ферменты окислительно – восстановительной системы клетки
Перегрузка, повреждение и разрушение лизосом
Образование свободных радикалов и индуцирование ПОЛ
Стимулирование ионами железа синтеза коллагена с последующим фиброзом





Нарушения обмена железаСиндром перегрузки Fe – гемосидерозПервичный идеопатический – гемохроматозЖелезодефицитная анемия – сидеропатияМеханизм повреждения клеток при перегрузке

Слайд 38СИНТЕЗ ГЕМА и его регуляция
1. Гем –

протопорфириновое кольцо с железом.
субстратами синтеза

гема являются глицин, сукцинил КоА и Fe2+.
Является простетической группой гемоглобина, цитохромов, каталазы и пероксидазы.
2. Гем синтезируется во всех клетках, но наиболее активно в клетках печени и костном
мозге.
3. Ключевой реакцией синтеза протопорфиринов является реакция образования
аминолевулиной кислоты. Эту реакцию катализирует пиридоксальфасфат-зависимый
фермент митохондрий эритробластов аминолевулинатсинтетаза. Гем и гемоглобин
являютcя аллостерическими иигибиторами и репрессорами синтеза этого фермента.
4. Стероидные гормоны и некоторые лекарства (барбитураты, диклофенак, сульфанил-
амиды, эстрогены, прогестины) являются индукторами синтеза аминолевулиновулинат-
синтетазы.
5. Нарушения синтеза гема.
Наследственные и приобретенные нарушения сопровождающиеся повышенным
содержанием промежуточных продуктов синтеза гема – порфириногенов, а также продуктов
их окисления в тканях называют порфириями. При этих заболеваниях накапливаются
промежуточные метаболиты синтеза гема, которые оказывают токсическое действие на
нервную систему и вызывают нервно-психические расстройства .
Порфироиногены на свету превращаются в порфирины, которые при взаимодействии c
кислородом образуют активные радикалы, повреждающие клетки кожи. Эти вещества
поступают в кровь затем в мочу окрашивая её при стоянии в красный цвет (цвет портвейна).
Прием перечисленных выше лекарств вызывают обострение болезни



СИНТЕЗ ГЕМА и его регуляция			   1. Гем – протопорфириновое кольцо с железом.

Слайд 39БИОСИНТЕЗ ГЕМА 1-я реакция


БИОСИНТЕЗ ГЕМА 1-я реакция

Слайд 40БИОСИНТЕЗ ГЕМА 2-я реакция


БИОСИНТЕЗ ГЕМА 2-я реакция

Слайд 41

БИОСЕЗ ГЕМА
схема БИОСИНТЕЗА ГЕМА

БИОСЕЗ ГЕМАсхема БИОСИНТЕЗА ГЕМА

Слайд 42

общая схема БИОСИНТЕЗА ГЕМА

общая схема БИОСИНТЕЗА  ГЕМА

Слайд 43ПОРФИРИЯ


БИОСИНТЕЗ ГЕМА 2-я реакция

ПОРФИРИЯБИОСИНТЕЗ ГЕМА 2-я реакция

Слайд 44Болезни крови - АНЕМИИ

Болезни крови - АНЕМИИ

Слайд 45Энзимодиагностика

Энзимодиагностика

Слайд 46Активность ферментов в крови мала -5-40 ЕД/л Коэффициент де Ритиса АсТ/АЛТ

= 1,33±0,42 (в норме)
При гепатите К ≈ 0,6
АЛТ увеличивается в

6-8 раз,
АСТ - в 2-4 раза,

При циррозе печени К ≈ 1
При химическом отравлении активность ферментов увеличивается до 400 ед. и больше

При инфаркте миокарда
активность АСТ увеличивается в
8-10 раз, а
активность АЛТ – 1,5-2 раза.
К ≥ 2

Активность ферментов в крови мала -5-40 ЕД/л Коэффициент де Ритиса АсТ/АЛТ = 1,33±0,42 (в норме)При гепатите К

Слайд 47 Относительное изменение активности ферментов при острой загрудинной или абдоминальной

боли

Относительное изменение активности ферментов  при острой загрудинной или абдоминальной боли

Слайд 48
ФЕРМЕНТЫ В ЭНЗИМОДИАГНОСТИКЕ и ПЕРИОД ПОЛУРАСПАДА ФЕРМЕНТОВ В ПЛАЗМЕ КРОВИ

ФЕРМЕНТЫ В ЭНЗИМОДИАГНОСТИКЕ и ПЕРИОД ПОЛУРАСПАДА ФЕРМЕНТОВ В ПЛАЗМЕ КРОВИ

Слайд 49

БУФЕРНЫЕ СИСТЕМЫ КРОВИ


БИКАРБОНАТНАЯ

ФОСФАТНАЯ

БЕЛКОВАЯ

ГЕМОГЛОБИНОВАЯ

БУФЕРНЫЕ СИСТЕМЫ КРОВИБИКАРБОНАТНАЯ ФОСФАТНАЯБЕЛКОВАЯГЕМОГЛОБИНОВАЯ

Слайд 50Особенности метаболизма эритроцитов
В результате дифференцировки предшественники эритроцитов эритробласты теряют ядро,


рибосомы, митохондрии и эндоплазматический ретикулум и преобразуются сначала в
ретикулоциты,

а затем в эритроциты. Существуют в крови 110-125 дней.
Глюкоза - единсьвенная топливная молекула. Метаболизм глюкозы в эритроцитах
представлен анаэробным гликолизом и пентозофосфатным путем катаболизма.

Высокое содержание кислорода в эритроцитах вызывает повышение
скорости образования супероксидного анион-радикала (O2 -), Н2О2 (пероксида водорода) и
ОН* (гидроксил-радикала) = (активные формы кислорода - АФК).

Постоянным источником активных форм кислорода в эритроцитах является
неферментативное окисление гемоглобина: Hb(Fe2+ ) + O2 → MetHb(Fe 3+ ) + O2 - .





Активные формы кислорода (АФК) могут вызвать гемолиз эритроцитов.

НО! Эритроциты содержат ферментную систему, предотвращающую токсическое
действие радикалов кислорода и разрушение мембран эритроцитов. ЭТО

Антиоксидантная защита (АОЗ)

Особенности метаболизма эритроцитовВ результате дифференцировки предшественники эритроцитов эритробласты теряют ядро, рибосомы, митохондрии и эндоплазматический ретикулум и преобразуются

Слайд 51В эритроцитах гликолиз обеспечивает синтез АТФ и восстановление НAД до

НАДН+Н.
АТФ необходима для работы ионных насосов.
НAДН является коферментом

метгемоглобинредуктазы, катализирующей
восстановление метгемоглобина до гемоглобина.
Супероксидный анион супероксиддисмутазой превращается в пероксид водорода,
который под действием глутатионпероксидазы или каталазы превращается в Н2О и
О2 (АОЗ).
Донором водорода для глутатионпероксидазы является восстановленный
глутатион (GSH).
Окисленный глутатион (GSSG) восстанавливается ферментом
глутатионредуктазой, кофермент которого - НAДФН образуется в
Пентозофосфатном пути катаболизма глюкозы.

При генетическом дефекте глюкозо-6-фосфатдегидрогеназы и приёме некоторых
лекарств, являющихся сильными окислителями, потенциала глутатионовой защиты
может оказаться недостаточным, что приводит к увеличению содержания в клетках
активных форм кислорода, вызывающих окисление SH-групп молекул гемоглобина.
Образование дисульфидных связей между протомерами гемоглобина и
метгемоглобина приводит к их агрегации — образованию телец Хайнца. Последние
способствуют разрушению эритроцитов при попадании их в мелкие капилляры.
Активные формы кислорода и сами разрушают мембраны, вызывая перекисное
окисление липидов (ПОЛ) мембран.
В эритроцитах гликолиз обеспечивает синтез АТФ и восстановление НAД до НАДН+Н. АТФ необходима для работы ионных насосов.

Слайд 52
Образование и обезвреживание активных форм кислорода в эритроцитах
1 – источник

супероксидного аниона в эритроцитах – спонтанное окисление Fe2+ в геме


гемоглобина; 2 – супероксиддисмутаза превращает супероксидный анион в пероксид
водорода и О2*, 3 – пероксид водорода расщепляется каталазой или
глутататионпероксидазой; 4 – глутатионредуктаза восстанавливает окисленный глутатион;
5 – на окислительном этапе пентозофосфатного пути превращения глюкозы образуется
НАДФН, необходимый для восстановления глутатиона; 6 – в глицеральдегид-фосфат-д
егидрогеназной реакции гликолиза образуется НАДН, участвующий в восстановлении железа
метгемоглобина метгемоглобинредуктазной системой.

Образование и обезвреживание активных форм кислорода в эритроцитах1 – источник супероксидного аниона в эритроцитах – спонтанное окисление

Слайд 53Схема образования
телец Хейнца –
агрегация молекул гемоглобина

В норме супероксиддисмутаза


катализирует образование
пероксида водорода, который под
действием глутатионпероксидазы
превращается в

Н2О.
При недостаточной активности
ферментов обезвреживания
активных форм кислорода
происходит окисление SН-групп в
остатках цистеина протомеров
метгемоглобина и образование
дисульфидных связей (сшивок Мет Hb).
Такие структуры называются
тельцами Хейнца.

Что ведет к гемолизу эритроцитов в
капиллярах

Схема образования телец Хейнца – агрегация молекул гемоглобинаВ норме супероксиддисмутаза катализирует образование пероксида водорода, который под действием

Слайд 54Основные механизмы фагоцитоза
От микрооорганизмов поступающих в организм человека, клетки
защищаются

фагоцитозом. Основную роль в этом процессе играют
нейтрофилы и моноциты.

Они мигрируют из кровяного русла к очагу
воспаления и путем эндоцитоза захватывают бактерии, образуя фагосому.
Слияние фагосомы с лизосомами клетки приводит к образованию
фаголизосомы, в которой лизосомные ферменты (ДНКаза, РНКаза,
протеиназы, фосфотазы, эстеразы и др.) разрушают макромолекулы
микрооорганизмов.
Фагоцитоз сопровождается резким увеличением потребления кислорода,
которое называется дыхательным взрывом.

Образование активных форм кислорода
фагоцитирующими клетками.

Активация НАДФН-оксидазы, вызывает
превращение кислорода в
супероксидный радикал, который
инициирует образование Н2О2, ОН•, НОСL

Основные механизмы фагоцитоза	От микрооорганизмов поступающих в организм человека, клетки защищаются фагоцитозом. Основную роль в этом процессе играют

Слайд 55Образование активных форм кислорода активированными
макрофагами, нейтрофилами и эозинофилами в

процессе
респираторного взрыва

Образование активных форм кислорода активированными макрофагами, нейтрофилами и эозинофилами в процессе респираторного взрыва

Слайд 56Активирующийся при фагоцитозе ферментный комплекс мембран фагосом
НАДФН-оксидаза используя кислород,

катализирует образование супероксидного
аниона:
2О2 + НАДФН → 2О2- + НАДФ+

+ Н+

Супероксидный анион ферментом супероксиддисмутазой превращается в пероксид
водорода: 2О2- + Н+ → Н2О2 + О2

Суперокисдный радикал и пероксид водорода образуют гидроксил радикал и
гидрокси-анион:
О2- + Н2О2 → ОН• + ОН- + О2

Под действием миелопероксидазы образуется гипохлорит:

Н2О2 + СI- + Н+ → НОСI + Н2О

Супероксидный анион, пероксид водорода, гидроксил-радикал и
гипохлорит являются сильными окислителями, вызывают перекисное
окисление мембран и их повреждение. Поэтому они вызывают
бактерицидное и лизирующее действие на микроорганизмы.







Активирующийся при фагоцитозе ферментный комплекс мембран фагосом НАДФН-оксидаза используя кислород, катализирует образование супероксидного аниона:2О2 + НАДФН →

Слайд 57Благодарю за внимание

Благодарю за внимание

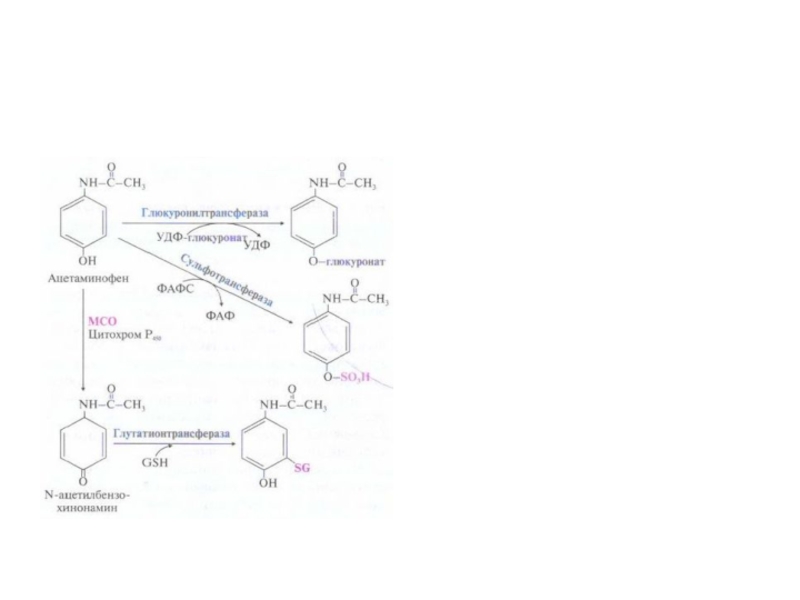
Слайд 58Инактивация чужеродных веществ в организме
Чужеродные вещества, попадающие в организм из

ЖКТ, через кожу
и легкие и не использующиеся для пластических

и энергетических
целей, называют ксенобиотиками. К ним относятся:
лекарства,
красители,
токсины бактерий и грибов,
пестициды,
продукты метаболизма кишечной микрофлоры и др….

Гидрофильные ксенобиотики выводятся из организма с мочёй. А
гидрофобные могут накапливаться и взаимодействовать с белками
и липидами клеток и нарушать их структуру и функции.

Механизмы обезвреживания ксенобиотиков происходят во многих
Тканях, но наиболее активно в печени.




Инактивация чужеродных веществ в организмеЧужеродные вещества, попадающие в организм из ЖКТ, через кожу и легкие и не

Слайд 59Система микросомального окисления веществ и реакции коньюгации
Процесс состоит из одного

или двух этапов и сводится к увеличению
растворимости ксенобиотика.
1

этап – обеспечивает повышение гидрофильности чужеродных веществ и
включает реакции их гидролиза , окисления, гидроксилирования, восстановления;
2 этап – заключается в коньюгации неизменных или химически
модифицированных на первом этапе веществ с рядом метаболитов.

Рис. Электротранспортные цепи микросомального окисления субстратов (RН).


Система микросомального окисления веществ и реакции коньюгацииПроцесс состоит из одного или двух этапов и сводится к увеличению

Слайд 68
2 О2 + НАДФН →

2О- + НАДФ+ + Н+

2О2- + Н+ →

Н2О2 + О2

О2- + Н2О2 → ОН• + ОН- + О2

Н2О2 + СI- + Н+ → НОСI + Н2О






2 О2 + НАДФН → 2О- + НАДФ+ + Н+  2О2-

Слайд 69Наиболее часто встречающиеся проканцерогены

Наиболее часто встречающиеся проканцерогены

Обратная связь

Если не удалось найти и скачать доклад-презентацию, Вы можете заказать его на нашем сайте. Мы постараемся найти нужный Вам материал и отправим по электронной почте. Не стесняйтесь обращаться к нам, если у вас возникли вопросы или пожелания:

Email: Нажмите что бы посмотреть 

Что такое TheSlide.ru?

Это сайт презентации, докладов, проектов в PowerPoint. Здесь удобно  хранить и делиться своими презентациями с другими пользователями.


Для правообладателей

Яндекс.Метрика