Разделы презентаций


Тема: КОНСТИТУЦИОННОЕ ПРАВО КАК ВЕДУЩАЯ ОТРАСЛЬ СИСТЕМЫ НАЦИОНАЛЬНОГО ПРАВА

Содержание

ВОПРОСЫ: 1. Понятие и предмет конституционного права. 2. Функции, задачи и принципы конституционного права. 3. Конституционное право в системе отраслей российского права. 4. Метод правового регулирования конституционного права.5. Конституционно-правовые нормы

Слайды и текст этой презентации

Слайд 1Тема: КОНСТИТУЦИОННОЕ ПРАВО КАК ВЕДУЩАЯ ОТРАСЛЬ СИСТЕМЫ НАЦИОНАЛЬНОГО ПРАВА
Гацко

Михаил Фёдорович,
заслуженный юрист Московской области,
действительный муниципальный советник
Московской

области, к.ф.н., Grand Ph.D.

Тема:  КОНСТИТУЦИОННОЕ ПРАВО  КАК ВЕДУЩАЯ ОТРАСЛЬ СИСТЕМЫ НАЦИОНАЛЬНОГО ПРАВА  Гацко Михаил Фёдорович, заслуженный юрист

Слайд 2 ВОПРОСЫ:
1. Понятие и предмет конституционного права.
2. Функции, задачи и

принципы конституционного права.
3. Конституционное право в системе отраслей российского

права.
4. Метод правового регулирования конституционного права.
5. Конституционно-правовые нормы и конституционно-правовые отношения.
6. Источники конституционного права.
 

ВОПРОСЫ: 1. Понятие и предмет конституционного права. 2. Функции, задачи и принципы конституционного права. 3. Конституционное

Слайд 31. Понятие и предмет конституционного права.

1. Понятие и предмет конституционного права.

Слайд 182. Функции, задачи и принципы конституционного права.

2. Функции, задачи и принципы конституционного права.

Слайд 19КОНСТИТУЦИОННОЕ ПРАВО ВЫПОЛНЯЕТ

ТРИ ОСНОВНЫХ ФУНКЦИИ:

КОНСТИТУЦИОННОЕ ПРАВО ВЫПОЛНЯЕТ              ТРИ

Слайд 20Основные задачи Конституционного права:

Основные задачи Конституционного права:

Слайд 22Основными тенденциями развития конституционного права являются:
суверенизация
гумманизация
социализация
расширение

объёма конституционного регулирования
реорганизация федеративного устройства.


Основными тенденциями развития конституционного права являются: суверенизация гумманизация социализация расширение объёма конституционного регулирования реорганизация федеративного устройства.

Слайд 233. Конституционное право в системе отраслей российского права.

3. Конституционное право в системе отраслей российского права.

Слайд 304. Метод правового регулирования конституционного права.

4. Метод правового регулирования конституционного права.

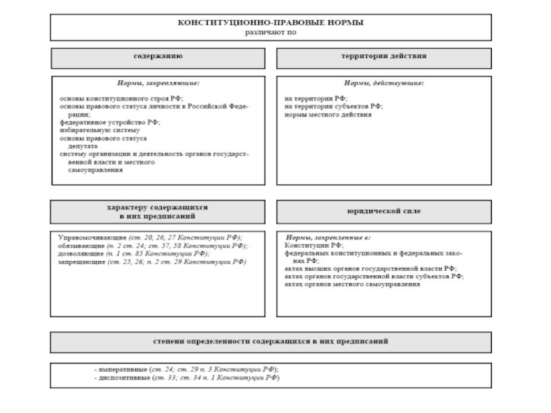
Слайд 325. Конституционно-правовые нормы и конституционно-правовые отношения.

5. Конституционно-правовые нормы и конституционно-правовые отношения.

Слайд 456. Источники конституционного права.

6. Источники конституционного права.

Слайд 52Рекомендуемые учебники по Конституционному праву России

    1. Авакьян С. А. Конституционное

право России: учебный курс. – В 2 т. – М.: Юристъ, 2006. – Т.

1. – 719 с.; Т. 2. – 778 с.     2. Баглай М. В. Конституционное право Российской Федерации: учебник. – М.: Норма, 2006. – 784 с.     3. Козлова Е. И., Кутафин О. Е. Конституционное право России: учебник. – М.: ТК Велби, Изд-во Проспект, 2006. – 608 с.     4. Конституционное право России: учебник / Отв. ред. А. Н. Кокотов, М. И. Кукушкин. – М.: Норма, 2007. – 544 с.     5. Конституционное право России: учебник / Под ред. А. Е.Постникова. – М.: ТК Велби, Изд-во Проспект, 2007. – 504 с.     6. Конституционное право России: учебник / Под ред. А. С.Прудникова, В. И.Авсеенко. – М.: ЮНИТИ-ДАНА, 2006. – 687 с.     7. Чиркин В. Е. Конституционное право России: учебник. – М.: Юристъ, 2006. – 447 с.

Рекомендуемые учебники по Конституционному праву России     1. Авакьян С. А. Конституционное право России: учебный курс. – В 2 т. –

Обратная связь

Если не удалось найти и скачать доклад-презентацию, Вы можете заказать его на нашем сайте. Мы постараемся найти нужный Вам материал и отправим по электронной почте. Не стесняйтесь обращаться к нам, если у вас возникли вопросы или пожелания:

Email: Нажмите что бы посмотреть 

Что такое TheSlide.ru?

Это сайт презентации, докладов, проектов в PowerPoint. Здесь удобно  хранить и делиться своими презентациями с другими пользователями.


Для правообладателей

Яндекс.Метрика