Разделы презентаций


Л_21_Определенный_интеграл.ppt

Содержание

? 1. Задача о вычислении площади криволинейной фигуры

Слайды и текст этой презентации

Слайд 1Определенный интеграл
1. Задача о вычислении площади криволинейной фигуры.
2. Задача

о нахождении пройденного пути точки по заданной скорости .
3.

Общее понятие определенного интеграла.
4. Свойства определенных интегралов.
5. Правила интегрирования.
6. Несобственные интегралы.
7. Понятие о приближенном вычислении определенных интегралов
Определенный интеграл 1. Задача о вычислении площади криволинейной фигуры.2. Задача о нахождении пройденного пути точки по заданной

Слайд 2? 1. Задача о вычислении площади криволинейной фигуры

? 1. Задача о вычислении площади криволинейной фигуры

Слайд 3Задача о вычислении площади криволинейной фигуры

Задача о вычислении площади криволинейной фигуры

Слайд 4Задача о вычислении площади криволинейной фигуры

Задача о вычислении площади криволинейной фигуры

Слайд 5Задача о вычислении площади криволинейной фигуры

Задача о вычислении площади криволинейной фигуры

Слайд 6? 2. Задача о нахождении пройденного пути точки по заданной

скорости

? 2. Задача о нахождении пройденного пути точки по заданной скорости

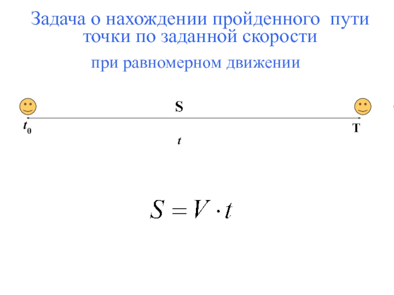
Слайд 7Задача о нахождении пройденного пути точки по заданной скорости

при равномерном

движении

Задача о нахождении пройденного пути точки по заданной скоростипри равномерном движении

Слайд 8Задача о нахождении пройденного пути точки по заданной скорости
при неравномерном

движении

Задача о нахождении пройденного пути точки по заданной скоростипри неравномерном движении

Слайд 9Задача о нахождении пройденного пути точки по заданной скорости
при неравномерном

движении

Задача о нахождении пройденного пути точки по заданной скоростипри неравномерном движении

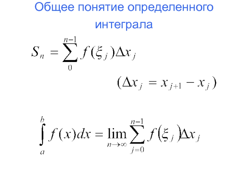
Слайд 10? 3. Общее понятие определенного интеграла

? 3. Общее понятие  определенного интеграла

Слайд 11Общее понятие определенного интеграла

Общее понятие определенного интеграла

Слайд 12Теорема Ньютона-Лейбница

Теорема Ньютона-Лейбница

Слайд 13Пример:

.

Пример: .

Слайд 14Готфрид Лейбниц
Исаак Ньютон

Готфрид Лейбниц Исаак Ньютон

Слайд 15? 4. Свойства определенных интегралов

? 4. Свойства определенных интегралов

Слайд 16Свойства определенных интегралов
1.

Свойства определенных интегралов 1.

Слайд 17Свойства определенных интегралов
2.

Свойства определенных интегралов 2.

Слайд 18Свойства определенных интегралов
3.

Свойства определенных интегралов 3.

Слайд 19Свойства определенных интегралов

4.

Свойства определенных интегралов 4.

Слайд 20Свойства определенных интегралов
[A F(x)]′ =Af(x)
5.

Свойства определенных интегралов [A F(x)]′ =Af(x) 5.

Слайд 21Свойства определенных интегралов
5.

Свойства определенных интегралов 5.

Слайд 22Пример:

Пример:

Слайд 23Пример:

Пример:

Слайд 24Пример:




.

Пример: –.

Слайд 25Свойства определенных интегралов
7. Оценка определенного интеграла.
Если
на [a, b],

то

Свойства определенных интегралов 7. Оценка определенного интеграла.Если на [a, b], то

Слайд 26Пример:



.
Оценить интеграл:


Решение:

Пример: –. Оценить интеграл:Решение:

Слайд 27Свойства определенных интегралов
8.1  Если f (x) – нечетная функция,
т.е. f (–x) = –f (x),

то

8.2  Если f (x) – четная функция,
т.е. f (–x) = f (x), то

Свойства определенных интегралов 8.1  Если f (x) – нечетная функция, т.е. f (–x) = –f (x), то8.2  Если f (x) – четная функция, т.е. f (–x) = f (x),

Слайд 28Пример:




.

Решение:

Пример: –. Решение:

Слайд 29Пример:




.

Решение:


Пример: –. Решение:

Слайд 30Свойства определенных интегралов



среднее значение функции

Свойства определенных интегралов среднее значение функции

Слайд 31Пример:



Решение:


Найти среднее значение функции

на промежутке [0, 2π].



Пример: Решение: Найти среднее значение функции на промежутке [0, 2π].

Слайд 32? 5. Правила интегрирования

? 5. Правила интегрирования

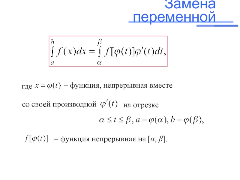
Слайд 33Замена переменной

Замена переменной

Слайд 34Пример:




.

Решение:




Пример: –. Решение:

Слайд 35Пример:




.

Решение:




Пример: –. Решение:

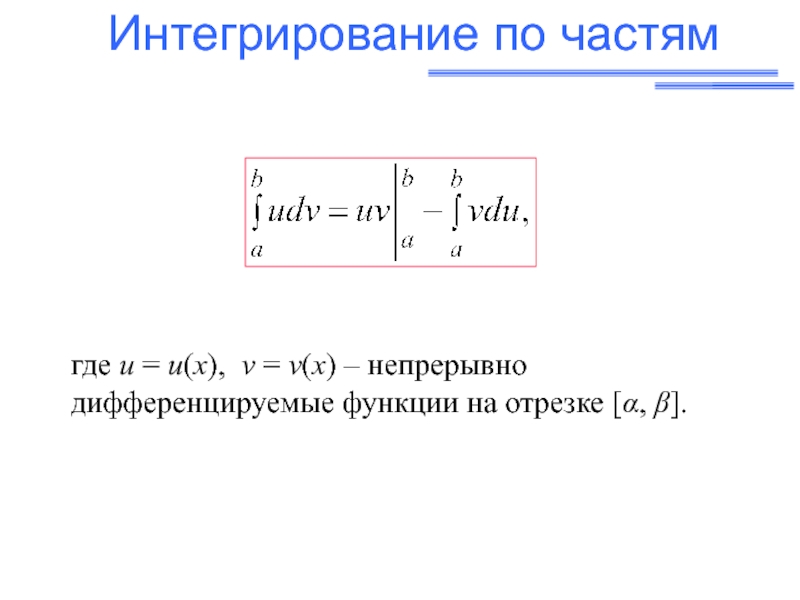
Слайд 36Интегрирование по частям

где u = u(x), v = v(x) – непрерывно дифференцируемые функции

на отрезке [α, β].

Интегрирование по частям где u = u(x), v = v(x) – непрерывно дифференцируемые функции на отрезке [α, β].

Слайд 37Пример:




.

Решение:






Пример: –. Решение:

Слайд 38? 6. Несобственные интегралы

? 6. Несобственные интегралы

Слайд 39Пример:




.

Решение:






Пример: –. Решение:

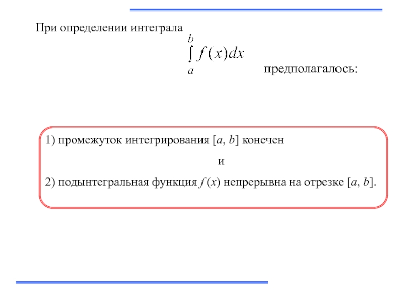
Слайд 40



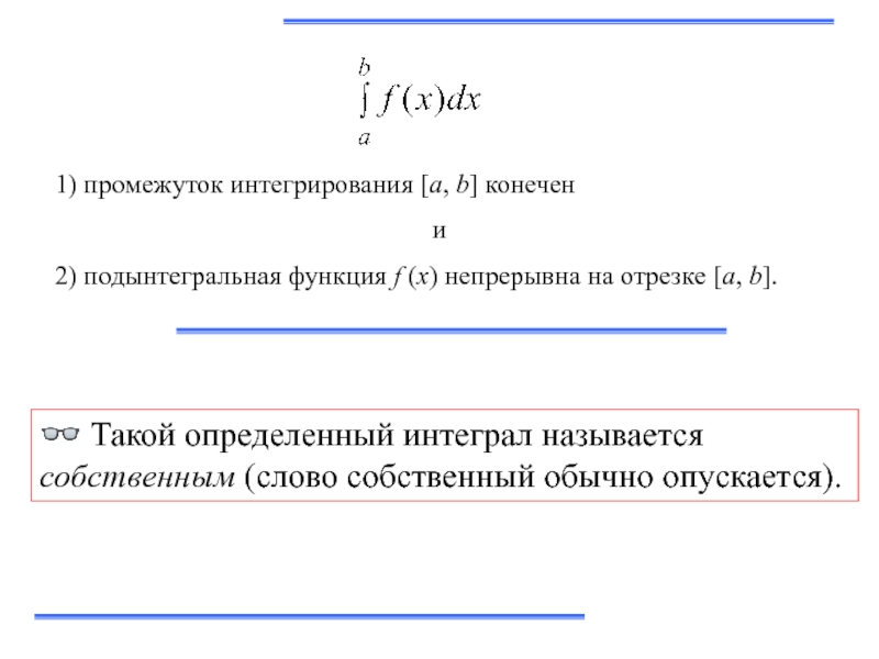
предполагалось:



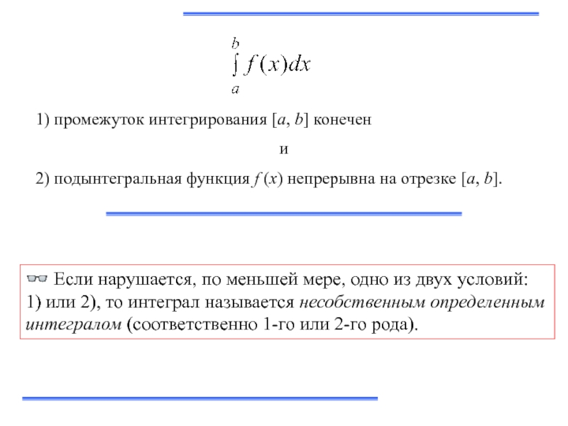
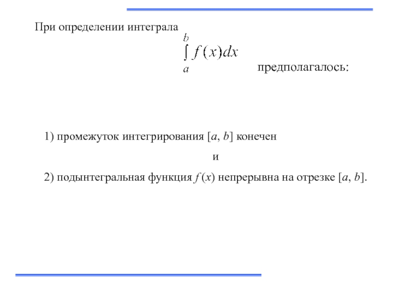
При определении интеграла
1) промежуток интегрирования [a, b] конечен
и
2) подынтегральная

функция f (x) непрерывна на отрезке [a, b].

предполагалось: При определении интеграла1) промежуток интегрирования [a, b] конечен и 2) подынтегральная функция f (x) непрерывна на отрезке [a, b].

Слайд 41



предполагалось:



При определении интеграла
1) промежуток интегрирования [a, b] конечен
и
2) подынтегральная

функция f (x) непрерывна на отрезке [a, b].

предполагалось: При определении интеграла1) промежуток интегрирования [a, b] конечен и 2) подынтегральная функция f (x) непрерывна на отрезке [a, b].

Слайд 42





1) промежуток интегрирования [a, b] конечен
и
2) подынтегральная функция f (x) непрерывна

на отрезке [a, b].
? Такой определенный интеграл называется собственным (слово

собственный обычно опускается).
1) промежуток интегрирования [a, b] конечен и 2) подынтегральная функция f (x) непрерывна на отрезке [a, b]. ? Такой определенный интеграл

Слайд 43





1) промежуток интегрирования [a, b] конечен
и
2) подынтегральная функция f (x) непрерывна

на отрезке [a, b].
? Если нарушается, по меньшей мере, одно

из двух условий: 1) или 2), то интеграл называется несобственным определенным интегралом (соответственно 1-го или 2-го рода).
1) промежуток интегрирования [a, b] конечен и 2) подынтегральная функция f (x) непрерывна на отрезке [a, b]. ? Если нарушается, по

Слайд 44





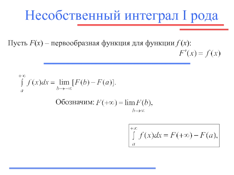
Пусть функция f (x)  непрерывна при а ≤ х < +∞. Тогда по определению

полагают:
Если предел существует, то несобственный интеграл называется сходящимся;
в

противном случае расходящимся.

Несобственный интеграл I рода


Пусть функция f (x)  непрерывна при а ≤ х < +∞. Тогда по определению полагают: Если предел существует, то несобственный интеграл

Слайд 45





Геометрически несобственный интеграл I рода представляет собой площадь криволинейной фигуры.

ограниченной данной линией y = f (x), осью Ox и вертикалью х = а
Несобственный

интеграл I рода



Геометрически несобственный интеграл I рода представляет собой площадь криволинейной фигуры. ограниченной данной линией y = f (x), осью Ox и

Слайд 46




Пусть F(x) – первообразная функция для функции f (x):
Несобственный интеграл

I рода



Обозначим:



Пусть F(x) – первообразная функция для функции f (x): Несобственный интеграл I рода Обозначим:

Слайд 47




Пример:






;

Пример: ;

Слайд 48




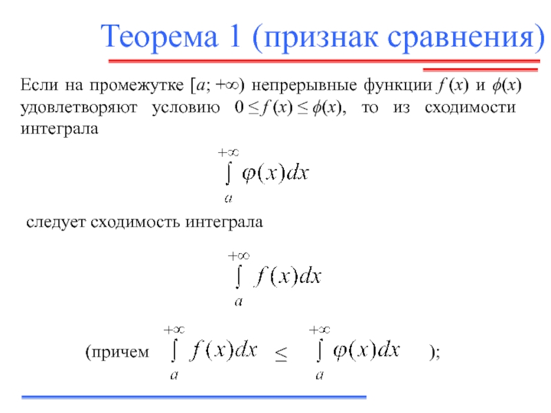
Теорема 1 (признак сравнения)







Если на промежутке [a; +∞) непрерывные функции

f (x) и ϕ(х) удовлетворяют условию 0 ≤ f (x) ≤ ϕ(х), то из сходимости интеграла


следует сходимость интеграла

(причем );


.

Теорема 1 (признак сравнения) Если на промежутке [a; +∞) непрерывные функции f (x) и ϕ(х) удовлетворяют условию 0 ≤ f (x) ≤ ϕ(х), то

Слайд 49




Теорема 1 (признак сравнения)







а из расходимости интеграла
следует

расходимость интеграла
.

Теорема 1 (признак сравнения) а из расходимости интеграла следует расходимость интеграла .

Слайд 50




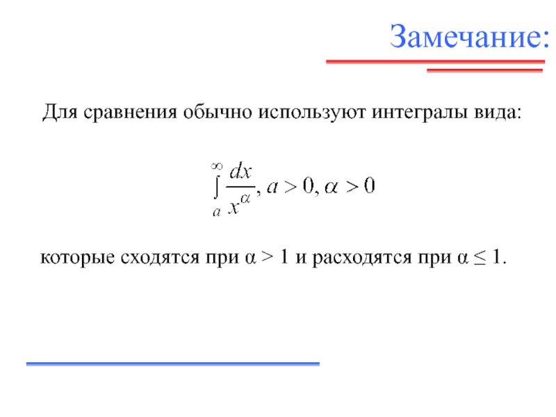
Замечание:







.
Для сравнения обычно используют интегралы вида:

которые сходятся при α > 1

и расходятся при α ≤ 1.

Замечание: .Для сравнения обычно используют интегралы вида:которые сходятся при α > 1 и расходятся при α ≤ 1.

Слайд 51Пример:




.

Решение:






При х ≥ 1
сходится

Пример: –. Решение: При х ≥ 1 сходится

Слайд 52




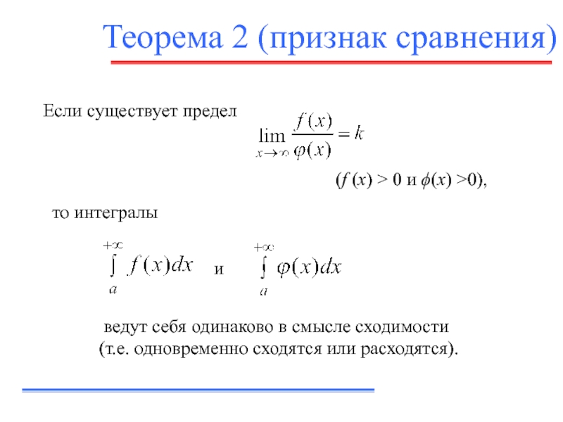
Теорема 2 (признак сравнения)







.
Если существует предел
(f (x) > 0 и ϕ(х) >0),


и
ведут себя одинаково в смысле сходимости
(т.е.

одновременно сходятся или расходятся).

то интегралы

Теорема 2 (признак сравнения) .Если существует предел (f (x) > 0 и ϕ(х) >0), и ведут себя одинаково в смысле сходимости

Слайд 53Пример:





Решение:






сходится;



Пример: –Решение: сходится;

Слайд 54Замечание:










Аналогично определяются:

и

Замечание: –Аналогично определяются: 	и

Слайд 55




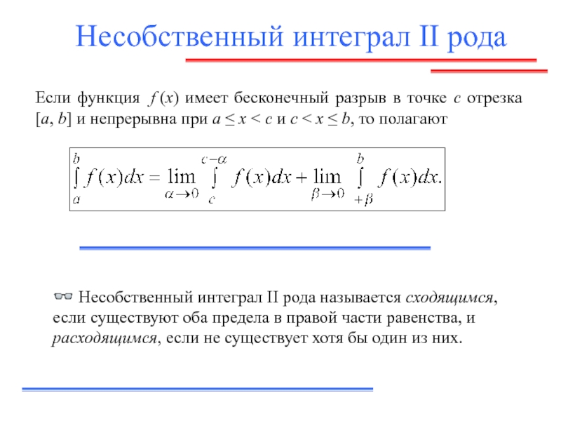
Если функция  f (x) имеет бесконечный разрыв в точке с отрезка

[a, b] и непрерывна при a ≤ x 

II рода







? Несобственный интеграл II рода называется сходящимся, если существуют оба предела в правой части равенства, и расходящимся, если не существует хотя бы один из них.

Если функция  f (x) имеет бесконечный разрыв в точке с отрезка [a, b] и непрерывна при a ≤ x 

Слайд 56Пример:





Решение:









Пример: –Решение:

Слайд 57Замечание:










Признаки сходимости и расходимости несобственных интегралов II рода аналогичны признакам

сходимости несобственных интегралов I рода

Замечание: Признаки сходимости и расходимости несобственных интегралов II рода аналогичны признакам сходимости несобственных интегралов I рода

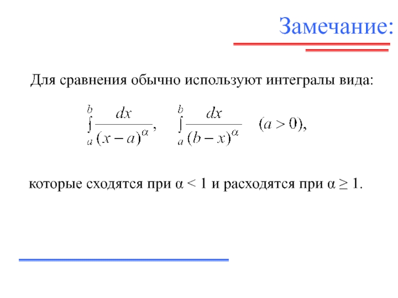
Слайд 58




Замечание:







.
Для сравнения обычно используют интегралы вида:

которые сходятся при α 

и расходятся при α ≥ 1.

Замечание: .Для сравнения обычно используют интегралы вида:которые сходятся при α 

Слайд 59Пример:





Решение:










расходится


Пример: –Решение: расходится

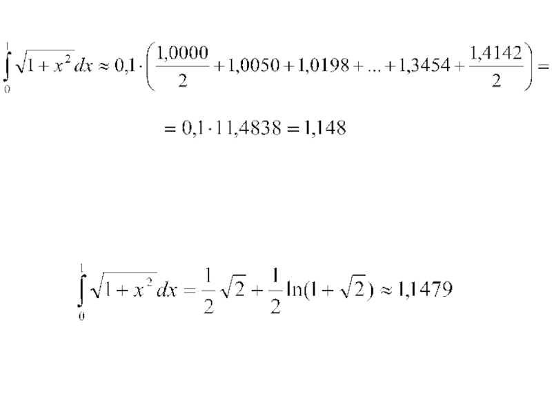
Слайд 60? 7. Понятие о приближенном вычислении определенных интегралов

? 7. Понятие о приближенном вычислении определенных интегралов

Слайд 61Понятие о приближенном вычислении определенных интегралов

Понятие о приближенном вычислении определенных интегралов

Слайд 62Понятие о приближенном вычислении определенных интегралов

Понятие о приближенном вычислении определенных интегралов

Обратная связь

Если не удалось найти и скачать доклад-презентацию, Вы можете заказать его на нашем сайте. Мы постараемся найти нужный Вам материал и отправим по электронной почте. Не стесняйтесь обращаться к нам, если у вас возникли вопросы или пожелания:

Email: Нажмите что бы посмотреть 

Что такое TheSlide.ru?

Это сайт презентации, докладов, проектов в PowerPoint. Здесь удобно  хранить и делиться своими презентациями с другими пользователями.


Для правообладателей

Яндекс.Метрика