Разделы презентаций


1 Б иохимия и молекулярная биология Лекция 9. Биосинтез мембранных липидов

Содержание

План лекцииДва пути биосинтеза глицерофосфолипидовБиосинтез стеринов (холестерина) Биосинтез мембранных липидов

Слайды и текст этой презентации

Слайд 1



Биохимия и молекулярная биология


Лекция 9. Биосинтез

мембранных липидов

Биохимия и молекулярная

Слайд 2План лекции
Два пути биосинтеза глицерофосфолипидов
Биосинтез стеринов (холестерина)


Биосинтез мембранных липидов

План лекцииДва пути биосинтеза глицерофосфолипидовБиосинтез стеринов (холестерина)        Биосинтез  мембранных

Слайд 3 Биосинтез фосфолипидов
Биосинтез мембранных липидов
Основные мембранные липиды

Фосфатидилхолины
Фосфатидилэтаноламины
Фосфатидилсерины
Фосфатидилглицерины
Фосфатидилинозиты
Кардиолипины
Сфингомиелины
Цереброзиды
Ганглиозиды






Биосинтез фосфолипидов Биосинтез мембранных липидовОсновные мембранные липидыФосфатидилхолиныФосфатидилэтаноламиныФосфатидилсериныФосфатидилглицериныФосфатидилинозитыКардиолипиныСфингомиелиныЦереброзиды Ганглиозиды

Слайд 4 Биосинтез глицерофосфолипидов
Биосинтез мембранных липидов

Триацилглицерины и глицерофосфолипиды синтезируются из

одинаковых предшественников: глицерин-3-фосфата и ацил-СОА. Глицерин-3-фосфат образуется либо из дигидроксиацетонфосфата,

либо из глицерина.
Источники ацил-СоА: биосинтез жирных кислот, активация высших жирных кислот при β-окислении.
Биосинтез глицерофосфолипидов Биосинтез мембранных липидовТриацилглицерины и глицерофосфолипиды синтезируются из одинаковых предшественников: глицерин-3-фосфата и ацил-СОА. Глицерин-3-фосфат

Слайд 5 Биосинтез глицерофосфолипидов
Биосинтез мембранных липидов

Пути образования
глицерин-3-фосфата

Биосинтез глицерофосфолипидов Биосинтез мембранных липидовПути образования глицерин-3-фосфата

Слайд 6 Биосинтез глицерофосфолипидов
Биосинтез мембранных липидов

Схема синтеза ТАГ и ГФЛ

Биосинтез глицерофосфолипидов Биосинтез мембранных липидовСхема синтеза ТАГ и ГФЛ

Слайд 7 Биосинтез глицерофосфолипидов
Биосинтез мембранных липидов

Две стратегии синтеза ГФЛ
У

эукариот биосинтез фосфолипидов осуществляется
на поверхности ЭПР и на внешней

мембране митохондрий.
Биосинтез глицерофосфолипидов Биосинтез  мембранных липидовДве стратегии синтеза ГФЛУ эукариот биосинтез фосфолипидов осуществляется на поверхности

Слайд 8Биосинтез глицерофосфолипидов
Биосинтез мембранных липидов

Биосинтез глицерофосфолипидовБиосинтез  мембранных липидов

Слайд 9Биосинтез глицерофосфолипидов
Биосинтез мембранных липидов

Биосинтез глицерофосфолипидовБиосинтез  мембранных липидов

Слайд 10Биосинтез глицерофосфолипидов
Биосинтез мембранных липидов

Биосинтез глицерофосфолипидовБиосинтез  мембранных липидов

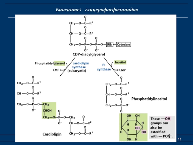
Слайд 11Биосинтез глицерофосфолипидов
Биосинтез мембранных липидов

Биосинтез глицерофосфолипидовБиосинтез  мембранных липидов

Слайд 12Биосинтез ФЭА

Биосинтез ФЭА

Слайд 13 Биосинтез фосфолипидов
Биосинтез мембранных липидов
Биосинтез ФЭА

Биосинтез фосфолипидов Биосинтез мембранных липидовБиосинтез ФЭА

Слайд 14 Биосинтез фосфолипидов
Биосинтез мембранных липидов
Главный путь синтеза ФХ у

животных и растений

Биосинтез фосфолипидов Биосинтез мембранных липидовГлавный путь синтеза ФХ у животных и растений

Слайд 15 Биосинтез фосфолипидов
Биосинтез мембранных липидов
Синтез фосфатидилхолина

Биосинтез фосфолипидов Биосинтез мембранных липидовСинтез фосфатидилхолина

Слайд 16Биосинтез глицерофосфолипидов
Биосинтез мембранных липидов

Биосинтез глицерофосфолипидовБиосинтез  мембранных липидов

Слайд 17Биосинтез глицерофосфолипидов
Биосинтез мембранных липидов
Транспорт синтезированных липидов
Молекулы различных полярных липидов

после завершения их синтеза встраиваются в липидный бислой клеточных мембран.

Основная масса полярных липидов встраивается в бислой мембран ЭПР. Эти липиды поступают затем последовательно в мембраны аппарата Гольджи, секреторные пузырьки и плазматическую мембрану. При помощи специфических белков липиды эндоплазматического ретикулума переносятся через цитозоль и встраиваются в митохондриальные мембраны.





Биосинтез глицерофосфолипидовБиосинтез  мембранных липидовТранспорт синтезированных липидовМолекулы различных полярных липидов после завершения их синтеза встраиваются в липидный

Слайд 18Биосинтез глицерофосфолипидов
Биосинтез мембранных липидов
Вследствие конкуренции между путями синтеза фосфолипидов

и триацилглицеринов за общие субстраты все вещества, способствующие синтезу фосфолипидов,

препятствуют отложению ТАГ в тканях. Эти вещества называются липотропными факторами.

К ним относятся:
структурные компоненты фосфолипидов - холин, инозитол, серин;

метионин – незаменимая аминокислота, предшественник S-аденозилметионина, универсального донора метильных групп;

фолиевая кислота и витамин В12 – предшественники коферментов, участвующих в реакциях переноса СН3-групп.


Биосинтез глицерофосфолипидовБиосинтез  мембранных липидовВследствие конкуренции между путями синтеза фосфолипидов и триацилглицеринов за общие субстраты все вещества,

Слайд 19 Биосинтез стеринов и их производных
Биосинтез мембранных липидов

Конрад Блох

(1912-2000) Феодор Линен (1911-1979)



Нобелевская премия по медицине 1964

За открытия, касающиеся механизмов и регуляции обмена холестерина и жирных кислот





Биосинтез стеринов и их производных Биосинтез мембранных липидовКонрад Блох (1912-2000)

Слайд 20 Биосинтез стеринов и их производных
Биосинтез мембранных липидов
Синтез холестерина

происходит в клетках печени , кишечнике и коже.
Внутриклеточная локализация процесса

- ЭПР и цитозоль.
Биосинтез холестерина служит основой синтеза других стероидных соединений.
Биосинтез стеринов и их производных Биосинтез мембранных липидовСинтез холестерина происходит в клетках печени , кишечнике

Слайд 21 Биосинтез стеринов и их производных
Биосинтез мембранных липидов

ХС синтезируется

из 18 молекул ацетил-СоА в четыре стадии.

Синтез мевалоновой кислоты

(мевалоната).
Образование изопентенилпирофосфата.
Синтез сквалена.
Превращение сквалена в холестерин.

Биосинтез холестерина

Биосинтез стеринов и их производных Биосинтез мембранных липидовХС синтезируется из 18 молекул ацетил-СоА в четыре

Слайд 22 Схема биосинтеза холестерина
Биосинтез мембранных липидов

Схема биосинтеза холестерина Биосинтез мембранных липидов

Слайд 23 Биосинтез стеринов и их производных
Биосинтез мембранных липидов

I.

Синтез мевалоновой кислоты

Биосинтез стеринов и их производных Биосинтез мембранных липидов I. Синтез мевалоновой кислоты

Слайд 24 Биосинтез стеринов и их производных
Биосинтез мембранных липидов

Синтез изопентенилдифосфата

Биосинтез стеринов и их производных Биосинтез мембранных липидовСинтез изопентенилдифосфата

Слайд 25 Биосинтез стеринов и их производных
Биосинтез мембранных липидов

Синтез изопентенилдифосфата

Биосинтез стеринов и их производных Биосинтез мембранных липидовСинтез изопентенилдифосфата

Слайд 26 Биосинтез стеринов и их производных
Биосинтез мембранных липидов

Изопентенилпирофосфат и

диметилаллилпирофосфат

Биосинтез стеринов и их производных Биосинтез мембранных липидовИзопентенилпирофосфат и диметилаллилпирофосфат

Слайд 27 Биосинтез стеринов и их производных
Биосинтез мембранных липидов

Синтез cквалена

и образование ХС

Биосинтез стеринов и их производных Биосинтез мембранных липидовСинтез cквалена и образование ХС

Слайд 28 Биосинтез стеринов и их производных
Биосинтез мембранных липидов

Синтез фарнезил
пирофосфата

Биосинтез стеринов и их производных Биосинтез мембранных липидовСинтез фарнезилпирофосфата

Слайд 29Синтез
cквалена

Синтез cквалена

Слайд 30Образование ланостерола

Образование ланостерола

Слайд 31Образование ХС

Образование ХС

Слайд 32 Биосинтез стеринов и их производных
Биосинтез мембранных липидов

Биологическая роль

изопентенилпиро-фосфата
и холестерина в синтезе различных соединений

Биосинтез стеринов и их производных Биосинтез мембранных липидовБиологическая роль изопентенилпиро-фосфата и холестерина в синтезе различных

Слайд 33 Биосинтез холестерина
Биосинтез мембранных липидов

Биосинтез  холестерина Биосинтез мембранных липидов

Слайд 34 Биосинтез холестерина
Биосинтез мембранных липидов

Регуляция биосинтеза холестерина

Биосинтез  холестерина Биосинтез мембранных липидов Регуляция биосинтеза холестерина

Слайд 35 Биосинтез холестерина
Биосинтез мембранных липидов

Регуляция биосинтеза холестерина



Метаболическая регуляция – по принципу обратной связи. ХС – аллостерический ингибитор ГМГ-СоА редуктазы.

Ковалентная модификация гормонами: инсулин, активируя протеинфосфатазу, активирует ГМГ-СоА редуктазу. Глюкагон и адреналин по аденилатциклазному механизму ингибируют фермент.

Скорость биосинтеза зависит от концентрации специфического белка-переносчика, обеспечивающего связывание и транспорт гидрофобных промежуточных метаболитов синтеза.



Биосинтез  холестерина Биосинтез мембранных липидов Регуляция биосинтеза холестерина

Обратная связь

Если не удалось найти и скачать доклад-презентацию, Вы можете заказать его на нашем сайте. Мы постараемся найти нужный Вам материал и отправим по электронной почте. Не стесняйтесь обращаться к нам, если у вас возникли вопросы или пожелания:

Email: Нажмите что бы посмотреть 

Что такое TheSlide.ru?

Это сайт презентации, докладов, проектов в PowerPoint. Здесь удобно  хранить и делиться своими презентациями с другими пользователями.


Для правообладателей

Яндекс.Метрика