Разделы презентаций


Лекция № 15 Аминокислоты, белки

Содержание

Аминокислоты — бифункциональные соединения, в молекуле которых одновременно содержатся карбоксильные и амино- группы.

Слайды и текст этой презентации

Слайд 1Лекция № 15 Аминокислоты, белки
«Жизнь есть форма существования белковых тел»
Фридрих

Энгельс
Белки – наиболее распространенные биополимеры, состоящие из аминокислот.

Лекция № 15 Аминокислоты, белки«Жизнь есть форма существования белковых тел»				Фридрих ЭнгельсБелки – наиболее распространенные биополимеры, состоящие из

Слайд 2Аминокислоты — бифункциональные соединения, в молекуле которых одновременно содержатся карбоксильные

и амино- группы.

Аминокислоты — бифункциональные соединения, в молекуле которых одновременно содержатся карбоксильные и амино- группы.

Слайд 3Несуществующая
в природе форма
Биполярный ион
(цвиттер-ион),
внутренняя соль
ОСНОВНЫЙ
ЦЕНТР
КИСЛОТНЫЙ
ЦЕНТР

Несуществующая в природе формаБиполярный ион (цвиттер-ион), внутренняя сольОСНОВНЫЙ ЦЕНТРКИСЛОТНЫЙЦЕНТР

Слайд 4pH 1 Заряд +1
pH 7 Заряд 0
pH 13 Заряд -1
Цвиттерион

(нейтральный)
Анионная форма
Катионная форма
Кислотно-основные свойства аминокислот

pH 1 Заряд +1pH 7 Заряд 0pH 13 Заряд -1Цвиттерион (нейтральный)Анионная формаКатионная формаКислотно-основные свойства аминокислот

Слайд 5 СООН СООН

Н С NH2

H2N C H

CH3 CH3
D-изомер L-изомер
Конфигурационные изомеры α аланина
(ЭНАНТИОМЕРЫ)
Конфигурационные изомеры нельзя превратить один в другой без разрыва связей
СООН			 СООНН  С  NH2	     H2N  C

Слайд 6Зеркало Венеры (1898), Edward Burne-Jones

Зеркало Венеры (1898), Edward Burne-Jones

Слайд 7Классификации аминокислот, исходя из количества карбокси- и аминогрупп (примеры)
Глицин,


моноаминомонокарбоновая
кислота
Аспаргиновая кислота,
моноаминодикарбоновая
кислота
Лизин,
диаминомонокарбоновая
кислота

Классификации аминокислот,  исходя из количества карбокси- и аминогрупп (примеры) Глицин, моноаминомонокарбоновая кислота Аспаргиновая кислота, моноаминодикарбоновая кислота

Слайд 8Классификация аминокислот по степени полярности боковых цепей
НЕПОЛЯРНЫЕ АМИНОКИСЛОТЫ (

то есть не имеющие заряда и не имеющие групп, которые

можно было бы ионизировать)



глицин -Gly

α- аланин - Ala

валин - Val

лейцин - Leu

изолейцин - ILe

Классификация аминокислот по степени полярности боковых цепейНЕПОЛЯРНЫЕ АМИНОКИСЛОТЫ  ( то есть не имеющие заряда и не

Слайд 9Неполярные ароматические, гидрокси- и серосодержащие аминокислоты
фенилаланин -Phe
метионин – Met
цистеин -

Cis
тирозин – Tir
серин - Ser
треонин - Thr

Неполярные ароматические, гидрокси- и серосодержащие аминокислоты фенилаланин -Pheметионин – Metцистеин - Cisтирозин – Tirсерин - Serтреонин -

Слайд 10Неполярные амино- и иминокислоты (триптофан -Try, пролин –Pro)

Неполярные амино- и иминокислоты (триптофан -Try, пролин –Pro)

Слайд 11полярные заряженные аминокислоты: Аминокислоты, содержащие вторую карбоксильную группу, которая может

ионизироваться и нести на себе отрицательный заряд
Аспарагиновая кислота -Asp
Глутаминовая

кислота -Glu
полярные заряженные аминокислоты:  Аминокислоты, содержащие вторую карбоксильную группу, которая может ионизироваться и нести на себе отрицательный

Слайд 12Основные аминокислоты, имеющие дополнительные амино-группы, которые несут с собой в

растворах положительный заряд
Аргинин - Arg
Гистидин - His
Лизин -Lis

Основные аминокислоты, имеющие дополнительные амино-группы, которые несут с собой в растворах положительный зарядАргинин - ArgГистидин - HisЛизин

Слайд 13Нейтральные аминокислоты – представляют собой амидные производные аспарагиновой и глутаминовой

кислот (Asn, Gln)
Аспарагин - Asp
Глутамин - Gln

Нейтральные аминокислоты – представляют собой амидные производные аспарагиновой и глутаминовой кислот (Asn, Gln)Аспарагин - AspГлутамин - Gln

Слайд 14Образование дипептидов (по принципу голова-хвост)
Аминокислота 1 (С-конец)
Аминокислота 2 (N-конец)
Дипептид

Образование дипептидов  (по принципу голова-хвост)Аминокислота 1 (С-конец)Аминокислота 2 (N-конец)Дипептид

Слайд 15СИНТЕЗ ПЕПТИДОВ И БЕЛКОВ

СИНТЕЗ ПЕПТИДОВ И БЕЛКОВ

Слайд 16ПРОСТРАНСТВЕННОЕ СТРОЕНИЕ ПОЛИПЕПТИДОВ И БЕЛКОВ
(Строение пептидной группы)

ПРОСТРАНСТВЕННОЕ СТРОЕНИЕ ПОЛИПЕПТИДОВ И БЕЛКОВ(Строение пептидной группы)

Слайд 17Классификация пептидов в зависимости от количества остатков аминокислот
1. Дипептиды (2 аминокислоты)
2.

Олигопептиды (до 10 аминокислот)
3. Полипептиды (от 11 до 100 аминокислот)
4.

Белки (свыше 100 аминокислот)
Классификация пептидов  в зависимости от количества остатков аминокислот1. Дипептиды	(2 аминокислоты)2. Олигопептиды (до 10 аминокислот)3. Полипептиды (от

Слайд 18Дипептиды, полипептиды Биологическая роль
1. Эндогенные биорегуляторы (органоспецифичны)

2. Гормоны
(более 100

гормонов)

3. Токсические пептиды

Дипептиды, полипептиды Биологическая роль1. Эндогенные биорегуляторы (органоспецифичны) 2. Гормоны (более 100 гормонов)3. Токсические пептиды

Слайд 19Дипептиды
Карнозин
(-аланил-L-гистидин)
Ансерин
(-аланил-N-метил-L-гистидин)
СТРОЕНИЕ НЕКОТОРЫХ ПЕПТИДОВ

Дипептиды Карнозин (-аланил-L-гистидин) Ансерин(-аланил-N-метил-L-гистидин) СТРОЕНИЕ НЕКОТОРЫХ ПЕПТИДОВ

Слайд 20Трипептиды
СТРОЕНИЕ НЕКОТОРЫХ ПЕПТИДОВ

Трипептиды СТРОЕНИЕ НЕКОТОРЫХ ПЕПТИДОВ

Слайд 21Трипептиды
СТРОЕНИЕ НЕКОТОРЫХ ПЕПТИДОВ

Трипептиды СТРОЕНИЕ НЕКОТОРЫХ ПЕПТИДОВ

Слайд 22Эпиталон – гормон шишковидной железы Ala-Glu-Asp-Gly (аланил-глутаминил-аспарагинил-глицин)

Эпиталон – гормон шишковидной железы  Ala-Glu-Asp-Gly (аланил-глутаминил-аспарагинил-глицин)

Слайд 24Гормоны гипофиза

Кортикотропин (адренокортикотропный гормон (АКТГ )– 39 аминокислот

ά- Меланотропин (

-меланостиму-лирующий гормон) – 18 аминокислот

Окситоцин – 9 аминокислот

Вазопрессин – 9

аминокислот



Гормоны гипофизаКортикотропин (адренокортикотропный гормон (АКТГ )– 39 аминокислотά- Меланотропин ( -меланостиму-лирующий гормон) – 18 аминокислотОкситоцин – 9

Слайд 26Нейропептиды Эндорфины мозга – это гормоны, обладающие морфиноподобным, анальгизирующим действием.

Эндорфины - собственный опий организма. Их действие связано с пептидом

(энкефалином), расположенным с N-конца молекулы эфдорфина.

СТРОЕНИЕ НЕКОТОРЫХ ПЕПТИДОВ

Нейропептиды   Эндорфины мозга – это гормоны, обладающие морфиноподобным, анальгизирующим действием.  Эндорфины - собственный опий

Слайд 27Нейропептиды
СТРОЕНИЕ НЕКОТОРЫХ ПЕПТИДОВ
Существует также группа поведенческих пептидов.
Скотофобин –

особый пептид (из 15 аминокислот), вызывающий светобоязнь.

Нейропептиды СТРОЕНИЕ НЕКОТОРЫХ ПЕПТИДОВСуществует также группа поведенческих пептидов. Скотофобин – особый пептид (из 15 аминокислот), вызывающий светобоязнь.

Слайд 28Белки-рецепторы (опиоидные)
темными кружками обозначены аминокислоты, подвергающиеся фосфорилированию посредством цАМФ-зависимых протеинкиназ

и протеинкиназы С; стрелки - места возможного гликозилирования.

Белки-рецепторы (опиоидные)темными кружками обозначены аминокислоты, подвергающиеся фосфорилированию посредством цАМФ-зависимых протеинкиназ и протеинкиназы С; стрелки - места возможного

Слайд 29Пептиды, определяющие пищевое поведение человека

Пептиды, определяющие пищевое поведение человека

Слайд 30Лептины
Лептин — гормон, регулирующий энергетический обмен.
Секретируется клетками жировой ткани. Этот

гормон участвует в регуляции энергетического обмена организма и массы тела.

Лептин часто называют гормоном насыщения.
Существует обратная связь между количеством лептина и заболеваниями сердечно-сосудистой системы.
Кроме того, высокий уровень лептина создает высокую вероятность тромбоза.
Лептин рассматривается также в качестве одного из факторов патогенеза инсулиннезависимого сахарного диабета (диабета II типа): избыток лептина приводит к подавлению секреции инсулина, вызывает резистентность ткани к его воздействию, подавляет действие инсулина на клетки печени.
Концентрация лептина играет роль физиологического сигнала о достаточности энергетических ресурсов организма для выполнения репродуктивной функции и влияет на выработку стероидных гормонов в яичниках. В период полового созревания происходит повышение концентрации лептина в крови.
ЛептиныЛептин — гормон, регулирующий энергетический обмен.Секретируется клетками жировой ткани. Этот гормон участвует в регуляции энергетического обмена организма

Слайд 31Ангиотензин I декапептид - синтезируется в печени. В мембране кровеносных

сосудов, особенно в легких под действием ферментов он превращается в

ангиотензин II. Этот октапептид является гормоном и одновременно нейромедиатором. Ангиотензин II благодаря выраженному суживающему действию на сосуды повышает кровяное давление, в почках способствует уменьшению выведения ионов Na+ и воды.
Эритропоэтин — полипептидный гормон, образуется в основном в почках и печени. Гормон контролирует дифференцировку стволовых клеток костного мозга и обеспечивает превращение их в эритроциты. Секреция эритропоэтина стимулируется при гипоксии (pO2↓).
Ангиотензин I декапептид - синтезируется в печени. В мембране кровеносных сосудов, особенно в легких под действием ферментов

Слайд 32Пептидные гормоны
В. Дю Виньо (1953 г.)
СТРОЕНИЕ НЕКОТОРЫХ ПЕПТИДОВ

Пептидные гормоны В. Дю Виньо (1953 г.)СТРОЕНИЕ НЕКОТОРЫХ ПЕПТИДОВ

Слайд 33Токсические пептиды
Пептиды пчелиного яда - продукта ядовитых желез пчелы (апамин,

мелитин, пептид 401 (МСД-пептид), адолапин, протеазные ингибиторы, секапин, терциапин и

др.)
Пептиды- токсины ядовитых грибов
Аматоксины  (35 видов) определяют токсическое действие грибов. Смертельно опасная доза составляет 0,1 мг/кг массы тела человека
Фаллотоксины - токсины бледной поганки и близких к ней видов ядовитых грибов Фаллотоксины оказывают специфическое гепатотоксическое действие.

Токсические пептидыПептиды пчелиного яда - продукта ядовитых желез пчелы (апамин, мелитин, пептид 401 (МСД-пептид), адолапин, протеазные ингибиторы,

Слайд 34Токсические пептиды
Токсины моллюсков (коннотоксины) - группа пептидов, выделенных из яда

хищных морских моллюсков рода Conus. Токсины используются моллюсками для защиты,

жертва лишается чувствительности. На основе коннотоксинов получен новый класс обезболивающих средств.
Токсины змеиного яда – нейротоксины - парализуют нервную систему жертвы.
геморрагины - разрушают эндотелий сосудов, вызывают кровоточивость, нарушающие свертывание крови, некроз тканей и дисфункцию многих органов, снижение сердечного выброса; Многие змеиные яды вызывают полиорганную недостаточность
Бактериальные токсины –например, дифтерийный токсин.
Токсические пептидыТоксины моллюсков (коннотоксины) - группа пептидов, выделенных из яда хищных морских моллюсков рода Conus. Токсины используются

Слайд 35Сывороточный фактор тимуса - нанопептид

Сывороточный фактор тимуса -  нанопептид

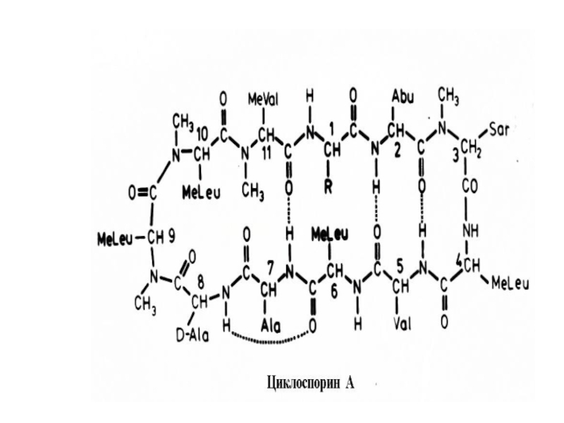
Слайд 36Грамицидин S - антибиотик, оказывающим бактериостатическое и бактерицидное действие на

стрептококки, стафилококки, пневмококки, возбудителей анаэробной инфекции и другие микроорганизмы.

Грамицидин S - антибиотик, оказывающим бактериостатическое и бактерицидное действие на стрептококки, стафилококки, пневмококки, возбудителей анаэробной инфекции и

Слайд 37Грамицидин А обладает свойством образовывать ионселективный трансмембранный канал, не уступающий

по характеристикам белковым каналам.

Грамицидин А обладает свойством образовывать ионселективный трансмембранный канал, не уступающий по характеристикам белковым каналам.

Слайд 38Валиномицин представляет собой полипептид, повышающий проницаемость мембраны для ионов калия.

Во внутренней полярной области как раз может поместиться один ион

калия.
Валиномицин представляет собой полипептид, повышающий проницаемость мембраны для ионов калия. Во внутренней полярной области как раз может

Слайд 39Актиномицин D (Дактиномицин) – один из группы противоопухолевых антибиотиков. Подавляет

точки роста, вызывает апоптоз опухолевых клеток.

Актиномицин D (Дактиномицин) – один из группы противоопухолевых антибиотиков. Подавляет точки роста, вызывает апоптоз опухолевых клеток.

Слайд 40Антимикробные пептиды – возможная альтернатива традиционным антибиотикикам
Антимикробные пептиды – это

относительно короткие молекулы (в среднем 30-40 аминокислот), способные убивать клетки

микроорганизмов.
Являются первичным эшелоном защиты от патогенов и задействованы в системе врожденного иммунитета. Открыто 800 таких пептидов.
Ряд пептидов производится собственно микроорганизмами. Например, Lactococus casea, молочнокислые бактерии – продуцирует высокоактивный пептид низин (популярная добавка ко всем «иммунизирующим» иогуртам типа Актимель)
Антимикробные пептиды – возможная альтернатива традиционным антибиотикикамАнтимикробные пептиды – это относительно короткие молекулы (в среднем 30-40 аминокислот),

Слайд 41Белки- наиболее распространенные биополимеры
Последовательность аминокислот, связанных в белке пептидными связями,

составляет его первичную структуру.

При записи первичной структуры аминокислоты обозначают обычно

трехбуквенным кодом, по первым трем буквам названия, либо используют однобуквенный код.
Белки- наиболее распространенные биополимерыПоследовательность аминокислот, связанных в белке пептидными связями, составляет его первичную структуру.При записи первичной структуры

Слайд 42Протеомика
Протеомика –наука, исследующая протеом — совокупность всех протеиновых (белковых, пептидных)

молекул, которые имеются в клетке. Рrotos означает «первый, первенствующий». В

мифологии известен бог Протей способный превращаться в любое существо и владеющий даром прорицания.
ПротеомикаПротеомика –наука, исследующая протеом — совокупность всех протеиновых (белковых, пептидных) молекул, которые имеются в клетке. Рrotos означает

Слайд 43Функции белков
1. Структурообразующие функции. Отвечают за поддержание формы клеток и

тканей ( коллаген).
Транспортные функции
(гемоглобин, трансферрин, церуллоплазмин, преальбумин, ионные

каналы, интегральные белки).
Защитные функции.
Белки имунной системы ( иммуноглобулины).
Регуляторные функции.
Гормоны (соматотропин, инсулина и др. ).
Каталитические функции. 2100 белков – ферментов (супероксиддисмутаза, каталаза, алкогольдегидрогеназа) .
Двигательные функции. Белки – отвечающие за мышечное сокращение (актин, миозин, тропомиозин).
Запасные функции. Запасные белки, которые мобилизуются при крайней необходимости (казеин).
Функции белков1. Структурообразующие функции. Отвечают за поддержание формы клеток и тканей ( коллаген). Транспортные функции (гемоглобин, трансферрин,

Слайд 44Модель строения спирали коллагена
Структурообразующие функции. Структурные белки отвечают за

поддержание формы и стабильности клеток и тканей. Например, коллаген.

Модель строения спирали коллагена Структурообразующие функции. Структурные белки отвечают за поддержание формы и стабильности клеток и тканей.

Слайд 45Система белков цитоскелета эритроцита

Система белков цитоскелета эритроцита

Слайд 47Первичная структура белка - это последователь-ность расположения амино-кислотных остатков в

полипептидной цепи,
определяется структурой ДНК.

Первичная структура белка - это последователь-ность расположения амино-кислотных остатков в полипептидной цепи, определяется структурой ДНК.

Слайд 48Вторичная структура белка - это упорядоченное строение полипептидных цепей, обусловленное

образованием водородных связей между группами С=О и N-H разных аминокислот.

Вторичная структура может быть – α- или β-спиралью и складчатой структурой.
На один виток -спирали с диаметром 10.1Å приходится 3,6 аминокислотных остатков.
Вторичная структура белка - это упорядоченное строение полипептидных цепей, обусловленное образованием водородных связей между группами С=О и

Слайд 49ПРОСТРАНСТВЕННОЕ СТРОЕНИЕ ПОЛИПЕПТИДОВ И БЕЛКОВ
(Вторичная структура – α-спираль)

ПРОСТРАНСТВЕННОЕ СТРОЕНИЕ ПОЛИПЕПТИДОВ И БЕЛКОВ(Вторичная структура – α-спираль)

Слайд 51ПРОСТРАНСТВЕННОЕ СТРОЕНИЕ ПОЛИПЕПТИДОВ И БЕЛКОВ
(Вторичная структура – β-складчатые структуры)

ПРОСТРАНСТВЕННОЕ СТРОЕНИЕ ПОЛИПЕПТИДОВ И БЕЛКОВ(Вторичная структура – β-складчатые структуры)

Слайд 52Третичная структура белка - расположение элементов вторичной структуры (альфа-спиралей) в

пространстве относительно друг друга (пространственная конформация полипептида) (формирование глобулы)

Третичная структура белка - расположение элементов вторичной структуры (альфа-спиралей) в пространстве относительно друг друга (пространственная конформация полипептида)

Слайд 53Что же заставляет белки сворачиваться?

Гидрофобные взаимодействия. Существуют полярные и

неполярные аминокислоты. В водном окружении гидрофобные (неполярные) аминокислоты прячутся внутрь

спирали, образуя структуру с минимальной потенциальной энергией.

Ионные взаимодействия. Заряженные разноименные остатки аминокислотные остатки притягиваются друг к другу, а разноименные – отталкиваюися. Наличие гидрофобных или заряженных участков в полипептидной цепи, определяет то, как белок свернется.

Ковалентные связи между остатками двух цистеинов (дисульфидные мостики), образующиеся а счет окисления аминокислоты цистеина.

Водородные связи. Участвуют все аминокислоты, имеющие гидроксильные, амидные или карбоксильные группы.

Что же заставляет белки сворачиваться? Гидрофобные взаимодействия. Существуют полярные и неполярные аминокислоты. В водном окружении гидрофобные (неполярные)

Слайд 54Третичная структура полностью задается первичной структурой белка

Определяющими являются гидрофобные взаимодействия

аминокислот в силу их многочисленности. Гидрофобное ядро существует у большинства

белков.

На поверхности третичной структуры белка находятся, как правило –SH –группы цистеина.
Третичная структура полностью задается первичной структурой белкаОпределяющими являются гидрофобные взаимодействия аминокислот в силу их многочисленности. Гидрофобное ядро

Слайд 55ПРОСТРАНСТВЕННОЕ СТРОЕНИЕ ПОЛИПЕПТИДОВ И БЕЛКОВ
(Третичная структура)
НЕПОЛЯРНЫЕ ФРАГМЕНТЫ МОЛЕКУЛЫ ПРЯЧУТСЯ ВНУТРЬ

ГЛОБУЛЫ

ПРОСТРАНСТВЕННОЕ СТРОЕНИЕ ПОЛИПЕПТИДОВ И БЕЛКОВ(Третичная структура)НЕПОЛЯРНЫЕ ФРАГМЕНТЫ МОЛЕКУЛЫ ПРЯЧУТСЯ ВНУТРЬ ГЛОБУЛЫ

Слайд 56ИОННЫЕ ВЗАИМОДЕЙСТВИЯ ПРИ ОБРАЗОВАНИИ ТРЕТИЧНОЙ СТРУКТУРЫ ПОЛИПЕПТИДОВ И БЕЛКОВ
(Третичная структура)

ИОННЫЕ ВЗАИМОДЕЙСТВИЯ ПРИ ОБРАЗОВАНИИ ТРЕТИЧНОЙ СТРУКТУРЫ ПОЛИПЕПТИДОВ И БЕЛКОВ(Третичная структура)

Слайд 57Механизм образования дисульфидных мостиков при окислении остатков цистеина

Механизм образования дисульфидных мостиков при окислении остатков цистеина

Слайд 58Структура инсулина (дисульфидные мостики между цепями)

Структура инсулина (дисульфидные мостики между цепями)

Слайд 59Образование водородных связей между карбонильной и амидной группами

Образование водородных связей между карбонильной и амидной группами

Слайд 61 Белок при попадании в водный раствор принимает ту конформацию, в

которой он должен работать. Если в первичной структуре белков имеются

нарушения, то белки сворачиваются неправильно, то это может иметь катастро-фические последствия.
Белок при попадании в водный раствор принимает ту конформацию, в которой он должен работать. Если в

Слайд 62ПРИОННЫЕ БЕЛКИ
(Болезнь -коровье бешенство - губчатая энцефалопатия)
Только в Англии

в 2005 г. было уничтожено 12 млн., в 2008 –

4 млн. коров.
Коровье бешенство вызывается не вирусом и не бактерией, а особым клеточным агентом – неправильно свернутым белком.
Это происходит потому, что белки, которые в норме в клетке взаимодействовали бы с этим белком, не могут этого сделать, так как он свернут неправильно, и поэтому клетка начинает неправильно функционировать.

ПРИОННЫЕ БЕЛКИ(Болезнь -коровье бешенство - губчатая энцефалопатия) Только в Англии в 2005 г. было уничтожено 12 млн.,

Слайд 63У людей есть аналог болезни коровьего бешенства. Это заболевание куру.

Болезнь описана у народов, имеющих привычку съедать мозги умерших предков

(из уважения к последним). В них как раз и находились инфек-ционные белки.
В связи с этим опытом чело-век всегда хоронит умерших (родственников, друзей и даже врагов).

У людей есть аналог болезни коровьего бешенства. Это заболевание куру. 		Болезнь описана у народов, имеющих привычку съедать

Слайд 64Серповидно-клеточная анемия как пример влияния первичной структуры на третичную и

четвертичную.
Известны наследственные заболевания, обусловленные мутацией по 1 или 2

аминокислотам.

В эритроцитах содержится гемоглобин - комплекс белка глобина с небелковой железосодержащей частью - гемом.
Глобин состоит из двух альфа- и двух бета- полипептидных цепей. В белковой части глобина 574 аминокислоты, в результате мутации заменяется 2 аминокислоты.
Такой гемоглобин теряет растворимость, образуется волокнистый осадок, деформирующий эритроцит.

Дети - рецессивные гомозиготы по такому аллелю не доживают до двух лет (в популяции – 25%). У гетерозигот 85% нормальных и 15% дефектных эритроцитов.
Серповидно-клеточная анемия как пример влияния первичной структуры на третичную и четвертичную.  Известны наследственные заболевания, обусловленные мутацией

Слайд 65РНК-полимераза

РНК-полимераза

Слайд 66ПРОСТРАНСТВЕННОЕ СТРОЕНИЕ ПОЛИПЕПТИДОВ И БЕЛКОВ
(Четвертичная структура гемоглобина)
Гемоглобин

ПРОСТРАНСТВЕННОЕ СТРОЕНИЕ ПОЛИПЕПТИДОВ И БЕЛКОВ(Четвертичная структура гемоглобина)Гемоглобин

Слайд 67Первичная структура белка аполипопротеина Е, он занимается транспортом холестерина.

Однобуквенным кодом записана последовательность аминокислот

Первичная структура белка аполипопротеина Е, он занимается транспортом холестерина.   Однобуквенным кодом записана последовательность аминокислот

Слайд 68Известна мутация в этом белке, которая меняет заряд одной аминокислоты.

В результате меняются ионные взаимодействия внутри молекулы белка. Это меняет

сродство белка к липидам разных классов.
Известна мутация в этом белке, которая меняет заряд одной аминокислоты. В результате меняются ионные взаимодействия внутри молекулы

Слайд 69Функция аполипопротеида заключается в переносе липидов и холестерина.
У

людей с такой мутацией более высокий уровень холестерина и выше

уровень риска развития старческого слабоумия.
Примерно у 15% европейцев и американцев отмечается такая мутация, у бушменов же это число достигает 40%, но старческого слабоумия у них не бывает, так как у них низко холестериновая диета и много физических нагрузок. У людей же с западной «диетой» - проявляются последствия мутации - возникает гиперхолестеринемия.
Функция аполипопротеида заключается в переносе липидов и холестерина. У людей с такой мутацией более высокий уровень холестерина

Слайд 70 Структуры белка

Структуры белка

Слайд 71Кристаллы различных белков, выращенные на космической станции «Мир» и во

время полётов шаттлов НАСА. Высокоочищенные белки при низкой температуре образуют

кристаллы, которые используют для получения модели данного белка.
Кристаллы различных белков, выращенные на космической станции «Мир» и во время полётов шаттлов НАСА. Высокоочищенные белки при

Слайд 72
Расшифровка белка- крайне трудоемкий процесс. На расшифровку гемоглобина потребовалось 26

лет.
В настоящее время ежегодно расшифровывают 60-70 белков, на это

тратится 80-90 млд. долларов и усилия многих химиков, биохимиков и молекулярных биологов.
Изучая первичную структуру белков можно определить участок ДНК, кодирующий определенный белок.
Расшифровка белка- крайне трудоемкий процесс. На расшифровку гемоглобина потребовалось 26 лет. В настоящее время ежегодно расшифровывают 60-70

Обратная связь

Если не удалось найти и скачать доклад-презентацию, Вы можете заказать его на нашем сайте. Мы постараемся найти нужный Вам материал и отправим по электронной почте. Не стесняйтесь обращаться к нам, если у вас возникли вопросы или пожелания:

Email: Нажмите что бы посмотреть 

Что такое TheSlide.ru?

Это сайт презентации, докладов, проектов в PowerPoint. Здесь удобно  хранить и делиться своими презентациями с другими пользователями.


Для правообладателей

Яндекс.Метрика