Разделы презентаций


Применение маркеров цитогенетического анализа в БИОЛОГИЧЕСКой ДОЗИМЕТРИи ПРИ

В настоящее время проведен сравнительный анализ нескольких математических моделей для построения калибровочных кривых при -облучении 60Со в диапазоне доз 5500 Р лимфоцитов человека в культуре. Получены калибровочные кривые для трех основных

Слайды и текст этой презентации

Слайд 1Применение маркеров цитогенетического анализа в БИОЛОГИЧЕСКой ДОЗИМЕТРИи ПРИ РАВНОМЕРНОМ ВНЕШНЕМ

ОБЛУЧЕНИИ ОРГАНИЗМА
Доцент кафедры экологической медицины МГЭИ
им. Сахарова БГУ к.б.н.

Николаевич Л.Н.

Применение маркеров цитогенетического анализа в БИОЛОГИЧЕСКой ДОЗИМЕТРИи ПРИ РАВНОМЕРНОМ ВНЕШНЕМ ОБЛУЧЕНИИ ОРГАНИЗМА Доцент кафедры экологической медицины МГЭИ

Слайд 2В настоящее время проведен сравнительный анализ нескольких математических моделей для

построения калибровочных кривых при -облучении 60Со в диапазоне доз 5500

Р лимфоцитов человека в культуре. Получены калибровочные кривые для трех основных цитогенетических показателей: процента аберрантных клеток, общего числа аберраций хромосом и суммы дицентриков и колец. Калибровочные кривые по первым двум данным показателям позволяют регистрировать дозу радиации в диапазоне 15400 Р с ошибкой, не превышающей 40% при небольших дозах и 20% при высоких дозах излучения.
В настоящее время проведен сравнительный анализ нескольких математических моделей для построения калибровочных кривых при -облучении 60Со в

Слайд 3Общие требования к построению калибровочных кривых выхода хромосомных аберраций
1. Характеристика

исходного материала. Принцип метода биологи­ческой дозиметрии основывается на получении калибровочных

(дозовых) кривых частоты хромосомных аберраций при облучении in vitro лимфоцитов периферической крови человека. В данном случае лимфоциты периферической крови разных доноров обоего пола в возрасте 2040 лет были подвергнуты гаммаоблучению 60Со в диапа­зоне доз 5500 р при мощности дозы 3545 р/мин. Облучение клеток производилось перед началом культивированием в питательной среде (без добавления ФГА) Методики культиви­рования лимфоцитов, приготовления препаратов и анализа аберраций хромосом соответствовали общепринятым.
Общие требования к построению калибровочных кривых выхода хромосомных аберраций1. Характеристика исходного материала. Принцип метода биологи­ческой дозиметрии основывается

Слайд 42. Цитогенетические показатели, используемые для построения калибровочных кривых. Обычно для

биологической дозиметрии используют частоту дицентрических и кольцевых хромосом, в виду

более легкой их идентификации. Однако с помощью этих типов абер­раций возможна оценка сравнительно больших доз радиации, посколь­ку при невысоких уровнях облучения частота дицентриков и колец слишком незначительна, чтобы служить основой биологической дози­метрии. В связи с этим, наряду с частотой дицентриков и колец, для построения калибровочных кривых используют два дополнительных цитогенетических теста  общую частоту аберраций хромосом и процент аберрантных клеток. Первый из них позволяет оценивать дозу радиации при достаточно низких уровнях облучения, а простота регистрации второго теста позволяет применить машинный анализ при кариологическом исследовании.
2. Цитогенетические показатели, используемые для построения калибровочных кривых. Обычно для биологической дозиметрии используют частоту дицентрических и кольцевых

Слайд 53. Выбор адекватной математической модели для построения калибровочных кривых. При

построении калибровочных кривых важным моментом является выбор математико-статистической мо­дели. Такая

модель должна быть адекватной исходным эксперимен­тальным данным, давать несмещенные (истинные) оценки дозы облу­чения и «работать» в достаточно широком диапазоне доз. При статис­тическом анализе экспериментальных данных обна­ружено, что из применяемых в настоящее время математических мо­делей при описании зависимости цитогенетического эффекта от дозы радиации (линейной, квадратичной, линейно-квадратичной и степенной), лучше всего этим требованиям для всех трех выше указанных цитогенетических показателей отвечает линейно-квадратичная модель:
У= + D + сD2 /1/
где У  исследуемый цитогенетический показатель; D  доза облуче­ния; , , с  параметры модели. Поэтому при построении калибро­вочных кривых для целей биологической дозиметрии по трем цитоге­нетическим тестам : общей частоте аберраций хромосом, суммарной частоте дицентрических и кольцевых хромосом и проценту аберрант­ных клеток, необходимо пользоваться линейно-квадратичной зависимостью эффекта от дозы.
3. Выбор адекватной математической модели для построения калибровочных кривых. При построении калибровочных кривых важным моментом является выбор

Слайд 64. Взвешивание данных для каждой величины дозы радиации при построении

калибровочных кривых и оценка параметров модели. При сравнении средних значений

исследуемых цитогенетических показате­лей по повторностям опытов для каждой из доз облучения отмечалась значительная их вариабельность, при этом гетерогенность по дисперсиям достигла двух-трех порядков. Поэтому необходимым и обязательным условием получения несмещенных (истинных) оценок параметров калибровочных кривых является взвешивание данных для каждой величины дозы, причем делать это надо не по усредненным по повторностям данным, а по фактическим результатам отдельных опытов.
В таблице 5.1. приведены расчетные значения (со стандартными ошиб­ками) параметров линейно-квадратичной модели, описывающей экспериментальные данные по всем трем исследованным цитогенетическим показателям.
Для целей биологической дозиметрии калибровочные кривые должны основываться на результатах многих опытов, так как имеется вариабельность в частоте хромосомных аберраций, обусловленная индивидуальными разли­чиями доноров, условиями культивирования лимфоцитов и т. д.
При расчете доверительных интервалов следует использовать текущие значения дисперсии, оцененные методом кусочнолинейной аппроксимации для каждой градации дозы. Это является важным условием при определении точности биологической дозиметрии, особенно при ее сопоставлении с физическими методами дозиметрии.
4. Взвешивание данных для каждой величины дозы радиации при построении калибровочных кривых и оценка параметров модели. При

Слайд 7Таблица 5.1.
Расчетные значения параметров калибровочных кривых
(со стандартными отклонениями) для

линейно-квадратичной модели
(Данные Севанькаева А. В., Насонова А. П., 1978)

Таблица 5.1.Расчетные значения параметров калибровочных кривых (со стандартными отклонениями) для линейно-квадратичной модели(Данные Севанькаева А. В., Насонова А.

Слайд 85. Калибровочные кривые, рекомендуемые для целей биологиче­ской дозиметрии при относительно

равномерном облучении человека.
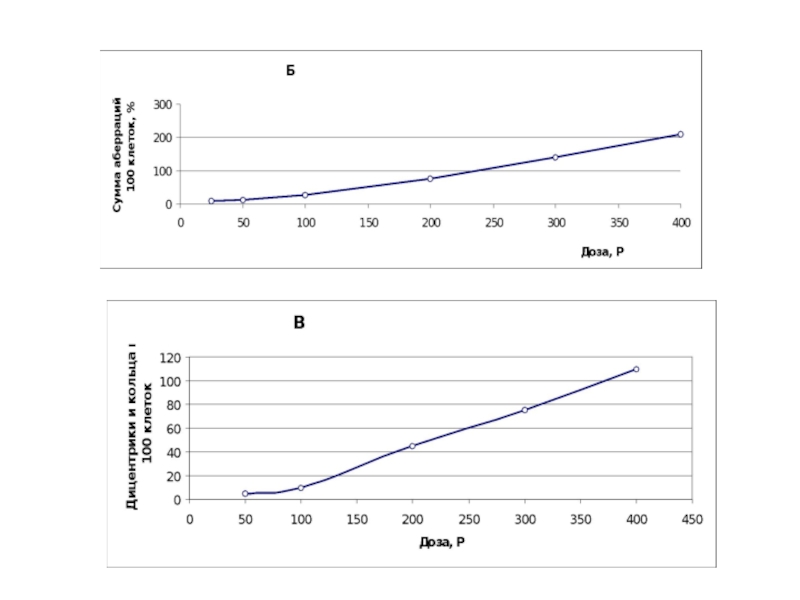
Рис. 5.1 Калибровочные кривые для оценки поглощенной

дозы по цитогенетическим показателям: проценту аберрантных клеток (А), общему числу аберраций хромосом (Б) и сумме дицентриков и колец (В).

5. Калибровочные кривые, рекомендуемые для целей биологиче­ской дозиметрии при относительно равномерном облучении человека. Рис. 5.1 Калибровочные кривые

Слайд 10На рис. 5.1. представлены калибровочные кривые по трем основным цитогенети­ческим показателям:

проценту аберрант­ных клеток, общей частоте аберраций хромосом и суммарной частоте

дицентрических и кольцевых хромосом.
Анализ калиб­ровочных кривых показывает, что уверенная регистрация дозы облучения с помощью указанных цитогенетических показателей возмож­на в диапазоне доз 15400 р. При этом видно, что в качестве теста оцениваемой дозы лучше всего подходят показатели процента аберрантных клеток и суммарное число аберраций хромосом. Эти два цитогенети­ческих значения (особенно процент аберрантных клеток) во всем диапазоне доз имеют вполне приемлемую точность в оценке дозы ра­диации. По проценту аберрантных клеток с 95%-ным доверительным интервалом возможна регистрация дозы облучения с ошибкой, не превышающей 40% при дозе 50 р, 30% при 100 р, 20% при 200 р, 15% при 300 р и 20% при 400 р.
Точность же оценки дозы радиации по дицентрикам и кольцам сказалась почти в два раза ниже по сравнению с двумя предыдущими тестами, а диапазон уверенной регистрации доз облучения меньше (50300 р).
Следует указать еще на один недостаток оценки дозы облучения только по дицентрикам и кольцам. Как показывают наши собственные, а также литературные данные при облучении лимфоцитов в дозах ниже 50 р частота аберраций этого типа слишком незначитель­на, чтобы служить основой биологической дозиметрии. Поэтому при построении калибровочных кривых для целей биологической дозиметрии не следует ограничиваться анализом только дицентриков и ко­лец, как это обычно до сих пор делалось. Необходимо одновременно учитывать несколько показателей, а именно, процент аберрантных клеток и суммарное число аберраций хромосом, тем более, что регистрация дозы по этим двум показателям значительно точнее и охватывает более широкий диапазон доз. К тому же, дифференциальный учет аберрантной и неаберрантной клеток является наиболее простым, что позволяет применить машинный анализ при цитогенетическом исследовании.

На рис. 5.1. представлены калибровочные кривые по трем основным цитогенети­ческим показателям: проценту аберрант­ных клеток, общей частоте аберраций хромосом

Слайд 11Пример расчета дозы гамма-облучения по рекомендуемым калибровочным кривым
При цитогенетическом анализе

облученных in vitro лимфоцитов периферической крови человека получены следующие данные:

частота аберрантных клеток — 58%, общее число аберраций хромосом на 100 клеток — 91, сумма дицентриков и колец на 100 клеток — 56.
На графиках А, Б и В по оси ординат откладываем соответственно приведенные выше значения цитогенетических показателен. Из получен­ных точек проводятся параллельно оси абсцисс линии до пересечения с калибровочной кривой и линиями доверительных интервалов. Из точек пересечения опускаем перпендикуляры к оси абсцисс. Точка пере­сечения перпендикуляра от калибровочной кривой дает среднее значение полученной дозы гаммаоблучения, а точки пересечения перпендикуляров от линий доверительных интервалов  минимально и мак­симально возможные значения этой дозы (с вероятностью 95%).
Для конкретного примера доза гамма-облучения, оценен­ная по каждой из трех калибровочных кривых, составляет: по про­центу аберрантных клеток — 238 р (минимум — 190, максимум — 286); по суммарной частоте аберраций хромосом — 230 р (минимум — 185, максимум — 285); по сум­марной частоте дицентриков и колец — 240 р (минимум — 184, максимум — 325).
Пример расчета дозы гамма-облучения по рекомендуемым калибровочным кривымПри цитогенетическом анализе облученных in vitro лимфоцитов периферической крови человека

Слайд 12Литература
1. Севанькаев А. В., Насонов А. П. Калибровочные дозовые кривые

хро-мосомных аберраций человека // Мед. радиология. 1978. Т. 13, №

6. С. 26-33.
2. Севанькаев А. В., Насонов А. П. Применение анализа хромосомных аберраций в лимфоцитах периферической крови человека для биологической дозиметрии. /Радиация и организм. Под ред. Е. К. Жербина. - Обнинск, 1975. С. 93-94.
3. Шевченко В. А., Акаева Э. А., Елисеева И. М. И др. Использование метода биологической дозиметрии в условиях аварии на ЧАЭС. /Проблемы безопасности в чрезвычайных ситуациях. - М., 1990, Вып. 12. С. 69-90.

Литература1. Севанькаев А. В., Насонов А. П. Калибровочные дозовые кривые хро-мосомных аберраций человека // Мед. радиология. 1978.

Обратная связь

Если не удалось найти и скачать доклад-презентацию, Вы можете заказать его на нашем сайте. Мы постараемся найти нужный Вам материал и отправим по электронной почте. Не стесняйтесь обращаться к нам, если у вас возникли вопросы или пожелания:

Email: Нажмите что бы посмотреть 

Что такое TheSlide.ru?

Это сайт презентации, докладов, проектов в PowerPoint. Здесь удобно  хранить и делиться своими презентациями с другими пользователями.


Для правообладателей

Яндекс.Метрика