Разделы презентаций


Тема 6

Содержание

Межличностные отношения – система установок, ориентаций и ожиданий членов группы относительно друг друга, обусловленных содержанием и организацией совместной деятельности и ценностями, на которое это общение опирается. 

Слайды и текст этой презентации

Слайд 1Тема 6.
Межличностные отношения

Тема 6.Межличностные отношения

Слайд 2Межличностные отношения – система установок, ориентаций и ожиданий членов группы

относительно друг друга, обусловленных содержанием и организацией совместной деятельности и

ценностями, на которое это общение опирается. 
Межличностные отношения – система установок, ориентаций и ожиданий членов группы относительно друг друга, обусловленных содержанием и организацией

Слайд 3Виды межличностных отношений
Формальные (официальные) отношения – нормативно предусмотренные взаимоотношения, закрепленные в официальных документах.
Неформальные (неофициальные) отношения –

взаимоотношения, которые реально складываются при взаимоотношениях между людьми и проявляются

в предпочтениях, симпатиях или антипатиях, взаимных оценках, авторитете и т.д.

Виды межличностных отношенийФормальные (официальные) отношения – нормативно предусмотренные взаимоотношения, закрепленные в официальных документах.Неформальные (неофициальные) отношения – взаимоотношения, которые реально складываются при взаимоотношениях между

Слайд 4Виды межличностных отношений
В. Г.Крысько, выделяет следующие виды межличностных отношений: отношения знакомства, приятельские,

товарищеские, дружеские, любовные, супружеские, родственные, деструктивные отношения.
Данная классификация основана

на нескольких критериях: глубине отношений, степени избирательности в выборе партнеров, функциях отношений.
Виды межличностных отношенийВ. Г.Крысько, выделяет следующие виды межличностных отношений: отношения знакомства, приятельские, товарищеские, дружеские, любовные, супружеские, родственные, деструктивные отношения.

Слайд 5Понятие аттитюда (социальной установки)
Аттитюд - эмоционально окрашенное отношение, нередко безотчетное, к

каким-либо людям или явлениям, порождающее определенное поведение по отношению к

ним; приблизительный синоним — социальная установка
Понятие аттитюда  (социальной установки)Аттитюд - эмоционально окрашенное отношение, нередко безотчетное, к каким-либо людям или явлениям, порождающее определенное

Слайд 6Функции социальной установки:
Приспособительная (аттитюд направляет человека к тем объектам, которые

служат достижению его целей).
Функция знания (упрощенное указание относительно способа поведения).
Функция

выражения (средство освобождения от внутреннего напряжения, выражение себя как личности).
Функция защиты (разрешение внутреннего конфликта личности).
Функции социальной установки:Приспособительная (аттитюд направляет человека к тем объектам, которые служат достижению его целей).Функция знания (упрощенное указание

Слайд 7Позитивные межличностные отношения («навстречу людям»)
Любовь – наиболее сложный вид межличностных отношений,

выражающийся в высокой степени эмоционального положительного отношения к объекту, который

выделяется среди других и помещается в центр жизненных интересов субъекта.
Близость – тип межличностных отношений двух людей, выражающийся во взаимно приспособительном поведении, направленном на достижение взаимного удовлетворения и чувства безопасности своего положения;
Дружба – это устойчивые индивидуально-избирательные межличностные отношения, характеризующиеся взаимной привязанностью участников, стремлением быть в обществе других людей, взаимными ожиданиями ответных чувств и предпочтительности. Она строится на взаимопонимании, доверии, активной взаимопомощи, взаимном интересе, искренности и бескорыстности чувств.
Приятельские отношения – малоустойчивые, не глубокие, но доброжелательные отношения;

Позитивные межличностные отношения («навстречу людям»)Любовь – наиболее сложный вид межличностных отношений, выражающийся в высокой степени эмоционального положительного отношения

Слайд 8Нейтральные межличностные отношения («от людей»)
Аутизм (отчуждение) – уход индивида от контактов

с окружающей действительностью и погружение в мир собственных переживаний.
Безразличие –

форма межличностных отношений, проявляющаяся в неоказании помощи пострадавшим и нуждающимся. Зависит от таких факторов, как:
-«Эффект очевидца» – помощь оказывается реже при наличии очевидцев;
-Неопределенность ситуации;
-Личное незнакомство с пострадавшим;
-Личностные, прежде всего статусные, характеристики пострадавшего – люди с высоким статусом быстрее получают помощь;
-Эмоциональные состояния, такие как гнев, ярость, злость, страх, депрессия, печаль препятствуют сопереживанию и оказанию помощи;
-Личностные черты.
Конформизм – форма межличностных отношений, проявляющаяся в соглашательстве и примиренчестве.
Эгоизм – форма межличностных отношений, проявляющаяся в стремление удовлетворить свои потребности за счет других.

Нейтральные межличностные отношения («от людей»)Аутизм (отчуждение) – уход индивида от контактов с окружающей действительностью и погружение в мир

Слайд 9Негативные межличностные отношения («против других»)
Негативизм – это своеобразная форма межличностных отношений,

проявляющаяся в немотивированном, отрицательном поведении, противоположном требованиям и ожиданиям.
Неприязнь к

другим – негативное отношение к людям, которая может проявляться в дискриминации, расизме и т.д.
Ненависть – стойкий форма межличностных отношений, проявляющаяся в активном негативном чувстве субъекта, направленном на явления, противоречащие его потребностям, убеждениям, ценностям.
Агрессия – форма межличностных отношений, проявляющаяся в поведении, направленном на нанесении физического или психологического вреда, ущерба людям или на их уничтожение.

Негативные межличностные отношения («против других»)Негативизм – это своеобразная форма межличностных отношений, проявляющаяся в немотивированном, отрицательном поведении, противоположном требованиям

Слайд 10Понятие аттракции
Процесс предпочтения одних людей другим, взаимного притяжения между людьми,

взаимной симпатии получил название «межличностная аттракция» (от английского attract –

привлекать, притягивать, пленять, прельщать).

Понятие аттракцииПроцесс предпочтения одних людей другим, взаимного притяжения между людьми, взаимной симпатии получил название «межличностная аттракция» (от

Слайд 11Факторы аттракции
Внешние (не связанные непосредственно с процессом взаимодействия): степень выраженности

у человека потребности в аффилиации; эмоциональное состояние партнеров по общению;

пространственная близость.
Внутренние (межличностные детерминанты): физическая привлекательность партнеров по общению; демонстрируемый стиль общения; фактор сходства между партнерами по общению; фактор дополнения; выражение личного отношения к партнеру в процессе общения (фактор поддержки).

Факторы аттракцииВнешние (не связанные непосредственно с процессом взаимодействия): степень выраженности у человека потребности в аффилиации; эмоциональное состояние

Слайд 12Факторы аттракции
Аффилиация – это потребность создавать и поддерживать удовлетворительные отношения

с другими людьми, желание нравиться, привлекать внимание, интерес, чувствовать себя

ценным и значимым.
Факторы аттракцииАффилиация – это потребность создавать и поддерживать удовлетворительные отношения с другими людьми, желание нравиться, привлекать внимание,

Слайд 13Факторы аттракции
Эмоциональное состояние.
Экспериментально установлено, что человек, переживающий положительные эмоции, чаще

и позитивно смотрит на других людей, проявляет к ним интерес.

Для человека с негативным настроением, люди либо вообще не существуют (он их не видит), любо на окружающих переносится его негативное состояние.

Факторы аттракцииЭмоциональное состояние.Экспериментально установлено, что человек, переживающий положительные эмоции, чаще и позитивно смотрит на других людей, проявляет

Слайд 14Факторы аттракции
Пространственная близость: при прочих равных условиях, чем ближе пространственно

находятся люди друг к другу, тем вероятнее их взаимная привлекательность.



Факторы аттракцииПространственная близость: при прочих равных условиях, чем ближе пространственно находятся люди друг к другу, тем вероятнее

Слайд 15Факторы аттракции
Физическая привлекательность:
Взгляды на красоту субъективны.
В основе предпочтения красивых

или некрасивых людей лежит не столько стремление в выборе партнера

по общению самого красивого человека, сколько прогноз его реакций на себя. То есть, если человек уверен в себе, он выбирает наиболее красивых людей из возможных, а при отсутствии уверенности ориентируется на средний или даже низкий уровень физической привлекательности.
Тем не менее, красота оказывает влияние на межличностную аттракцию. По данным многочисленных исследований, красивая внешность обеспечивает мальчикам и девочкам более высокую популярность, начиная уже с четырех лет.

Факторы аттракцииФизическая привлекательность:Взгляды на красоту субъективны. В основе предпочтения красивых или некрасивых людей лежит не столько стремление

Слайд 16Факторы аттракции
Важным фактором межличностной аттракции является манера поведения в общении.

Общение с одними людьми приносит нам большее наслаждение, чем с

другими. Те, кто проявляют щедрость, великодушие, энтузиазм, нежность, живость, коммуникабельность, решительность, как правило, нравятся больше. Кто не демонстрирует данных черт воспринимают как скупых, холодных, апатичных, «агрессивно-эгоцентричных» или чересчур робких.

Факторы аттракцииВажным фактором межличностной аттракции является манера поведения в общении. Общение с одними людьми приносит нам большее

Слайд 17Факторы аттракции
Фактор сходства.
Нам нравятся, и мы скорее нравимся людям, которые

похожи на нас, и напротив, нам не нравятся, и мы

не нравимся людям, отличающимся от нас.
Можно выделить некоторые факторы усиливающие воздействие сходства на аттракцию:
число вопросов, по которым люди достигают согласия;
важность, значимость тех или иных взглядов;
взаимность.

Факторы аттракцииФактор сходства.Нам нравятся, и мы скорее нравимся людям, которые похожи на нас, и напротив, нам не

Слайд 18Факторы аттракции
Дополнение.
Теорию, подчеркивающую различия, а не сходство между людьми

как основу межличностной аттракции, предложил американский психолог Р. Винч, назвав ее

теорией дополняющих потребностей.
Ее основное положение можно сформулировать так: при отборе брачных партнеров и даже друзей мы чаще выбирает тех, кто удовлетворяет наши потребности, а максимальное удовлетворение имеют место тогда, когда два человека скорее имеют дополняющие, а не сходные потребности.

Факторы аттракцииДополнение. Теорию, подчеркивающую различия, а не сходство между людьми как основу межличностной аттракции, предложил американский психолог

Слайд 19Факторы аттракции
Говоря о факторе поддержки, имеют ввиду выражение личного отношения

к партнеру.
Аттракция возникает в ответ на положительные действия, неприязнь –

на отрицательные. Мы с большей вероятностью будем положительно относиться к тем людям, которые нас хвалят, любят, сотрудничают с нами, чем к тем, кто нас критикует, ненавидит или является нашим конкурентом.

Факторы аттракцииГоворя о факторе поддержки, имеют ввиду выражение личного отношения к партнеру.Аттракция возникает в ответ на положительные

Слайд 20Понятия «социальный статус» и «социальная роль»
Социальный статус - положение индивида

или группы в социальной системе, имеющее специфические для данной системы

признаки. Каждый социальный статус обладает определенным «психологическим весом», престижем (предписанные, достигаемые, смешанные, личные, профессиональные, экономические, политические, демографические, религиозные и кровно-родственные и др.)
Понятия «социальный статус» и «социальная роль»Социальный статус - положение индивида или группы в социальной системе, имеющее специфические

Слайд 21Понятия «социальный статус» и «социальная роль»
Роль (франц. role) - образ,

воплощенный актером.
Социальная роль - это поведение, ожидаемое от того, кто

имеет определенный социальный статус. Социальные роли - это совокупность требований, предъявляемых индивиду обществом, а также действий, которые должен выполнить человек, занимающий данный статус в социальной системе.

Понятия «социальный статус» и «социальная роль»Роль (франц. role) - образ, воплощенный актером.Социальная роль - это поведение, ожидаемое

Слайд 22Теория транзактного анализа общения Э. Берна
Транзактный анализ (от лат. transactio — сделка и греч. analysis — разложение,

расчленение) — психотерапевтическая методика группового и личностного роста, предложенная американским

психологом и психиатром Эриком Берном. Этот метод психотерапии основан на процедуре анализа структуры личности.
Теория транзактного анализа общения Э. БернаТранзактный анализ (от лат. transactio — сделка и греч. analysis — разложение, расчленение) — психотерапевтическая методика группового и личностного

Слайд 23Эго-состояния (Э.Берн):
-Ребенок – источник желаний, потребностей, эмоции. Радость, интуиция, творчество,

фантазия, любознательность, спонтанность, активность. Страхи, капризы, недовольство. Вся психическая энергия.

Ранние детские переживания, реакции. (послушный и бунтующий).
-Взрослый – необходим для выживания Ребенка. Что желает Р-В выполняет. Контролирует Р и Род. Воспринимает реальность, получение объективной информации, организованный, приспособленный, находчивый, спокойный. Без эмоций.
-Родитель – установки и поведение, перенятое от родителей или других источников извне. Предубеждения, критическое или заботливое поведение, роль реального родителя. Автоматические реакции и решения. Сохранение традиций и норм. (заботливый и критикующий).

Эго-состояния (Э.Берн):-Ребенок – источник желаний, потребностей, эмоции. Радость, интуиция, творчество, фантазия, любознательность, спонтанность, активность. Страхи, капризы, недовольство.

Слайд 27Понятие транзакции
Транзакция имеет место тогда, когда я предлагаю вам какой-то

вид коммуникации (общения), а вы отвечаете мне. Начало коммуникации называется стимулом, ответ

— реакцией.
Берн считал транзакцию «основной единицей социального взаимодействия». Общение между людьми всегда принимает форму подобных цепочек транзакций.
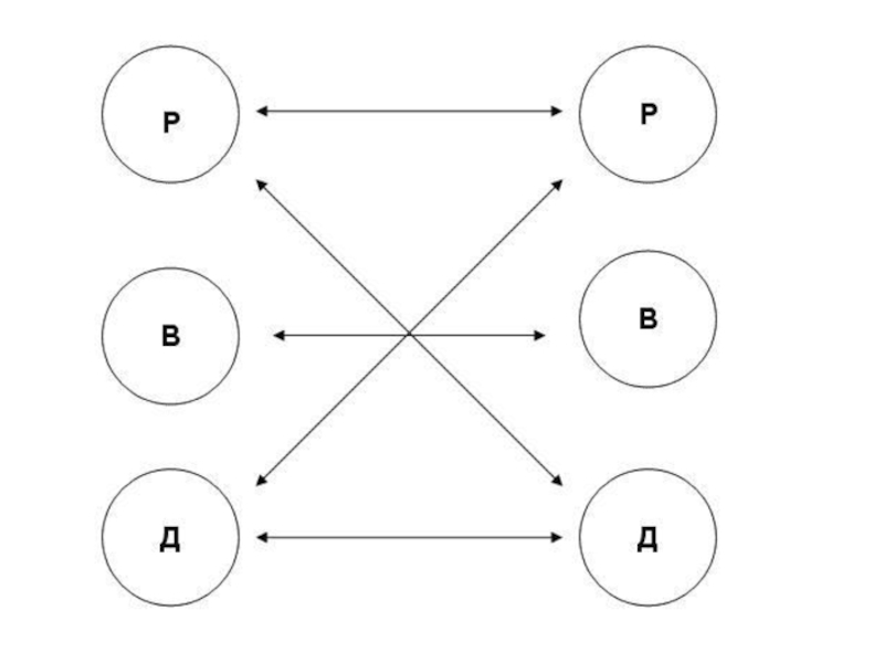
Транзакции бывают параллельные (дополняющие), пересекающиеся и скрытые. 
Понятие транзакцииТранзакция имеет место тогда, когда я предлагаю вам какой-то вид коммуникации (общения), а вы отвечаете мне. Начало коммуникации

Слайд 30Структурирование времени
 При встречах людей в группах или парах существует всего

шесть различных способов проводить свое время.
Эрик Берн дал следующие

определения этим шести видам структурирования времени: уход, ритуалы, времяпрепровождение, деятельность, игры, близость. 

Структурирование времени При встречах людей в группах или парах существует всего шесть различных способов проводить свое время. Эрик

Слайд 31Структурирование времени
Ритуалы - привычные, повторяющиеся действия, не несущие смысловой нагрузки:
неформальный

характер (приветствия, благодарности)
официальный (дипломатический этикет)
Цель этого типа общения - возможность

провести время совместно, но не сближаясь.

Структурирование времениРитуалы - привычные, повторяющиеся действия, не несущие смысловой нагрузки:неформальный характер (приветствия, благодарности)официальный (дипломатический этикет)Цель этого типа

Слайд 32Структурирование времени
Времяпрепровождения - полуритуальные разговоры о проблемах и событиях, известных

всем. Оно всегда социально запрограммировано: говорить можно лишь в определенном

стиле и только на допустимые темы.
Цель этого типа общения - структурирование времени не только ради поддержания приятельских отношений, но отчасти социальный отбор, когда человек ищет новые полезные знакомства.

Структурирование времениВремяпрепровождения - полуритуальные разговоры о проблемах и событиях, известных всем. Оно всегда социально запрограммировано: говорить можно

Слайд 33Структурирование времени
Игры - наиболее сложный тип общения, т.к. в играх

каждая сторона неосознанно старается достичь превосходства над другой и получить

вознаграждение. Особенность игр - скрытая мотивация их участников.

Структурирование времениИгры - наиболее сложный тип общения, т.к. в играх каждая сторона неосознанно старается достичь превосходства над

Слайд 34Структурирование времени
Совместная деятельность - взаимодействие между людьми на работе, целью

является эффективное выполнение поставленной задачи.
Близость - свободное от игр общение,

предполагающее теплое заинтересованное отношение между людьми, исключающее извлечение выгоды.

Структурирование времениСовместная деятельность - взаимодействие между людьми на работе, целью является эффективное выполнение поставленной задачи.Близость - свободное

Слайд 35Сценарий жизни
В детстве каждый из нас пишет свой собственный сценарий жизни.

Основной сюжет мы пишем в раннем детстве до того, как

научились говорить. Позднее лишь добавляем детали к нашему сценарию. К семи годам сценарий в основном написан, а в юношеском возрасте мы можем его пересмотреть. Будучи взрослыми, мы обычно не осознаем, что написали для себя сценарий жизни, но тем не менее в точности ему следуем. Без осознания этого факта мы устраиваем нашу жизнь таким образом, что движемся к той финальной сцене, которую определили в детстве.
Сценарий жизниВ детстве каждый из нас пишет свой собственный сценарий жизни. Основной сюжет мы пишем в раннем детстве

Обратная связь

Если не удалось найти и скачать доклад-презентацию, Вы можете заказать его на нашем сайте. Мы постараемся найти нужный Вам материал и отправим по электронной почте. Не стесняйтесь обращаться к нам, если у вас возникли вопросы или пожелания:

Email: Нажмите что бы посмотреть 

Что такое TheSlide.ru?

Это сайт презентации, докладов, проектов в PowerPoint. Здесь удобно  хранить и делиться своими презентациями с другими пользователями.


Для правообладателей

Яндекс.Метрика