Разделы презентаций


Тиолы, тиоэфиры, амины

Содержание

Тиоспирты. ТиоэфирыR-S-HR1-S-R2Тиоспирты, тиолы, меркаптаныТиоэфиры, сульфиды-SH – сульфгидрильная группа меркапто-, -тиол

Слайды и текст этой презентации

Слайд 1Кафедра химии
Тема лекции:
Тиолы, тиоэфиры.
Амины

Кафедра химииТема лекции: Тиолы, тиоэфиры.Амины

Слайд 2Тиоспирты. Тиоэфиры
R-S-H
R1-S-R2
Тиоспирты, тиолы, меркаптаны
Тиоэфиры, сульфиды
-SH – сульфгидрильная группа

меркапто-, -тиол


Тиоспирты. ТиоэфирыR-S-HR1-S-R2Тиоспирты, тиолы,  меркаптаныТиоэфиры,  сульфиды-SH – сульфгидрильная группа       меркапто-,

Слайд 3Номенклатура тиоспиртов
C3H7-SH - пропантиол-1 (сок лука),

пропилмеркаптан
C4H9-SH - бутантиол-1 (выделения

скунса),
бутилмеркаптан

цистеин,

3-меркапто-2-аминопропановая кислота

Физическое свойство меркаптанов –
отвратительный запах!

Номенклатура тиоспиртовC3H7-SH - пропантиол-1 (сок лука),

Слайд 4Номенклатура тиоэфиров
R1-S-R2
CH3-S-CH3 - диметилсульфид
CH3-S-C2H5 - метилэтилсульфид
CH3-S-CH2-CH2-CH-COOH
NH2
метионин
2-амино-4-метилтиобутановая кислота
(CH2=СН-СН2)2S - диаллилсульфид

(сок чеснока)
Номенклатура тиоэфировR1-S-R2 CH3-S-CH3 - диметилсульфидCH3-S-C2H5 - метилэтилсульфидCH3-S-CH2-CH2-CH-COOHNH2метионин2-амино-4-метилтиобутановая кислота(CH2=СН-СН2)2S - диаллилсульфид

Слайд 5Кислотно-основные свойства тиолов и тиоэфиров
R-SH  RS−

+ H+
H2O Ka≈ 10-16
R-OH Ka≈ 10-18
H2S

Ka≈ 10-8

R-SH Ka≈ 10-10

а) R-SH + NaOH → R-SNa + H2O

тиоляты,
меркаптиды

Тиоспирты – слабые SH-кислоты по Бренстеду и
мягкие основания по Пирсону

Ar-OH Ka≈ 10-10

Ar-SH Ka≈ 10-7

Кислотно-основные свойства     тиолов и тиоэфировR-SH  RS− + H+H2O   Ka≈ 10-16R-OH

Слайд 6б) 2 R-SH + HgO → R-S-Hg-S-R ↓ + H2O
Тиоляты

тяжелых металлов нерастворимы – дезактивация ферментов с группой

-SH

Тиоловые яды:

1) Катионы тяжелых металлов: Ag+, Cu+2, Hg+2, Zn+2, Sb+3, Pb+2, Bi+3, As+3

м.о. м.к. (по принципу ЖМКО)

«меркаптан»
от лат. mercurius captans – захватывающий ртуть

б) 2 R-SH + HgO → R-S-Hg-S-R ↓ + H2OТиоляты тяжелых металлов нерастворимы –

Слайд 72) Люизит
люизит
+
дигидролипоевая кислота
-2HCl

2) Люизитлюизит+дигидролипоевая кислота-2HCl

Слайд 8 Дитиоловые антидоты
1) Y = OH (БАЛ – британский антилюизит)
2)

Y = SO3Na (Унитиол – 2,3-димеркапто-
пропансульфонат натрия)
люизит

Дитиоловые антидоты1) Y = OH (БАЛ – британский антилюизит)2) Y = SO3Na (Унитиол – 2,3-димеркапто-пропансульфонат натрия)люизит

Слайд 9Тиоэфиры – слабые основания по Бренстеду и

мягкие основания

по Пирсону

R-S-R1 + H+ T (слабое взаимодействие)

м.о. ж.к.

м.о. м.к. (по принципу ЖМКО)

R-S-R1 + Hg2+ (Ag+) T прочные комплексы

II. Нуклеофильные свойства тиолов и тиоэфиров

Хорошие нуклеофилы!

Причины: 1) мягкие основания по Пирсону, проявляют
сродство к мягкой кислоте – атому углерода;
2) не образуют водородных связей с рас-
творителями и электронные пары доступны
для органических реагентов.

Тиоэфиры – слабые основания по Бренстеду и

Слайд 102. Ацилирование
R-S-H + HO-Ac  R-S-Ac + H2O
сложный тиоэфир
Кофермент

А
KoA-SH + CH3-COOH D KoA-S-C-CH3 + HOH
O
HS-CH2CH2-NH-
остаток пантотеновой
кислоты
-АДФ
Алкилирование (в щелочной

среде)

Механизм SN (см. тему
«Галогенопроизводные»)

R-S-H + I-R1

R-S-R1 + NaI + H2O

NaOH

или
пиридин

2. АцилированиеR-S-H + HO-Ac  R-S-Ac + H2O сложный тиоэфирКофермент АKoA-SH + CH3-COOH D KoA-S-C-CH3 + HOHOHS-CH2CH2-NH-остаток

Слайд 11ацетилкофермент А
+
холин
+
кофермент А
ацетилхолин

ацетилкофермент А+холин+кофермент Аацетилхолин

Слайд 12R1−S−R2
..
+
R3−X
В организме – реакции трансметилирования

(перенос метильной группы)
Метилирование аминов:

коламин → холин,
норадреналин → адреналин и др.

3. Образование сульфониевых солей

+

R1−S−R2..+R3−XВ организме – реакции трансметилирования       (перенос метильной группы)

Слайд 13а) Слабым окислителем (О2 воздуха)
2 R-S-H
[O]
[H]
R-S-S-R
дисульфид
б) Сильным окислителем
R-S-H
[O]
R-SO3H
сульфокислота
1.

Окисление тиоспиртов

а) Слабым окислителем (О2 воздуха)2 R-S-H [O][H]R-S-S-Rдисульфидб) Сильным окислителемR-S-H [O]R-SO3Hсульфокислота1. Окисление тиоспиртов

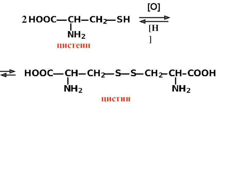
Слайд 142
[O]
[H]
цистин
цистеин

2[O][H]цистинцистеин

Слайд 15SH
SH
SH
SH
SH
SH
денатурация
ренатурация

SHSHSHSHSHSHденатурацияренатурация

Слайд 16C
O
O
H
S
H
S
H
дигидролипоевая кислота
C
O
O
H
S
S

липоевая кислота

О

COOHSHSHдигидролипоевая кислотаCOOHSSлипоевая кислотаО2Н

Слайд 172. Окисление тиоэфиров
диметил- сульфон
диметилсульфоксид (ДМСО)

димексид


O
O
O
CH3
S
CH3

CH3
S
CH3
CH3
S
CH3
[O]
[O]
(проникает через биологические мембраны,
анальгетическое и противовоспалительное
средство,

применяется в дерматологии)
2. Окисление тиоэфиров диметил- сульфондиметилсульфоксид       (ДМСО)     димексидOOOCH3SCH3CH3SCH3CH3SCH3[O][O](проникает

Слайд 18

Амины –
органические производные аммиака
I. В зависимости от природы

радикала:

Классификация и номенклатура аминов

Алифатические (R =Alk),
2. Ароматические (R = Ar),
3. Гетероциклические (R = гетерил).

Амины –органические производные аммиакаI. В

Слайд 191. Первичные (R-NH2)
II. В зависимости от числа замещенных
на радикалы атомов

водорода аммиака
2. Вторичные (R1-NH-R2)
3. Третичные (R1-N-R2)
R3
Четвертичные
аммониевые соли
Например, холин и

ацетилхолин
1. Первичные (R-NH2)II. В зависимости от числа замещенныхна радикалы атомов водорода аммиака2. Вторичные (R1-NH-R2)3. Третичные (R1-N-R2)R3Четвертичные аммониевые

Слайд 20Диамины
H2N(CH2)4NH2
H2N(CH2)5NH2
путресцин
кадаверин
токсичные продукты разложения белков

ДиаминыH2N(CH2)4NH2H2N(CH2)5NH2путресцинкадаверинтоксичные продукты разложения белков

Слайд 211. Ацилирование (для первичных и вторичных аминов)
+
HO-Ac
- H2O
амид
3 моль
+
-3H2O
ТЭФ

триэтиленимид
фосфорной кислоты
(противоопухолевое
средство)
Реакция ацилирования
(чаще хлорангидридами)
используется

для защиты
NH2-группы в реакциях SE

ХИМИЧЕСКИЕ СВОЙСТВА АМИНОВ

I. Реакции нуклеофильного замещения
с участием аминов

1. Ацилирование (для первичных и вторичных аминов)+HO-Ac- H2Oамид3 моль+-3H2OТЭФ  триэтиленимидфосфорной кислоты(противоопухолевое     средство)Реакция

Слайд 22Особенности реакций SE у ароматических аминов
1. Легкое окисление аминогруппы:
2. Невозможность

получения орто- и пара-производных
в кислой среде, т.к. NH2-группа (донор е-)

превращается
в NH3+-группу (акцептор е-) – мета-ориентант.

Пример

Особенности реакций SE у ароматических аминов1. Легкое окисление аминогруппы:2. Невозможность получения орто- и пара-производныхв кислой среде, т.к.

Слайд 232. Реакция с азотистой кислотой (нитрозирование)
NaNO2 + HCl
NaCl + HNO2
I.

П е р в и ч н ы е а

м и н ы

а) А л и ф а т и ч е с к и е (реакция дезаминирования SN)

(используют
в момент
выделения)

R-NH2+ HO-N=O

-H2O

[R-NH-N=O]

[R-N=N-OH]

N2↑ + R-OH

диазосоединение
(неустойчиво)

Метод Ван-Слайка –
количественный анализ
первичных аминов,
аминокислот, белков

Это вещество, содержащее азо-
группу (-N=N- или –N+≡N), соеди-
ненную с одним углеводород-
ным радикалом

2. Реакция с азотистой кислотой (нитрозирование)NaNO2 + HClNaCl + HNO2I. П е р в и ч н

Слайд 24б) А р о м а т и ч е

с к и е (реакция диазотирования)
Ar-NH2 + NaNO2
2HCl
-NaCl,
-2H2O
cоль

диазония
(устойчива при
t0<100C)

Ароматические диазосоединения более устойчивы, чем
алифатические, выделение азота затруднено из-за
мезомерного эффекта


б) А р о м а т и ч е с к и е  (реакция диазотирования)Ar-NH2

Слайд 25Диазосоединения в зависимости от рН среды находятся в следующих формах, проявляя

амфотерные свойства:

Диазосоединения в зависимости от рН среды находятся в следующих формах, проявляя амфотерные свойства:

Слайд 26III. Т р е т и ч н ы е

а м и н ы
а) А л и ф а

т и ч е с к и е

+ HO-N=O

неустойчивые
cоли [(CH3)3NH]+NO2-

или образуют

II. В т о р и ч н ы е а м и н ы

+ HO-N=O

-H2O

нитрозоамины

(канцерогены)

R = Alk, Ar

III. Т р е т и ч н ы е а м и н ыа) А л

Слайд 27б) А р о м а т и ч е

с к и е
HO-N=O
-Н2О
+
орто-
пара-
нитрозо-N,N-диметил-
анилины
N(CH3)2

– донор е-,
заместитель I рода
б) А р о м а т и ч е с к и еHO-N=O-Н2О+орто-пара-нитрозо-N,N-диметил-

Слайд 28СВОЙСТВА СОЛЕЙ ДИАЗОНИЯ

H2O
N2↑ + Ar-OH
KSH
N2↑ + Ar-SH
CuCN
N2↑ + Ar-CN
Cu2Br2
N2↑ +

Ar-Br
[Н]
Ar-NH-NH2
азосочетание

*
*
*-реакция Зандмей-
ера (1884 г.) – заме-
на азо-группы на
Br, Cl,

CN и др. в
присутствии солей
Cu(I)

t0

Можно получать производные бензола с орто- и пара-
ориентантами, расположенными в мета-положении
относительно друг друга

Пример

СВОЙСТВА СОЛЕЙ ДИАЗОНИЯH2ON2↑ + Ar-OHKSHN2↑ + Ar-SHCuCNN2↑ + Ar-CNCu2Br2N2↑ + Ar-Br[Н]Ar-NH-NH2азосочетание***-реакция Зандмей-ера (1884 г.) – заме-на азо-группы

Слайд 29Можно, наоборот, получать производные бензола с мета-
ориентантами, расположенными в пара-положении
относительно

друг друга
Пример
Домашнее
задание!

Можно, наоборот, получать производные бензола с мета-ориентантами, расположенными в пара-положенииотносительно друг друга ПримерДомашнее задание!

Слайд 30АЗОСОЧЕТАНИЕ
Реакции образования азосоединений, в которых
азо-группа (-N=N-) соединена с двумя

радикалами
Диазосоставляющая – первичный ароматический амин
(содержащий желательно заместитель II рода)
Азосоставляющая –

ароматическое соединение,
содержащее заместитель I рода (фенолы и амины)

Ar1N2+Cl− + H-Ar2-X

- HCl

Ar1-N=N-Ar2-X

«диазо»

«азо»

Азосоединение
(азокраситель)

(индикаторы, лекарства,
красители)


АЗОСОЧЕТАНИЕРеакции образования азосоединений, в которых азо-группа (-N=N-) соединена с двумя радикаламиДиазосоставляющая – первичный ароматический амин(содержащий желательно заместитель

Слайд 31Механизм – электрофильное замещение SE

Механизм – электрофильное замещение SE

Слайд 32диазосоставляющая
NaNO2
диазосоединение
HCl
Пример
+
азосоединение
-HCl
метилоранж (индикатор)
пара-сульфани-
ловая кислота

диазосоставляющаяNaNO2диазосоединениеHClПример+азосоединение-HClметилоранж (индикатор)пара-сульфани- ловая кислота

Слайд 333. Реакция Гофмана – алкилирование амми-
ака и аминов

NH3 + Rδ+-Xδ−
..
[RNH3]+X-
- NH4X
NH3
R-NH2
R-NH2 + R-X
[R2NH2]+X-
NH3
- NH4X
R2NH
..
Далее – аналогично можно

получить третичные
амины и четвертичные аммониевые соли.
3. Реакция Гофмана – алкилирование амми-  ака и аминов NH3 + Rδ+-Xδ−..[RNH3]+X-- NH4XNH3R-NH2R-NH2 + R-X[R2NH2]+X-NH3- NH4XR2NH..Далее

Слайд 34II. Основные и кислотные свойства аминов,
амидов и

нитрилов
>
R-NH2 + HX
..
[R-NH3]+X− ,
где Х – кислотный остаток
>
>
>
>
рKa(ВН+)
≈10,8
≈10,6
≈9,8
≈4,7
≈1
-
Увеличение основных свойств


Амины – слабые основания

II. Основные и кислотные свойства аминов,   амидов и нитрилов>R-NH2 + HX..[R-NH3]+X− ,где Х – кислотный

Слайд 35Амины
R2NH
Амиды
Нитрилы
R-C≡N
sp-гибридиз.,
> ОЭО атома N
рКа(ВН+) 10

-

3 - 10

Увеличение основности

Амины
R2NH

Амиды

Имиды

рКа 30 15 10

Увеличение кислотности

Амины R2NHАмидыНитрилы   R-C≡N sp-гибридиз.,> ОЭО атома NрКа(ВН+) 10

Слайд 36Комплексообразование
Амины, как и аммиак являются лигандами, НО! особенно
прочные комплексы

с d-металлами вследствие хелатного
(энтропийного) эффекта образуют диамины, триамины и пр.

[Cd(NH3)4]2+
Kнест. = 7,5⋅10−8

[Cd(C2H5NH2)4]2+
Kнест. = 3,3⋅10−7

[Cd(H2O)4]2+ + 2H2N(CH2)2NH2

D

+ 4H2O

Kнест. = 3,3⋅10−11



3 частицы

5 частиц

ΔS > 0

Образование пяти-
и шестичленных циклов!

КомплексообразованиеАмины, как и аммиак являются лигандами, НО! особенно прочные комплексы с d-металлами вследствие хелатного(энтропийного) эффекта образуют диамины,

Слайд 37Способы получения аминов
а) нитросоединений
Н.Н.Зинин,
1842 г.
В качестве red: a)

Fe,HCl; б) (NH4)2S
б) амидов
в) нитрилов
2. Реакции алкилирования (по Гофману, см.

выше)

1. Реакции восстановления:

Способы получения аминова) нитросоединенийН.Н.Зинин,  1842 г.В качестве red: a) Fe,HCl; б) (NH4)2Sб) амидовв) нитрилов2. Реакции алкилирования

Обратная связь

Если не удалось найти и скачать доклад-презентацию, Вы можете заказать его на нашем сайте. Мы постараемся найти нужный Вам материал и отправим по электронной почте. Не стесняйтесь обращаться к нам, если у вас возникли вопросы или пожелания:

Email: Нажмите что бы посмотреть 

Что такое TheSlide.ru?

Это сайт презентации, докладов, проектов в PowerPoint. Здесь удобно  хранить и делиться своими презентациями с другими пользователями.


Для правообладателей

Яндекс.Метрика