Разделы презентаций


СЕМИНАР_3-2014.ppt

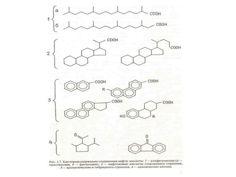
Карбоновые кислоты – производные моноциклических нафтенов, называются нафтеновыми. В сырых нефтях и нефтяных фракциях обнаружены кислоты, содержащие от 1 до 5 насыщенных циклов. Помимо алифатических и нафтеновых в

Слайды и текст этой презентации

Слайд 1

Кислородсодержащие

соединения нефти
Содержание кислорода (О) в нефтях в большинстве случаев составляет 0,1-1,0 %, но иногда достигает и 3,0 %, а в нефтях молодых и слабопогруженных, а также в природных битумах и асфальтах – до 7,0 %. Основная часть кислорода, находящегося в нефти, входит в состав смолистых веществ, и только около 10 % его приходится на долю кислых органических соединений – карбоновых кислот, кетонов и фенолов, с преобладанием двух первых классов соединений. С увеличением температуры кипения фракции возрастает содержание кислородных соединений. В нефтях из карбонатных отложений кислородных соединений больше, чем в нефтях из терригенных пород. Исследование строения нефтяных кислот показало, что карбоксильная группа чаще всего связана с остатками циклопентановых или циклогексановых УВ и значительно реже с парафиновыми радикалами. Содержание жирных карбоновых кислот CnH2n+1COOH в нефтях не превышает сотых долей %. В различных нефтях идентифицировано около 40 кислот с С1 – С25, среди которых преобладают кислоты изостроения (изопреноидные) и с четным числом углеродных атомов.

Слайд 2 Карбоновые кислоты – производные моноциклических нафтенов, называются нафтеновыми.

В сырых нефтях и нефтяных фракциях обнаружены кислоты, содержащие от

1 до 5 насыщенных циклов.
Помимо алифатических и нафтеновых в нефтях присутствует широчайший набор кислот, содержащих в молекуле ароматические ядра и гетероатомные фрагменты.
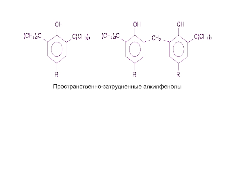
Содержание фенолов в нефтях не превышает обычно 0,1 %. Среди фенолов идентифицированы ксиленолы (диметилфенолы), крезолы (метилфенолы), триметилфенолы, этилфенолы, а также пространственно затрудненные алкилфенолы.
В нефтях обнаружены кетоны: ацетон, метилэтилкетон, метилбутилкетон, флуореноны и другие соединения карбонильного ряда.
Присутствуют в нефтях связанные кислоты в виде сложных эфиров. Кислотные фрагменты сложных эфиров западно-сибирских нефтей представлены нормальными жирными кислотами С11-С26, а также непредельной олеиновой кислотой.
Карбоновые кислоты – производные моноциклических нафтенов, называются нафтеновыми. В сырых нефтях и нефтяных фракциях обнаружены

Слайд 4Пространственно-затрудненные алкилфенолы

Пространственно-затрудненные алкилфенолы

Слайд 5Выделение и разделение кислородных соединений
Экстракция. Из нефтяных фракций с

Ткип менее 200оС можно выделить карбоновые кислоты и некоторые фенолы

экстракцией 1%-ным водным раствором NaOH (КОН). Из фракций 200-300оС – спиртовым раствором щелочи. Из фракции более 300оС экстракцией трудно выделить кислоты и фенолы.
Схема выделения и разделения кислот и фенолов методом ЖАХ на модифицированном адсорбенте
Выделение и разделение кислородных соединений Экстракция. Из нефтяных фракций с Ткип менее 200оС можно выделить карбоновые кислоты

Слайд 6Методы группового анализа кислородных соединений
1. Функциональное определение кислородных соединений

Количественное определение кислот и фенолов проводят методом

потенциометрического титрования спиртовым раствором KOH (в среде спирт-бензол=1:1) или гидроокисью тетрабутиламмония (в среде пиридин: толуол=1:1). Последний метод позволяет титровать как кислоты (слабые и сильные) так и фенолы. Международный стандарт ИСО 6619 устанавливает метод определения общего кислотного числа нефтей, нефтепродуктов и смазочных материалов.
Титрование проводят на рН-метре (потенциометре). В качестве электродов используют пару: индикаторный электрод – стеклянный, электрод сравнения – хлорсеребряный, либо совмещенный тип электрода.
Методы группового анализа кислородных соединений1.  Функциональное определение кислородных соединений    Количественное определение кислот и

Слайд 7Функциональное дифференцированное определение содержания карбоновых кислот и фенолов, кетонов

Связанные кислоты и фенолы (в виде сложных эфиров) вначале

подвергают омылению щелочами, а затем определяют содержание свободных карбоновых кислот и фенолов.
ГЖХ анализ кислот и фенолов проводят после предварительного перевода их в метиловые эфиры (более летучие, менее полярные, чем сами кислоты и фенолы).
Химические свойства нефтяных карбоновых кислот сходны со свойствами органических кислот. Они взаимодействуют со щелочами с образованием солей, это свойство используют для выделения кислот из нефтяных фракций. Щелочные соли нефтяных кислот (мылонафт) обладают хорошими моющими свойствами. Многие соли карбоновых кислот ярко окрашены, обладают бактерицидным действием. Технические нефтяные кислоты (асидол) применяются в качестве растворителей смол, каучука и анилиновых красителей, для пропитки шпал, при изготовлении цветных лаков.
Кетоны определяют спектрофотометрическим методом по реакции их с динитрофенилгидразином (в области 430 нм).
Функциональное дифференцированное определение содержания карбоновых кислот и фенолов, кетонов   Связанные кислоты и фенолы (в виде

Слайд 8Азотсодержащие соединения нефти
Азот (N) в форме

разнообразных органических соединений входит в состав практически всех нефтей и

по своей распространенности занимает второе или третье место среди гетероэлементов нефти. Знание химической природы азот- содержащих соединений (АС) необходимо для решения фундаментальных вопро- сов, связанных с образованием и превращениями нефтей в условиях осадочной толщи, с поиском рационального использования нефтяного сырья.
АС сосредоточены в высококипящих фракциях и особенно в тяжелых остатках. АС обуславливают сложности при каталитической переработке нефтяного сырья, являясь ядами для катализаторов. АС ухудшают качество и эксплуатационные характеристики топлив и смазочных материалов. АС, адсорбируясь на породах, снижают эффективность методов, применяемых для повышения нефтеотдачи пластов. АС представляют опасность для окружающей среды из-за возможной кан церогенной и мутагенной активности и образования токсичных продуктов сгора- ния. Полезными свойствами АС является применение их в виде сырья для произ- водства гербицидов, инсектицидов, красителей, антиоксидантов, экстрагентов редких и благородных металлов, флотореагентов в гидрометаллургии.
Азотсодержащие соединения нефти    Азот (N) в форме разнообразных органических соединений входит в состав практически

Слайд 9АС делят на три группы:
основные АС (извлекаемые минеральными кислотами):

пиридины и их
бензпроизводные;
- слабоосновные АС (амиды и имиды);
-

нейтральные АС (бензпроизводные пиррола).
Из-за большого разнообразия свойств АС выделить их полностью очень трудно.
Задачи, которые ставятся при исследовании состава АС:
- полное выделение
- сохранение нативных свойств
- дифференцирование по химическим типам и ММ
- доступность и простота аппаратурного оформления
- небольшое время и материальные затраты
Современные схемы выделения и разделения АС основываются на сочетании нескольких методов, селективных к определенному типу азааренов.
АС делят на три группы: основные АС (извлекаемые минеральными кислотами): пиридины и их  бензпроизводные;- слабоосновные АС

Слайд 10Выделение и разделение азотсодержащих соединений нефти
1. Экстракция кислотами

АС основного характера выделяют из низкокипящих фракций разбавленными растворами HCl,

H2SO4. С повышением Ткип нефтяной фракции степень извлечения уменьшается вследствие увеличения гидрофобности молекул.
Экстракция смесью H2SO4:укс.к-та: H2O=25:60:15 позволяет выделять АС основного характера уже из средней (200оС – 300оС ) фракции нефти. Из фракции выкипающей более 300оС водными растворами кислот можно выделить только 35-40% АС, а из нефтяных остатков – всего лишь 8-10%. Кислотная экстракция даже при замене воды на спирт и уксусную кислоту не позволяет нацело извлекать АС. Более эффективно выделяют АС при использовании сухого HCl, при этом в осадок выпадает АС (ВМС) нефти.
Выделение и разделение азотсодержащих соединений нефти1. Экстракция кислотами   АС основного характера выделяют из низкокипящих фракций

Слайд 112. Ионообменная хроматография
В качестве неподвижной фазы применяют

иониты - макропористые катиоонообменные смолы КУ-2, КУ-3. В основном выделяют

АС основного характера. В качестве элюента используют спиртовый раствор аммиака. Недостатком является большие временные затраты на приготовление смолы. Выделяемые широкие фракции АС требуют дальнейшего разделения.

3. Комплексообразование
АС нейтрального характера можно выделить методом комплексообразования с хлорным железом, хлоридами Ti, Sn, внесенными в нефтяной образец, или нанесенными на инертный носитель (ЖАХК). Акцептором являются хлориды металлов, донорами – АС, при внесении солей в образец комплексы выпадают из нефти в осадок. Как правило, комплексообразование используют в схемах концентрирования после удаления оснований. АС нейтрального характера образуют комплексы пи-v, т.к неподеленные e –ны азота ушли на образование связи N-H. Практически это единственный метод выделения нейтральных АС (предварительно необходимо удалить O, S, Nосн).
2. Ионообменная хроматография   В качестве неподвижной фазы применяют иониты - макропористые катиоонообменные смолы КУ-2, КУ-3.

Слайд 124. Жидкостно-адсорбционная хроматография
В классическом варианте не используется,

т.к. на силикагеле и окиси алюминия происходит необратимая адсорбция и

малая селективность к АС. Для предотвра щения необратимой адсорбции силикагель обрабатывают водой. На силикагеле удерживаются АС основного характера, а на окиси алюминия лучше АС нейтральные. Наиболее удерживаемые АС на силикагеле и окиси алюминия – амиды карбоновых кислот (выходят последними).
4. Жидкостно-адсорбционная хроматография   В классическом варианте не используется, т.к. на силикагеле и окиси алюминия происходит

Слайд 13Методы группового анализа азотсодержащих соединений
1. Функциональное определение АС основного

характера (Nосн)
Проводят потенциометрическим титрованием непосредственно образцов нефтей и

нефтяных фракций, в качестве титранта используют HClO4 в диоксане, среда - муравьиная или уксусная кислоты, уксусный ангидрид. Электроды – хлорсеребрянный и платиновый. Преимущество: большая точность и воспроизводимость, высокая чувствительность метода.
2. Элементный анализ.
Содержание азота (Nобщ) определяют методом Дюма, Кьельдаля, в настоящее время используется метод Покровского.
Метод Дюма основан на окислении образца твердым окислителем (окись меди II) в токе углекислого газа. Образовавшиеся в процессе окисления окислы азота восстанавливают медью до азота, который улавливают после поглощения углекислого газа, и по его объему определяют количество азота в нефтепродукте.
По Кьельдалю образец окисляют концентрированной серной кислотой, затем из образующегося сульфата аммония азот выделяют при обработке щелочью в виде аммиака, который улавливают титрованным раствором кислоты.
Методы группового анализа азотсодержащих соединений 1. Функциональное определение АС основного характера (Nосн)  Проводят потенциометрическим титрованием непосредственно

Слайд 14 Метод Покровского определения содержания азота основан

на окислитель- ной деструкции (сжигании Т=900-1000оС) органических веществ в слое

терми- чески устойчивого окислителя окиси никеля, что обеспечивает количественное превращение азота в элементный. Азот определяют на хроматографе ЛХМ-ВМД, колонка заполнена активированным углем, в качестве детектора используется катарометр. Абсолютная погрешность составляет 0,1 %. Чувствительность метода 1х10-6 г азота.
Nнейтр = Nобщ – Nосн
3. ИК-спектроскопия
При достаточно высокой концентрации АС (бензпроизводные пиридина) имеют характерный дублет в области 1567-1598 см-1
Производные пиррола проявляются полосой валентного колебания N-H связи в области 3490 см-1
Карбазолы – 3460 см-1.
Амиды карбоновых кислот –1630-1730 см-1; 3070-3400 см-1


Метод Покровского определения содержания азота основан на окислитель- ной деструкции (сжигании Т=900-1000оС) органических

Слайд 154. Масс-спектрометрия и хромато-масспектрометрия
Если в органической

молекуле присутствует один атом азота, то при электронном ударе в

МС молекулярные ионы имеют нечетные значения, в отличие от кислород- и серусодержащих соединений. Интенсивность молекулярных ионов очень высокая. Более эффективен для анализа метод хромато-масспектрометрии (ГХ-МС).

5. УФ-спектроскопия
АС имеют полосы поглощения, близкие к АРС. Для бензола 180, 200, 255 нм, то для пиридина 195, 260, 328 нм. Для нафталина и хинолина спектр похож, но интенсивность у хинолина выше. Однако, полная идентификация индивидуальных соединений при использовании УФ-спектров возможна только при сопоставлении с эталонными соединениями
4. Масс-спектрометрия и хромато-масспектрометрия    Если в органической молекуле присутствует один атом азота, то при

Обратная связь

Если не удалось найти и скачать доклад-презентацию, Вы можете заказать его на нашем сайте. Мы постараемся найти нужный Вам материал и отправим по электронной почте. Не стесняйтесь обращаться к нам, если у вас возникли вопросы или пожелания:

Email: Нажмите что бы посмотреть 

Что такое TheSlide.ru?

Это сайт презентации, докладов, проектов в PowerPoint. Здесь удобно  хранить и делиться своими презентациями с другими пользователями.


Для правообладателей

Яндекс.Метрика