Разделы презентаций


4 ТРН

Фазо-импульсное регулирование переменного напряжения

Слайды и текст этой презентации

Слайд 1
а б
Встречно-параллельное включение тиристоров
силового блока ТРПН

а - активная нагрузка
б -

активно-индуктивная нагрузка

а				бВстречно-параллельное включение тиристоров силового блока ТРПНа - активная нагрузкаб - активно-индуктивная нагрузка

Слайд 3
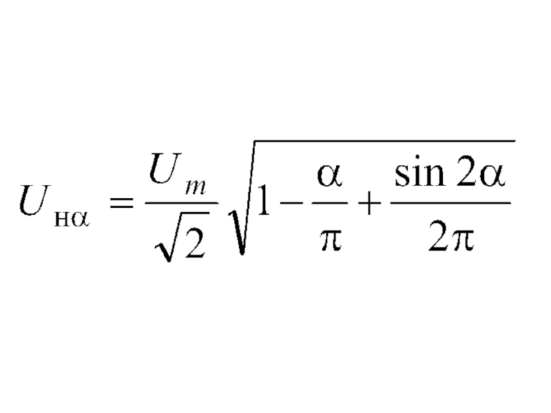
Фазо-импульсное регулирование переменного напряжения

Фазо-импульсное регулирование переменного напряжения

Слайд 4
Широтно-импульсное регулирование
переменного напряжения

Широтно-импульсное регулирование переменного напряжения

Обратная связь

Если не удалось найти и скачать доклад-презентацию, Вы можете заказать его на нашем сайте. Мы постараемся найти нужный Вам материал и отправим по электронной почте. Не стесняйтесь обращаться к нам, если у вас возникли вопросы или пожелания:

Email: Нажмите что бы посмотреть 

Что такое TheSlide.ru?

Это сайт презентации, докладов, проектов в PowerPoint. Здесь удобно  хранить и делиться своими презентациями с другими пользователями.


Для правообладателей

Яндекс.Метрика