Разделы презентаций


Функции и строение белков

Содержание

1.   Структурные белки. Входят в состав наружных клеточных и внутриклеточных мембран, формируют цитоскелет, обеспечивающий поддержание формы клетки. Входят в состав всех органелл клетки и хромосом. Входят в состав соединительных тканей и

Слайды и текст этой презентации

Слайд 1Функции и строение белков

Функции и строение белков

Слайд 21.   Структурные белки. Входят в состав наружных клеточных и внутриклеточных

мембран, формируют цитоскелет, обеспечивающий поддержание формы клетки. Входят в состав

всех органелл клетки и хромосом.
Входят в состав соединительных тканей и обеспечивают "архитектурный остов" всех органов, сосудов и организма в целом.
Входят в состав скелета (кости, хрящи, связки).

2.   Сократительные белки. Обеспечивают сокращение мышц сосудов и внутренних органов (гладкая мускулатура), сердца и скелетных мышц (поперечно-полосатая мускулатура).

3.   Энергетические белки. Состоят из аминокислот, которые "сгорают" с выделением энергии и которые могут быть синтезированы в клетке из продуктов расщепления углеводов и липидов. Запасной источник энергии.

Типы белков

1.   Структурные белки. Входят в состав наружных клеточных и внутриклеточных мембран, формируют цитоскелет, обеспечивающий поддержание формы клетки.

Слайд 34.Белки, трансформирующие энергию:
световую в электрическую (белки сетчатки глаза),
энергию химических

связей в механическую (несократительные белки мышц).
5.   Защитные белки.
В

иммунной системе: защита организма от вирусов, бактерий, паразитов, чужеродных веществ и последствий внутриорганизменных нарушений (интоксикация, образование опухолевых клеток и т.д.).
В крови: защита от потери крови (образование тромба при травме кровеносных сосудов) и восстановление кровотока - рассасывание тромба.
6.   Транспортные белки.
В крови: транспорт газов, неорганических элементов, низкомолекулярных органических веществ, в том числе регуляторных.
В клетке: перенос полярных соединений через мембрану как по, так и против градиента концентрации, участие во внутриклеточном транспорте.
4.Белки, трансформирующие энергию:световую в электрическую (белки сетчатки глаза), энергию химических связей в механическую (несократительные белки мышц). 5.  

Слайд 4Многие гормоны и цитокины.
Регуляторы проницаемости клеточных и внутриклеточных мембран: обеспечивают

поступление веществ в клетку и их выведение, в том числе

активный транспорт веществ, идущий против градиента концентрации.
Внутриклеточные регуляторы: образование, активность и распад вторичных посредников, внутриклеточных белков и регуляция генетической активности.
8. Сигнальные белки:
Рецепторы клеток: воспринимают сигналы химической и физической природы.
Маркёры клеток: воспринимаются клетками иммунной системы.

7.   Регуляторные белки:

Многие гормоны и цитокины.Регуляторы проницаемости клеточных и внутриклеточных мембран: обеспечивают поступление веществ в клетку и их выведение,

Слайд 511. Питательные белки:
1) источники незаменимых аминокислот (не могут быть

синтезированы в организме и должны поступать извне).
2) источники питания

для развития зародыша.
3) источники питания для вскармливания младенца.

10. Буферные белки.
способствуют поддержанию определенных значений кислотности в разных отсеках клетки.
способствуют поддержанию осмотического давления

Общее число белков в организме человека ~ 50 000

9. Каталитические белки: ферменты (энзимы). Осуществляют химические реакции в организме (синтез и распад различных соединений), а также активизацию и инактивацию различных веществ.

11. Питательные белки: 1) источники незаменимых аминокислот (не могут быть синтезированы в организме и должны поступать извне).

Слайд 6 Аминокислота содержит одновременно и кислотную функциональную группу, и аминогруппу
Элементами

молекулы белка являются аминокислоты

Аминокислота содержит одновременно и кислотную функциональную группу, и аминогруппуЭлементами молекулы белка являются аминокислоты

Слайд 7Радикалы имеют различную химическую структуру
(выделены красным цветом) :
до сложнейших органических

соединений

Радикалы имеют различную химическую структуру(выделены красным цветом) :до сложнейших органических соединений

Слайд 8 Незаменимыми называются аминокислоты, которые не могут быть синтезированы организмом из

веществ, поступающих с пищей, в количествах, достаточных для того, чтобы

удовлетворить физиологические потребности организма
Незаменимыми называются аминокислоты, которые не могут быть синтезированы организмом из веществ, поступающих с пищей, в количествах, достаточных

Слайд 10Олигопептиды - от 2 до 50 аминокислот:
Дипептиды (из двух аминокислот)

- свыше 400,
Трипептиды (три аминокислоты) – свыше 8000,
Тетрапептиды

(четыре аминокислоты) – более 160 000,
Гексапептиды (шесть аминокислот) – более 64 000 000.

Полипептидные цепи
Высокомолекулярные (одно- и многоцепочечные) белки:
от 50 до нескольких тысяч аминокислот.

Олигопептиды - от 2 до 50 аминокислот:Дипептиды (из двух аминокислот) - свыше 400, Трипептиды (три аминокислоты) –

Слайд 11У трипептида, состоящего из трех разных аминокислот, возможно 3! =

6 различных первичных структур.
У олигопептида, состоящего из двадцати разных аминокислот,

разнообразие первичных структур 20!, это ≈ 2х1018.
Разнообразие первичных структур среднего по размеру белка (примерно 500 аминокислот) составляет уже ≈ 20500 вариантов (если все аминокислоты представлены в эквимолярных соотношениях).

На Земле не было, нет и не будет двух людей с полностью одинаковым набором белков.

Разнообразие строения белков обусловлено огромным числом возможных вариантов расположения аминокислотных остатков в полипептидных цепях

У трипептида, состоящего из трех разных аминокислот, возможно 3! = 6 различных первичных структур.У олигопептида, состоящего из

Слайд 12Сложные белки:
+ углеводы (гликопротеины),
+ жироподобные вещества (липопротеины)
+ неорганические

ионы (металлопротеины). 
Простые белки (протеины):
Содержат только аминокислотные остатки

Сложные белки: + углеводы (гликопротеины), + жироподобные вещества (липопротеины)+ неорганические ионы (металлопротеины). Простые белки (протеины): Содержат только аминокислотные

Слайд 13Формирование гликопротеинов
Доля гликопротеинов среди белков:
Поджелудочный сок – 4,7 %
Коровье молоко

– 58 %
Белки крови – 60 %
Куриное яйцо – 97

%
Формирование гликопротеиновДоля гликопротеинов среди белков:Поджелудочный сок – 4,7 %Коровье молоко – 58 %Белки крови – 60 %Куриное

Слайд 14Углеводные компоненты молекулы гликопротеинов необходимы для:
Межклеточного узнавания
(группы крови, оплодотворение,

фагоцитоз),
Взаимодействия клеток с вирусами,
Связывания гормонов с рецепторными белками
Удержания в кровотоке

(защищает от ферментов расщепления)
Встраивания в мембрану
(PIG-tailed = Phospho-Inositol-Glican
белки со «свиными хвостиками»)
Углеводные компоненты молекулы гликопротеинов необходимы для:Межклеточного узнавания (группы крови, оплодотворение, фагоцитоз),Взаимодействия клеток с вирусами,Связывания гормонов с рецепторными

Слайд 15Остатки жирных кислот делают конец полипептидной цепи гидрофобным и дают

возможность взаимодействовать с липидами мембраны
Формирование липопротеинов

Остатки жирных кислот делают конец полипептидной цепи гидрофобным и дают возможность взаимодействовать с липидами мембраныФормирование липопротеинов

Слайд 16Липидные компоненты надежно удерживают белок в примембранном состоянии

Липидные компоненты надежно удерживают белок в примембранном состоянии

Слайд 17Металлопротеины
Ионы, входящие в состав белков:
Магний, Ванадий, Марганец, Железо, Никель, Медь,

Цинк,
Молибден, Селен
Имеют химические и координационные связи с аминокислотными остатками

МеталлопротеиныИоны, входящие в состав белков:Магний, Ванадий, Марганец, Железо, Никель, Медь, Цинк, Молибден, СеленИмеют химические и координационные связи

Слайд 20Сложные молекулы : белок + небелковое вещество
Например, гемоглобин состоит из

глобина и гема
Гем связан с белком нековалентными связями.

Сложные молекулы : белок + небелковое веществоНапример, гемоглобин состоит из глобина и гема Гем связан с белком

Слайд 21Первичная структура белка - это последовательность расположения аминокислотных остатков в

полипептидной цепи.

Первичная структура белка - это последовательность расположения аминокислотных остатков в полипептидной цепи.

Слайд 22ОБРАЗОВАНИЕ ВНУТРИМОЛЕКУЛЯРНЫХ ВОДОРОДНЫХ СВЯЗЕЙ (изображены пунктирными линиями) в молекуле полипептида
Водородные

связи внутри полипептидной цепи

ОБРАЗОВАНИЕ ВНУТРИМОЛЕКУЛЯРНЫХ ВОДОРОДНЫХ СВЯЗЕЙ (изображены пунктирными линиями) в молекуле полипептидаВодородные связи внутри полипептидной цепи

Слайд 23Первичная структура

Первичная структура

Слайд 24Вторичная структура белка - это упорядоченное расположение отдельных участков полипептидной

цепи, обусловленное водородными связями между различными группами разных аминокислотных остатков,

находящихся в сближенном состоянии.

+

-

Вторичная структура белка - это упорядоченное расположение отдельных участков полипептидной цепи, обусловленное водородными связями между различными группами

Слайд 25Водородные связи
Формирование α-спирали

Водородные связиФормирование α-спирали

Слайд 26ОБЪЕМНАЯ МОДЕЛЬ МОЛЕКУЛЫ БЕЛКА в форме a-спирали. Водородные связи показаны

зелеными пунктирными линиями

ОБЪЕМНАЯ МОДЕЛЬ МОЛЕКУЛЫ БЕЛКА в форме a-спирали. Водородные связи показаны зелеными пунктирными линиями

Слайд 27бета-структура белка

бета-структура белка

Слайд 28ПАРАЛЛЕЛЬНАЯ b-СТРУКТУРА,
состоящая из трех полипептидных молекул

ПАРАЛЛЕЛЬНАЯ b-СТРУКТУРА, состоящая из трех полипептидных молекул

Слайд 29АНТИПАРАЛЛЕЛЬНАЯ b-СТРУКТУРА,
состоящая из трех полипептидных молекул

АНТИПАРАЛЛЕЛЬНАЯ b-СТРУКТУРА, состоящая из трех полипептидных молекул

Слайд 31b-структура белка

b-структура белка

Слайд 32О
Н
Образование изгиба складки
ОБРАЗОВАНИЕ b-СТРУКТУРЫ
внутри одной полипептидной цепи

ОНОбразование изгиба складкиОБРАЗОВАНИЕ b-СТРУКТУРЫ внутри одной полипептидной цепи

Слайд 34ОБРАЗОВАНИЕ b-СТРУКТУРЫ
внутри одной полипептидной цепи
Водородные связи между параллельно

или антипараллельно идущими и сближенными участками полипептидной цепи

ОБРАЗОВАНИЕ b-СТРУКТУРЫ внутри одной полипептидной цепи Водородные связи между параллельно или антипараллельно идущими и сближенными участками полипептидной

Слайд 35В одном и том же белке могут присутствовать все три

способа укладки полипептидной цепи:

В одном и том же белке могут присутствовать все три способа укладки полипептидной цепи:

Слайд 36Содержит только α-спирали
Миоглобин

Содержит только α-спиралиМиоглобин

Слайд 37Третичная структура в виде пучка фибрилл
В коллагеновых волокнах три

спиральные полипептидные цепи скручены в единую правую суперспираль:
Белок соединительной

ткани, сухожилий, связок, хрящей, кожи, костей
Коллаген
Третичная структура в виде пучка фибрилл В коллагеновых волокнах три спиральные полипептидные цепи скручены в единую правую

Слайд 38Белки, содержащие только β-структуры

Белки, содержащие только β-структуры

Слайд 39Третичная структура белка – это трехмерная конфигурация плотной укладки полипептидной

цепи. Имеет форму компактного клубка (глобула) или нитевидных волокон (фибриллы)
Обусловлена

взаимодействием между всеми компонентами молекулы, как ковалентными, так и нековалентными

Глобула

Первичная структура

Вторичная структура

Фибриллы

Третичная структура белка – это трехмерная конфигурация плотной укладки полипептидной цепи. Имеет форму компактного клубка (глобула) или

Слайд 40Полипептидная цепь, свернутая в глобулу

Полипептидная цепь, свернутая в глобулу

Слайд 42Полярные боковые группы аминокислот стремятся расположиться на наружной поверхности белка

и могут взаимодействовать с водой
Неполярные боковые группы аминокислот расположены внутри

и образуют спрятанное от воды гидрофобное ядро
Полярные боковые группы аминокислот стремятся расположиться на наружной поверхности белка и могут взаимодействовать с водойНеполярные боковые группы

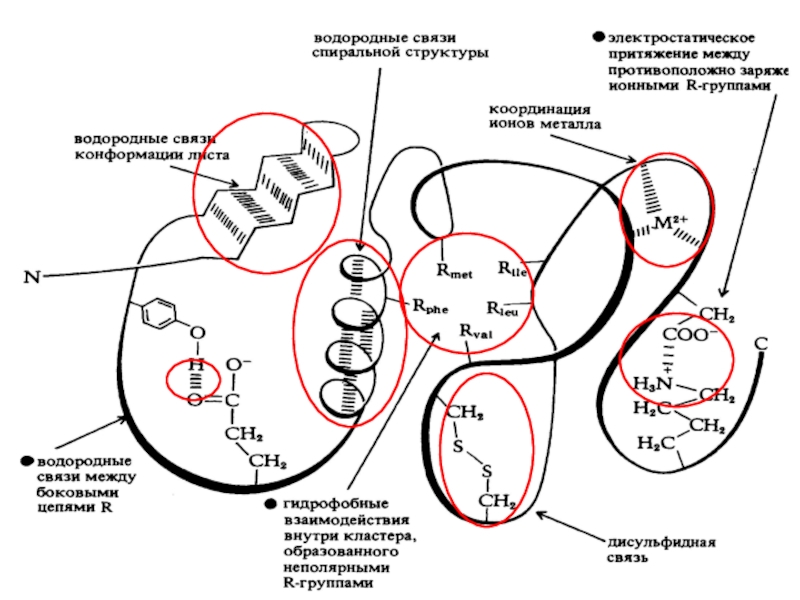
Слайд 43Факторы, обусловливающие образование третичной структуры белка
Реализуется до 90 % возможных

водородных связей

Факторы, обусловливающие образование третичной структуры белкаРеализуется до 90 % возможных водородных связей

Слайд 452. Кулоновские связи
Ионная связь между противоположно заряженными боковыми группами

аминокислотных остатков

2. Кулоновские связи Ионная связь между противоположно заряженными боковыми группами аминокислотных остатков

Слайд 473. Связь между аминокислотными остатками, содержащими серу

3. Связь между аминокислотными остатками, содержащими серу

Слайд 50Образование третичной структуры глобулярного белка
При взаимодействии с окружающими молекулами воды

белковая молекула «стремится» свернуться так, чтобы неполярные боковые группы аминокислот

оказались изолированы от водного раствора; на поверхности молекулы оказываются полярные гидрофильные боковые группы.

4. Гидрофильно-гидрофобные взаимодействия

Гидрофильные радикалы аминокислотных остатков

Гидрофобные радикалы аминокислотных остатков

молекулы воды

Образование третичной структуры глобулярного белкаПри взаимодействии с окружающими молекулами воды белковая молекула «стремится» свернуться так, чтобы неполярные

Слайд 52Обусловлены силами притяжения на малых расстояниях между полярными боковыми цепями,


между полярными и неполярными боковыми цепями,
между неполярными боковыми цепями
Образуются

за счет постоянного или кратковременного перераспределения зарядов в молекулах и возникающего при этом электрического поля

5. Ван-дер-Ваальсовы связи

Обусловлены силами притяжения на малых расстояниях между полярными боковыми цепями, между полярными и неполярными боковыми цепями, между

Слайд 546. Ионы металлов

6. Ионы металлов

Слайд 55«Цинковый палец» имеет вид вытянутого фрагмента на поверхности белка и

содержит около 20 аминокислотных остатков. Атом цинка поддерживает форму «вытянутого

пальца», связан с радикалами четырех аминокислот - двух остатков цистеина и двух - гистидина. Этот участок белка образует α-спираль, радикалы которой могут специфично связываться с регуляторными участками большой бороздки ДНК. Специфичность связывания индивидуального регуляторного ДНК-связывающего белка зависит от последовательности аминокислотных остатков, расположенных в области «цинкового пальца».
«Цинковый палец» имеет вид вытянутого фрагмента на поверхности белка и содержит около 20 аминокислотных остатков. Атом цинка

Слайд 57Ионные связи
Ионные связи

Ионные связиИонные связи

Слайд 59Прямолинейные участки – спирализованные фрагменты (8 спиралей). Изгибы – неспирализованные

фрагменты
Гем
Всего 80 межатомных контактов.
Схема третичной структуры миоглобина

Прямолинейные участки – спирализованные фрагменты (8 спиралей).  Изгибы – неспирализованные фрагментыГемВсего 80 межатомных контактов.Схема третичной структуры

Слайд 60Третичная структура – основа функциональности белка
Необходима для формирования активного центра

фермента, центра связывания других молекул, регуляторных центров белка, центров комплементарности,

якоря для мембранных белков и т.д.
Третичная структура – основа функциональности белкаНеобходима для формирования активного центра фермента, центра связывания других молекул, регуляторных центров

Слайд 61Глобула молекулы фермента
Активный центр

Глобула молекулы ферментаАктивный центр

Слайд 62Белки в мембране

Белки в мембране

Слайд 64Поверхность белка окружена молекулами воды
Вода играет решающую роль в стабилизации

третичной структуры белка

Поверхность белка окружена молекулами водыВода играет решающую роль в стабилизации третичной структуры белка

Слайд 65Третичная структура задаёт конформацию белка – определенный вариант взаимной ориентации

групп атомов в молекуле
Схема пространственной структуры маленького белка (регулятор активности

фермента поджелудочного сока)
Третичная структура задаёт конформацию белка – определенный вариант взаимной ориентации групп атомов в молекулеСхема пространственной структуры маленького

Слайд 67Четвертичная структура белка – это пространственное расположение объединенных в комплекс

нескольких белков (до 60 в одном комплексе)
Объединение одинаковых или

разных субъединиц (до 15 типов в одном комплексе)

Четвертичную структуру имеет 50% всех белков

Четвертичная структура белка – это пространственное расположение объединенных в комплекс нескольких белков (до 60 в одном комплексе)

Слайд 68В образовании четвертичной структуры белка участвуют не пептидные цепи, а

белки с третичной структурой

В образовании четвертичной структуры белка участвуют не пептидные цепи, а белки с третичной структурой

Слайд 69Факторы, обусловливающие образование четвертичной структуры белка:
Водородные связи в зоне межсубъединичного

контакта
2. Электростатические взаимодействия между противоположно заряженными функциональными группами субъединиц (ионные

пары, кластеры пространственно сближенных разноименных зарядов)
Факторы, обусловливающие образование четвертичной структуры белка:Водородные связи в зоне межсубъединичного контакта2. Электростатические взаимодействия между противоположно заряженными функциональными

Слайд 703. Контакт между гидрофобными участками на поверхности взаимодействующих субъединиц за

счет ван-дер-ваальсовых связей

3. Контакт между гидрофобными участками на поверхности взаимодействующих субъединиц за счет ван-дер-ваальсовых связей

Слайд 71 На поверхности взаимодействующих белков имеются α-спиральные участки, содержащие не менее

четырех остатков лейцина. Они находятся на поверхности каждого второго витка.

Между лейциновыми остатками обоих белков возникают гидрофобные взаимодействия и белки соединяются вместе.

«Лейциновая застежка-молния»

α-спиральный участок

α-спиральный участок

Остатки лейцина, гидрофобные радикалы

Например, гистоны для фиксации ДНК

 На поверхности взаимодействующих белков имеются α-спиральные участки, содержащие не менее четырех остатков лейцина. Они находятся на поверхности

Слайд 724. Объединение субъединиц единым ионом металла

4. Объединение субъединиц единым ионом металла

Слайд 76Объединение в единый ансамбль 24 молекул ферритина (транспортный белок крови)

Объединение в единый ансамбль 24 молекул ферритина (транспортный белок крови)

Слайд 77Четвертичная структура позволяет формировать из небольших субъединиц образования сложной конфигурации

Четвертичная структура позволяет формировать из небольших субъединиц образования сложной конфигурации

Слайд 78Четвертичная структура позволяет объединить несколько взаимосвязанных функций и создать полифункциональную

молекулу
Четвертичная структура отличается строгим постоянством числа и взаимного расположения субъединиц


Такое объединение характерно для ферментов, транспортных белков и белков с несколькими взаимосвязанными функциями

Четвертичная структура позволяет объединить несколько взаимосвязанных функций и создать полифункциональную молекулуЧетвертичная структура отличается строгим постоянством числа и

Слайд 79Активизация промотора, расплетание и скручивание транскриптона, сшивка нуклеотидов в проматричную

РНК

Активизация промотора, расплетание и скручивание транскриптона, сшивка нуклеотидов в проматричную РНК

Слайд 80Мембранный транспортный белок порин
Образование трансмембранного канала

Мембранный транспортный белок поринОбразование трансмембранного канала

Слайд 82Размещение в мембране

Размещение в мембране

Слайд 83Четвертичная структура обеспечивает множественное взаимодействие белка с протяженными структурами
Регуляторные белки,

взаимодействующие с ДНК
Иммуноглобулины (взаимодействуют с антигенами)
Четвертичная структура обеспечивает регуляцию активности

других белков

Четвертичная структура обеспечивает формирование активного центра фермента и полную изоляцию субстрата от воды

Четвертичная структура обеспечивает множественное взаимодействие белка с протяженными структурамиРегуляторные белки, взаимодействующие с ДНКИммуноглобулины (взаимодействуют с антигенами)Четвертичная структура

Слайд 84Межсубъединичные контакты обратимо расщепляются (тогда белок диссоциирует на отдельные субъединицы)

и устанавливаются вновь (ассоциация белка)

Межсубъединичные контакты обратимо расщепляются (тогда белок диссоциирует на отдельные субъединицы) и устанавливаются вновь (ассоциация белка)

Слайд 85Структурные перестройки одной субъединицы передаются на другие
Даже небольшие изменения

в пространственной структуре каждой из взаимодействующих субъединиц, обусловленные изменением функциональной

активности, вызывают конформационные изменения других для поддержания этой активности.

Регуляция активности белков с четвертичной структурой

Структурные перестройки одной субъединицы передаются на другие Даже небольшие изменения в пространственной структуре каждой из взаимодействующих субъединиц,

Обратная связь

Если не удалось найти и скачать доклад-презентацию, Вы можете заказать его на нашем сайте. Мы постараемся найти нужный Вам материал и отправим по электронной почте. Не стесняйтесь обращаться к нам, если у вас возникли вопросы или пожелания:

Email: Нажмите что бы посмотреть 

Что такое TheSlide.ru?

Это сайт презентации, докладов, проектов в PowerPoint. Здесь удобно  хранить и делиться своими презентациями с другими пользователями.


Для правообладателей

Яндекс.Метрика