Разделы презентаций


Лекция 25

Содержание

ПланФункции нуклеозидов, нуклеотидов и нуклеиновых кислот.Переваривание нуклеотидов.Катаболизм пуриновых оснований.Биосинтез пуриновых нуклеотидов.Биосинтез пиримидиновых нуклеотидов.

Слайды и текст этой презентации

Слайд 1Лекция 25
Обмен нуклеиновых кислот

Лекция 25Обмен нуклеиновых кислот

Слайд 2План
Функции нуклеозидов, нуклеотидов и нуклеиновых кислот.
Переваривание нуклеотидов.
Катаболизм пуриновых оснований.
Биосинтез пуриновых

нуклеотидов.
Биосинтез пиримидиновых нуклеотидов.

ПланФункции нуклеозидов, нуклеотидов и нуклеиновых кислот.Переваривание нуклеотидов.Катаболизм пуриновых оснований.Биосинтез пуриновых нуклеотидов.Биосинтез пиримидиновых нуклеотидов.

Слайд 3Структурные единицы нуклеотидов (пиримидиновые и пуриновые основания)

Структурные единицы нуклеотидов (пиримидиновые и пуриновые основания)

Слайд 4Структурные единицы нуклеотидов (пентоза)

Структурные единицы нуклеотидов (пентоза)

Слайд 5Пуриновый нуклеозид

Пуриновый нуклеозид

Слайд 6Пиримидиновый нуклеозид

Пиримидиновый нуклеозид

Слайд 7Нуклеотид – эфир фосфорной кислоты и нуклеозида

Нуклеотид – эфир фосфорной кислоты и нуклеозида

Слайд 8Никотинамидадениндинуклеотид

Никотинамидадениндинуклеотид

Слайд 9АТФ

АТФ

Слайд 10Циклический АМФ

Циклический АМФ

Слайд 11Цепь нуклеотидов

Цепь нуклеотидов

Слайд 14Переваривание нуклеотидов

Переваривание нуклеотидов

Слайд 15Ферменты, расщепляющие нуклеотиды
Эндонуклеазы ДНК-азы и РНК-азы панкреатического сока гидролизуют макромолекулы

до олигонуклеотидов

Олигонуклеотиды под действием фосфодиэстераз панкреатической железы расщепляются до смеси

3'- и 5'-мононуклеотидов

Нуклеотиды под действием нуклеотидаз и неспецифических фосфатаз гидролитически отщепляют фосфатный остаток и превращают их в нуклеозиды

Нуклеозиды расщепляются нуклеозидфосфорилазами кишечника с образованием рибозо- или дезоксирибозо-1-фосфата, пуриновых и пиримидиновых оснований

Пищевые пурины и пиримидины не являются незаменимыми пищевыми факторами
Ферменты, расщепляющие нуклеотидыЭндонуклеазы ДНК-азы и РНК-азы панкреатического сока гидролизуют макромолекулы до олигонуклеотидовОлигонуклеотиды под действием фосфодиэстераз панкреатической железы

Слайд 16Катаболизм пуриновых нуклеотидов
АМФ
Гипоксантин
ГМФ
Ксантин
Мочевая кислота

Катаболизм пуриновых нуклеотидовАМФГипоксантинГМФКсантинМочевая кислота

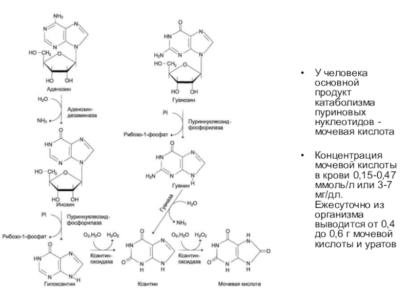
Слайд 17У человека основной продукт катаболизма пуриновых нуклеотидов - мочевая кислота

Концентрация

мочевой кислоты в крови 0,15-0,47 ммоль/л или 3-7 мг/дл. Ежесуточно

из организма выводится от 0,4 до 0,6 г мочевой кислоты и уратов
У человека основной продукт катаболизма пуриновых нуклеотидов - мочевая кислотаКонцентрация мочевой кислоты в крови 0,15-0,47 ммоль/л или

Слайд 18Патология обмена пуринов
Гиперурикемия – повышение содержания мочевой кислоты в плазме.
Подагра

- заболевание, при котором кристаллы мочевой кислоты и уратов откладываются

в суставных хрящах, синовиальной оболочке, подкожной клетчатке с образованием подагрических узлов (тофусов).
Подагра генетически детерминирована и носит семейный характер. Она вызвана нарушениями в работе ФРДФ синтетазы или ферментов "запасного" пути: гипоксантин-гуанин- или аденинфосфорибозилтрансфераз
Патология обмена пуриновГиперурикемия – повышение содержания мочевой кислоты в плазме.Подагра - заболевание, при котором кристаллы мочевой кислоты

Слайд 191. Синтез de novo
Образование 5-фосфорибозил-1-дифосфата
Биосинтез пуриновых нуклеотидов

1. Синтез de novoОбразование 5-фосфорибозил-1-дифосфатаБиосинтез пуриновых нуклеотидов

Слайд 20Сборка пуринового гетероцикла осуществляется на остатке 5-фосфорибозил-1-пирофосфата при участии различных

доноров углерода и азота
Фосфорибозил-1-пирофосфат
Инозиновая кислот
АМФ
ГМФ

Сборка пуринового гетероцикла осуществляется на остатке 5-фосфорибозил-1-пирофосфата при участии различных доноров углерода и азотаФосфорибозил-1-пирофосфатИнозиновая кислотАМФГМФ

Слайд 212. Синтез пуриновых нуклеотидов с использованием готовых азотистых оснований большого

значения не имеет. При торможении этого пути развивается заболевание Леша-Нихана.

Дезоксирибонуклетиды

образуются из рибонуклеотидов при участии тиоредоксинредуктазы, тиоредосина и НАДФН.

Биосинтез пуриновых нуклеотидов

2. Синтез пуриновых нуклеотидов с использованием готовых азотистых оснований большого значения не имеет. При торможении этого пути

Слайд 22Биосинтез пуриновых нуклеотидов
Синтез de novo из низкомолекулярных веществ. Пурин синтезируется

из СО2, глицина, формилтетрагидрофолата, глутамина и аспартата.

Биосинтез пуриновых нуклеотидовСинтез de novo из низкомолекулярных веществ. Пурин синтезируется из СО2, глицина, формилтетрагидрофолата, глутамина и аспартата.

Слайд 23Синтез пуринов регулируется конечными продуктами

Синтез пуринов регулируется конечными продуктами

Слайд 24Катаболизм пиримидиновых нуклеотидов
Цитозин
Урацил
Дигидроурацил
β -уреидопропионат
Пиримидины дезаминируются и декарбоксилируются до β-аланина, СО2,

NH3 и β-аминомасляной кислоты.
Тимин
Дигидротимин
β -уреидоизобутират
СО2, NН3
β -Аминоизобутират

Катаболизм пиримидиновых нуклеотидовЦитозинУрацилДигидроурацилβ -уреидопропионатПиримидины дезаминируются и декарбоксилируются до β-аланина, СО2, NH3 и β-аминомасляной кислоты.ТиминДигидротиминβ -уреидоизобутиратСО2, NН3β -Аминоизобутират

Слайд 25Синтез пиримидиновых нуклеотидов
Пиримидиновое кольцо синтезируется из простых предшественников: глутамина, СО2

и аспарагиновой кислоты и затем связывается с рибозо-5-фосфатом, полученным от

ФРДФ.

Синтез УМФ регулируется по механизму отрицательной обратной связи. УТФ – аллостерический ингибитор карбамоилфосфатсинтетазы.
Синтез пиримидиновых нуклеотидовПиримидиновое кольцо синтезируется из простых предшественников: глутамина, СО2 и аспарагиновой кислоты и затем связывается с

Слайд 26Биосинтез пиримидиновых нуклеотидов

Биосинтез пиримидиновых нуклеотидов

Слайд 27Патология обмена пиримидинов
Оротацидурия – нарушения, связанные с выделением больших количеств

оротовой кислоты с мочой (1,5 г, что в 1000 раз

больше нормы) вследствие недостаточности фермента, катализирующего синтез УМФ.

В результате возникает недостаточность пиримидиновых нуклеотидов и накопление оротовой кислоты.

Отставание умственного и физического развития. Для лечения применяют уридин.
Патология обмена пиримидиновОротацидурия – нарушения, связанные с выделением больших количеств оротовой кислоты с мочой (1,5 г, что

Обратная связь

Если не удалось найти и скачать доклад-презентацию, Вы можете заказать его на нашем сайте. Мы постараемся найти нужный Вам материал и отправим по электронной почте. Не стесняйтесь обращаться к нам, если у вас возникли вопросы или пожелания:

Email: Нажмите что бы посмотреть 

Что такое TheSlide.ru?

Это сайт презентации, докладов, проектов в PowerPoint. Здесь удобно  хранить и делиться своими презентациями с другими пользователями.


Для правообладателей

Яндекс.Метрика