Разделы презентаций


Пути вступления аминокислот в ЦТК

Содержание

Содержание:1.Пути вступления аминокислот в ЦТК2.Особенности обмена отдельных аминокислот- биосинтез, распад, участие в ГНГ, или кетогенезе, применение в медицине3.Интеграция углеводного, липидного

Слайды и текст этой презентации

Слайд 1 Б Е

Л К И 3


лекция №
доцент Свергун В.Т.
Б Е Л К И 3

Слайд 2

Содержание:
1.Пути вступления аминокислот в ЦТК
2.Особенности обмена отдельных аминокислот-
биосинтез,

распад, участие в ГНГ, или кетогенезе, применение в медицине
3.Интеграция углеводного, липидного и белкового обменов, механизм образования общих метаболитов.
4. Метаболизм нуклеопротеидов
Содержание:1.Пути вступления аминокислот в ЦТК2.Особенности обмена отдельных

Слайд 4Метаболизм азота

Метаболизм азота

Слайд 7 Эволюционно заменимые аминокислоты более важны для организма, чем

незаменимые.


Глицин самая распространенная в организме аминокислота. Составляет 30-35%

в структуре коллагена.
Коллаген- составляет около 50% общей массы белков организма.
Эволюционно заменимые аминокислоты более важны для организма, чем незаменимые.  Глицин самая распространенная в организме

Слайд 8

Г Л И Ц ИН

коллаген

пурины

глютатион

креатин

Синтез гема



Гиппуровая кислота


Холин, этаноламин


Медиатор ЦНС

Г Л И Ц

Слайд 10 Пути синтеза СЕР и ГЛИ используются и для

образования других аминокислот


В синтезе СЕР и ГЛИ важную роль играют

промежуточные продукты обмена глюкозы, а глицин и серин используются в формировании других аминокислот, нуклеотидов и фосфолипидов.
Пути синтеза СЕР и ГЛИ используются и для образования других аминокислотВ синтезе СЕР и ГЛИ

Слайд 11Глицин-синтаза- ферментная система, содержащая 4 белка: Рбелок,

включающий (В6), Нбелок(

содержащий ЛК), Lбелок- липоамид

ДГ, Гбелок- ТГФК( тетрагидрофолиевая кислота).

Биологический смысл этой реакции- в образовании формы-
N 5, N10 –CH2-ТГФК


Глицин-синтаза- ферментная система, содержащая 4 белка: Рбелок, включающий (В6), Нбелок( содержащий ЛК), Lбелок- липоамид  ДГ, Гбелок-

Слайд 12

N 5, N10 –CH2-ТГФК
Гли-<------------------ > Серин + ТГФК
Эта реакция обратима


NH2-CH2-COOH+ O2+ HOH-------------------?

-------? COH—COOH +NH3 +H2O2


COH—COOH- глиоксиловая кислота окисляется до

НСООН + СО2



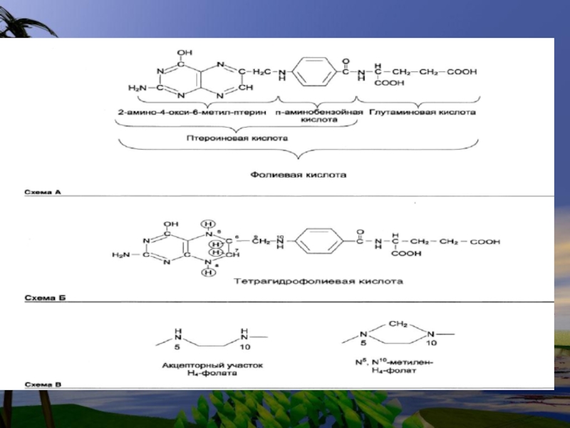
НСООН + ТГФК----? N 5, N10 –CH2-ТГФК – Это формильное производное ТГФК, которое служит донором оксиметильной группы в реакциях превращения Гли и Сер













Слайд 13 Глицин участвует в синтезе креатина. Первая реакция протекает

в почках –


образуется гуанидинацетат (гликоцианин) при участии гликоцианинтрансамидиназы.
АРГ+

ГЛИ ----? Гликоцианин+ Орн.
Вторая р-ция протекает в печени при участии гуанидинацетаттрансферазы.

Глицин участвует в синтезе креатина. Первая реакция протекает в почках – образуется гуанидинацетат (гликоцианин) при

Слайд 14Синтез креатина и креатинина

Синтез креатина и креатинина

Слайд 15 Креатинфосфат- буфер макроэргов мышц( главный

энергетический

ресурс мышц).
Креатин обладает седативным действием, является эндогенным фактором нейрогуморального

контроля. При депрессии его концентрация возрастает.
Креатинфосфат- буфер макроэргов мышц( главный  энергетический ресурс мышц). Креатин обладает седативным действием, является эндогенным

Слайд 16
В спокойном состоянии

креатинфосфат

синтезируется из креатина. При этом фосфатная группа присоединяется по гуанидиновой

группе креатина (N-гуанидино-N-метилглицина).
В спокойном состоянии  креатинфосфат синтезируется из креатина. При этом фосфатная группа присоединяется по

Слайд 17 Креатин, который синтезируется в печени, поджелудочной железе и

почках, в основном накапливается в мышцах.

Далее креатин медленно циклизуется

за счет неферментативной реакции с образованием креатинина, который поступает в почки и удаляется из организма.

Креатин, который синтезируется в печени, поджелудочной железе и почках, в основном накапливается в мышцах. Далее

Слайд 18 Нарушения креатин- креатининового

обмена наблюдается при

заболеваниях мышц. Креатинурия наблюдается при миопатиях, мышечных дистрофиях, миастениях,

миоглобинуриях.
Креатин появляется в моче при нарушении синтеза креатинфосфата.

А также при поражении печени, СД, гипертиреозах, болезни Аддисона, акромегалии, инфекц. заболеваниях, в том числе и при авитаминозах С и Е, когда усиливается распад белков



Нарушения креатин- креатининового   обмена наблюдается при заболеваниях мышц. Креатинурия наблюдается при миопатиях, мышечных

Слайд 19ГЛИ участвует в синтезе пуриновых колец, участвует в синтезе

Глутатиона.
(Glu)- водорастворимый клеточный антиоксидант, а также транспортное

средство для аминокислот при пересечении клеточных мембран.
ГЛИ участвует в синтезе пуриновых  колец, участвует в синтезе Глутатиона.  (Glu)- водорастворимый клеточный антиоксидант, а

Слайд 21 ГЛИ определяет О/В потенциал.
При СД, алкогольной

интоксикации уровень ГЛИ падает.

ГЛИ принимает участие в биосинтезе

гема.(Hb крови)
ГЛИ обеспечивает синаптическую передачу на уровне спинного мозга (антагонист стрихнин)
ГЛИ определяет О/В потенциал.  При СД, алкогольной интоксикации уровень ГЛИ падает.  ГЛИ принимает

Слайд 22 Нарушения обмена ГЛИ
При некоторых формах наследственнойпатологии уровень

ГЛИ в почках повышается.
В почках есть фермент глициноксидаза,

которая обеспечивает окислительное дезаминирование. При патологии активность фермента высока
Нарушения обмена ГЛИ  При некоторых формах наследственнойпатологии уровень ГЛИ в почках повышается.  В почках

Слайд 23 Пути синтеза СЕР и ГЛИ используются также при образовании

других аминокислот.

Пути синтеза СЕР и ГЛИ используются также при образовании других аминокислот.

Слайд 27
Цистеин- заменимая аминокислота синтезируется из незаменимой-

Метеонина.
Промежуточное соединение –цистатионин-

является радиопротектором, т.к. блокирует перекисное

окисление, связывая Fe++
Цистеин входит в состав глутатиона.
Цистеин- заменимая аминокислота синтезируется из незаменимой- Метеонина.  Промежуточное соединение –цистатионин- является радиопротектором,

Слайд 28Синтез цистеина

Синтез цистеина

Слайд 30Цистеин, так же как и 2 другие

заменимые

аминокислоты- ГЛИ и ГЛУ входит в состав Глутатиона-( Glu)

Цистеин, так же как и 2 другие  заменимые аминокислоты- ГЛИ и ГЛУ входит в состав Глутатиона-(

Слайд 32Нарушения метаболизма цистеина- обширны
Это Гомоцистинурии - I, II, III,IY,

цистатионурия, цистиноз - заболевания, связанные с нарушением активности ферментов, промежуточных

стадий метаболизма серосодержащих аминокислот., а также с нарушением реабсорбции в почечных канальцах.
Нарушения метаболизма цистеина- обширны Это Гомоцистинурии - I, II, III,IY, цистатионурия, цистиноз - заболевания, связанные с нарушением

Слайд 33Цистинурия-аномалия обмена, при которой происходит образование камней в почках, мочевом

пузыре, мочеточниках.

Как следствие отложение кристаллов цистина, на фоне глюкозурии,

фосфатурии, общей аминоацидурии( потери аминокислот). Гомоцистинурия по клинической частоте уступает только фенилкетонурии. Полиморфизм проявляется в многих формах
Цистинурия-аномалия обмена, при которой происходит образование камней в почках, мочевом пузыре, мочеточниках. Как следствие отложение кристаллов цистина,

Слайд 35 g аминомасляная кислота

образуется путем декарбоксилирования L-глутамата. Эта

реакция катализируется пиридоксальфосфат-зависимым ферментом L-глутамат-декарбоксилазой.

g аминомасляная кислота  образуется путем декарбоксилирования L-глутамата. Эта реакция катализируется пиридоксальфосфат-зависимым ферментом L-глутамат-декарбоксилазой.

Слайд 36 Фермент локализован главным образом в нейронах

ЦНС,

преимущественно в сером веществе головного мозга.

Фермент локализован главным образом в нейронах  ЦНС, преимущественно в сером веществе головного мозга.

Слайд 37 В особенности важной для нормального функционирования

головного мозга является реакция декарбоксилирования, в результате которой образуется γ-аминомасляная

кислота (γ-аминобутират) (ГАМК, GABA) (предшественник — глутамат) и биогенные амины.

В особенности важной для нормального функционирования   головного мозга является реакция декарбоксилирования, в результате

Слайд 39 ГАМК- шунт характерен для клеток ЦНС,

но не

играет существенной роли в других тканях.

ГАМК- шунт характерен для клеток ЦНС,  но не играет существенной роли в других тканях.

Слайд 40
ГАМК оказывает тормозящий эффект на деятельность

ЦНС.
Ее препараты используют при лечении заболеваний ,

сопровождающихся возбуждением коры головного мозга

ГАМК оказывает тормозящий эффект на деятельность ЦНС.   Ее препараты используют при лечении

Слайд 44Синтез катехоламинов

Синтез катехоламинов

Слайд 46Нарушения в метаболизме фенилаланина и тирозина
1. фенилкетонурия-полное или частичное отсутствие

ФА-гидроксилазы
2.тирозиноз
3.альбинизм
4.алкаптонурия

Нарушения в метаболизме фенилаланина и тирозина1. фенилкетонурия-полное или частичное отсутствие ФА-гидроксилазы2.тирозиноз3.альбинизм4.алкаптонурия

Слайд 53Нарушения обмена триптофана

1.Первичные нарушения обмена связаны с генетическими

факторами:
-Болезнь Гартнупа-нарушение всасывания ТРП
-ферментативные блоки метаболизма ТРП-синдром»Голубых пеленок»;

-синдром Тада
-синдром Прайса
-наследственная ксантуренурия
2-Вторичные нарушения зависят от гормонального статуса, обеспеченности витаминами, особенно В6.
Нарушения обмена триптофана  1.Первичные нарушения обмена связаны с генетическими факторами: -Болезнь Гартнупа-нарушение всасывания ТРП -ферментативные блоки

Слайд 54Синтез серотонина, мелатонина

Синтез серотонина, мелатонина

Слайд 57Переваривание и всасывание нуклеопротеидов
Сложные белки- нуклеопротеиды содержат в своем составе

нуклеиновые кислоты и белок.

Рибонуклеопротеидами являются рибосомы, содержащие в

своем составе молекулу РНК и белок.


Переваривание и всасывание нуклеопротеидовСложные белки- нуклеопротеиды содержат в своем составе нуклеиновые кислоты и белок.  Рибонуклеопротеидами являются

Слайд 60
Поступающие с пищей нуклеопротеины разрушается панкреатическими ферментами, а нуклеопротеины ткани

- лизосомальными ферментами. Вначале происходит диссоциация компонентов нуклеопротеинов на белки

и нуклеиновые кислоты.

Поступающие с пищей нуклеопротеины разрушается панкреатическими ферментами, а нуклеопротеины ткани - лизосомальными ферментами. Вначале происходит диссоциация компонентов

Слайд 61
Этому способствует кислая среда желудка. Белки

затем включаются в обмен вместе с другими белками пищи, а

нуклеиновые кислоты гидролизуются нуклеазами сока поджелудочной железы (РНКазами и ДНКазами), с образованием смеси полинуклеотидов. Далее в процесс включаются полинуклеотидазы и фосфодиэстеразы (эндонуклеазы) кишечника. Они довершают гидролиз нуклеиновых кислот до мононуклеотидов.
Этому способствует кислая среда желудка. Белки затем включаются в обмен вместе с другими

Слайд 64 Пуриновые и пиримидиновые основания также или распадаются далее

до конечных продуктов или используются повторно для синтеза нуклеотидов.

Пуриновые и пиримидиновые основания также или распадаются далее до конечных продуктов или используются повторно для

Слайд 65

В клетке существует интенсивно обмениваемый пул

рибонуклеотидов и РНК. Молекулы ДНК и пул дезоксирибонуклеотидов обменивается значительно

медленнее.

В клетке существует интенсивно обмениваемый пул рибонуклеотидов и РНК. Молекулы ДНК и пул

Слайд 66 Тканевые пурины и пиримидины, которые не попадают в

пути повторного использования, обычно распадаются и продукты их распада выделяются.


Тканевые пурины и пиримидины, которые не попадают в пути повторного использования, обычно распадаются и продукты

Слайд 67Используется лишь очень небольшое количество пищевых пуринов, а основная масса

поступивших с пищей пуринов распадается.

Используется лишь очень небольшое количество пищевых пуринов, а основная масса поступивших с пищей пуринов распадается.

Слайд 68
Катаболизм пуринов и пиримидинов не сопровождается значительным высвобождением

энергии в сравнении с обменом аминокислот, однако некоторые продукты распада

выполняют определенные физиологические функции,
Катаболизм пуринов и пиримидинов не сопровождается значительным высвобождением энергии в сравнении с обменом аминокислот, однако

Слайд 69 например, конечный продукт катаболизма пуринов у человека мочевая

кислота, может служить антиоксидантом, продукт катаболизма пиримидина, b– аланин используется

в

синтезе активных пептидов мозга и мышц

например, конечный продукт катаболизма пуринов у человека мочевая кислота, может служить антиоксидантом, продукт катаболизма пиримидина,

Слайд 70 функции пиримидиновых и пуриновых нуклеотидов.
Нуклеотиды выполняют ряд

важных
функций в клетке.

Они являются источниками энергии, ATP - наиболее известный и обычно используемый источник энергии для многих процессов

функции пиримидиновых и пуриновых нуклеотидов.     Нуклеотиды выполняют ряд важных

Слайд 71ГТФ используется в синтезе белка, глюкозы, а также в некоторых

других реакциях.

ГТФ используется в синтезе белка, глюкозы, а также в некоторых других реакциях.

Слайд 72 УТФ - источник энергии для активирования глюкозы и галактозы,

а ЦТФ - для реакций с участием липидов.

УТФ - источник энергии для активирования глюкозы и галактозы, а ЦТФ - для реакций с участием

Слайд 73 AMФ - часть структуры некоторых коферментов (НАД+ , НАДФ+

, кофермента A).

AMФ - часть структуры некоторых коферментов (НАД+ , НАДФ+ , кофермента A).

Слайд 74 И, конечно, нуклеотиды – основные структурные элементы нуклеиновых

кислот и субстраты для синтеза.


И, конечно, нуклеотиды – основные структурные элементы нуклеиновых кислот и субстраты для синтеза.

Слайд 75 Большинство клеток способно синтезировать нуклеотиды для удовлетворения своей

потребности в них, и поэтому поступления нуклеотидов, нуклеозидов, или азотистых

оснований с пищей не требуются.
Большинство клеток способно синтезировать нуклеотиды для удовлетворения своей потребности в них, и поэтому поступления нуклеотидов,

Слайд 76 В дополнение к способности синтезировать нуклеотиды de novo,

многие клетки обладают возможностями использования продуктов распада нуклеиновых кислот, таких

как нуклеозиды или свободные основания для синтеза нуклеотидов.

В дополнение к способности синтезировать нуклеотиды de novo, многие клетки обладают возможностями использования продуктов распада

Слайд 77 Однако генетические дефекты некоторых ферментов этого пути

проявляются в форме заболеваний нервной системы и суставов.

Однако генетические дефекты  некоторых ферментов этого пути проявляются в форме заболеваний нервной системы и

Слайд 78 Многие производные нуклеотидов нашли применение в медицинской практике для

подавления роста опухолевых клето к, лечения СПИДа, подагры


Многие производные нуклеотидов нашли применение в медицинской практике для подавления роста опухолевых клето к, лечения СПИДа,

Слайд 80De novo синтез пуриновых нуклеотидов

De novo синтез пуриновых нуклеотидов

Слайд 85Нуклеотиды- это наиболее сложные метаболиты. Их биосинтез требует много

времени и затрат энергии. Поэтому они могут разрушаться не полностью,

и в основном снова участвуют в биосинтезе. Это относится к пуриновым основаниям-аденину и гуанину.

Нуклеотиды- это наиболее сложные метаболиты. Их биосинтез требует много  времени и затрат энергии. Поэтому они могут

Слайд 86В организме человека около 90 % пуриновых оснований снова превращается

в нуклеозидмонофосфаты, связываясь с Фосфорибозилдифосфатом (PRPF).

В организме человека около 90 % пуриновых оснований снова превращается в нуклеозидмонофосфаты, связываясь с Фосфорибозилдифосфатом (PRPF).

Слайд 87Путь « спасения»- повторное включение пуринов


Аденин + ФРДФ--?

АМФ + Н4Р2О7

Гуанин + ФРДФ--?АМФ + Н4Р2О7 Гипоксантин +

ФРДФ---?
ИМФ+ Н4Р2О7


Путь « спасения»- повторное включение пуринов  Аденин + ФРДФ--? АМФ + Н4Р2О7 Гуанин + ФРДФ--?АМФ +

Слайд 89 Деградация пуринов
В организме человека пурины

распадаются до мочевой кислоты и в такой форме выводятся с

мочой. Пуриновое кольцо при этом остается незатронутым.

Деградация пуринов  В организме человека пурины распадаются до мочевой кислоты и в такой

Слайд 92Расщепление пуринов у человека заканчивается на стадии образования мочевой кислоты.

М.К. очень плохо растворима в воде.

Расщепление пуринов у человека заканчивается на стадии образования мочевой кислоты. М.К. очень плохо растворима в воде.

Слайд 93При ее избыточных количествах или нарушении катаболизма, концентрация ее в

крови увеличивается, и как следствие происходит отложение кристаллов кислоты в

органах. Отложение м.к. в суставах является причиной сильных болей при подагре.

При ее избыточных количествах или нарушении катаболизма, концентрация ее в крови увеличивается, и как следствие происходит отложение

Слайд 94

Патохимия пуринового обмена

Патохимия пуринового обмена

Слайд 95 Подагра-хроническое заболевание на фоне гиперурикемии и острых приступов

артрита -частичная потеря активности фермента-GGFRT-гипоксантингуанинфосфорибозилтрансферазы.

Подагра-хроническое заболевание на фоне гиперурикемии и острых приступов артрита -частичная потеря активности фермента-GGFRT-гипоксантингуанинфосфорибозилтрансферазы.

Слайд 98


При синдроме Леха-Нихана- полная потеря активности

GGFRT.

При синдроме Леха-Нихана- полная потеря активности GGFRT.

Слайд 100 Комбинированный иммунодефицит (Т и В клетки) гипоурикемия, дезоксиаденозинурия-

это потеря активности фермента -аденозиндезаминазы

Комбинированный иммунодефицит (Т и В клетки) гипоурикемия, дезоксиаденозинурия- это потеря активности фермента -аденозиндезаминазы

Слайд 101 Дефект аденозиндезаминазы выявляется во многих тканях, но патологические

последствия развиваются главным образом в лимфоцитах.

Дефект аденозиндезаминазы выявляется во многих тканях, но патологические последствия развиваются главным образом в лимфоцитах.

Слайд 102 Недоразвиты тимус и лимфатические узлы. Торможение р-ций дезаминирования увеличивает

конц. аденозина и дезоксиаденозина

Недоразвиты тимус и лимфатические узлы. Торможение р-ций дезаминирования увеличивает конц. аденозина и дезоксиаденозина

Слайд 103Последний и особенно dATF токсичны для лимфоцитов, вызывают угнетение активности

рибонуклеотидредуктазы и уменьшение синтеза dNTF и DNK

Последний и особенно dATF токсичны для лимфоцитов, вызывают угнетение активности рибонуклеотидредуктазы и уменьшение синтеза dNTF и DNK

Слайд 105Распад пуринов и перекисные процессы
Генерация активных форм кислорода при ишемии-реперфузии

Распад пуринов и перекисные процессыГенерация активных форм кислорода при ишемии-реперфузии

Слайд 106Ишемия. Распад АТФ до гипоксантина
прекращение кровотока (ишемия) сопровождается гипоксией;
распад

АТФ начинает преобладать над его синтезом:
АТФ
АДФ
АМФ
ИМФ
Гипоксантин
аденилатдезаминаза
нуклеозидфосфорилаза

Ишемия.  Распад АТФ до гипоксантинапрекращение кровотока (ишемия) сопровождается гипоксией; распад АТФ начинает преобладать над его синтезом:АТФАДФАМФИМФГипоксантинаденилатдезаминазануклеозидфосфорилаза

Слайд 107
Повреждение тканей при ишемии-реперфузии

СОД
Каталаза
Миелопероксидаза
Fe2+
Эндотелиальные клетки

Повреждение тканей при ишемии-реперфузииСОДКаталазаМиелопероксидазаFe2+Эндотелиальные клетки

Слайд 108Реперфузия. Окисление гипоксантина до мочевой кислоты
После восстановления кровотока (реперфузия) в

ткани начинает поступать кислород;
окисление гипоксантина до мочевой кислоты сопровождается образованием

активных форм кислорода:

Гипоксантин

Ксантин

Мочевая кислота

H2O+O2

H2O2

ксантиноксидаза

H2O+O2

H2O2

ксантиноксидаза

Реперфузия. Окисление  гипоксантина до мочевой кислотыПосле восстановления кровотока (реперфузия) в ткани начинает поступать кислород;окисление гипоксантина до

Слайд 109 Биосинтез пиримидиновых

нуклеотидов

Биосинтез пиримидиновых

Слайд 110Непосредственным предшественником при синтезе пиримидиновых колец является карбомоилфосфат, который образуется

из Глу и НСО3- и аспартата.

Непосредственным предшественником при синтезе пиримидиновых колец является карбомоилфосфат, который образуется из Глу и НСО3- и аспартата.

Слайд 113 Реакции 1,2,3 протекают в цитоплазме и катализируются

одним полифункциональным ферментом ( имеющим 3 АЦ). На 4- стадии

дигидрооротат окисляется FMN-зависимой дегидрогеназой в оротат, который связывается с ФРПФ (FRPF), образуя оротидиловую кислоту.

Реакции 1,2,3  протекают в цитоплазме и катализируются одним полифункциональным ферментом ( имеющим 3 АЦ).

Слайд 114 Последняя декарбоксилируется тем же ферментом, образуя УМФ.

Т.о. 6 катализирующих активных центров кодируются только тремя структурными генами.


Последняя декарбоксилируется тем же ферментом, образуя УМФ.  Т.о. 6 катализирующих активных центров кодируются только

Слайд 115 Биосинтез пиримидиновых оснований протекает сложнее, чем пуриновых оснований. На

основе УМФ образуются другие пиримидиновые кольца.
УМФ + АТФ +

ГЛН -? ЦМФ + АДФ + Н3РО4.


Биосинтез пиримидиновых оснований протекает сложнее, чем пуриновых оснований. На основе УМФ образуются другие пиримидиновые кольца. УМФ

Слайд 116Биосинтез дезоксирибонуклеотидов
Биосинтез дезоксирибонуклеотидов

Биосинтез дезоксирибонуклеотидов       Биосинтез дезоксирибонуклеотидов

Слайд 119дУМФ+ Метилен-Н4-фолат ----?
дТМФ+Н2-фолат ( фермент- тимидилатсинтетаза)

дУМФ+ Метилен-Н4-фолат ----? дТМФ+Н2-фолат ( фермент- тимидилатсинтетаза)

Слайд 120Синтез дезоксирибонуклеотидов в покоящихся клетках практически не происходит и активируется

на стадиях клеточного цикла, предшествующих делению.

Синтез дезоксирибонуклеотидов в покоящихся клетках практически не происходит и активируется на стадиях клеточного цикла, предшествующих делению.

Слайд 121Ингибиторы синтеза дезоксирибонуклеотидов делают невозможной репликацию ДНК и деление клетки:

на этом основано применение ингибиторов РНК-нуклеотидредуктазы и тимидилатсинтетазы для лечения

злокачественных опухолей.
Ингибиторы синтеза дезоксирибонуклеотидов делают невозможной репликацию ДНК и деление клетки: на этом основано применение ингибиторов РНК-нуклеотидредуктазы и

Слайд 1225-фторурацил- структурный аналог тимидиловой кислоты, ингибирует фермент и блокирует биосинтез

ДНК.



5-фторурацил- структурный аналог тимидиловой кислоты, ингибирует фермент и блокирует биосинтез ДНК.

Обратная связь

Если не удалось найти и скачать доклад-презентацию, Вы можете заказать его на нашем сайте. Мы постараемся найти нужный Вам материал и отправим по электронной почте. Не стесняйтесь обращаться к нам, если у вас возникли вопросы или пожелания:

Email: Нажмите что бы посмотреть 

Что такое TheSlide.ru?

Это сайт презентации, докладов, проектов в PowerPoint. Здесь удобно  хранить и делиться своими презентациями с другими пользователями.


Для правообладателей

Яндекс.Метрика