Разделы презентаций


Урок 12

Содержание

равномерное неравномерное за любые равные промежутки времени тело проходит …..ДВИЖЕНИЕравные пути разные

Слайды и текст этой презентации

Слайд 1


Слайд 3равномерное

неравномерное
за любые равные промежутки времени тело проходит …..
ДВИЖЕНИЕ
равные

пути разные пути
равномерное           неравномерное за любые равные промежутки времени

Слайд 4Равномерное движение – движение, при котором тело за любые равные

промежутки времени проходит равные пути.

Равномерное движение – движение, при котором тело за любые равные промежутки времени проходит равные пути.

Слайд 5Равномерное прямолинейное движение – равномерное движение, траекторией которого является прямая.

Равномерное прямолинейное движение – равномерное движение, траекторией которого является прямая.

Слайд 7Скорость

Скорость

Слайд 8Скорость – быстрота изменения положения тел в пространстве.

Скорость – быстрота изменения положения тел в пространстве.

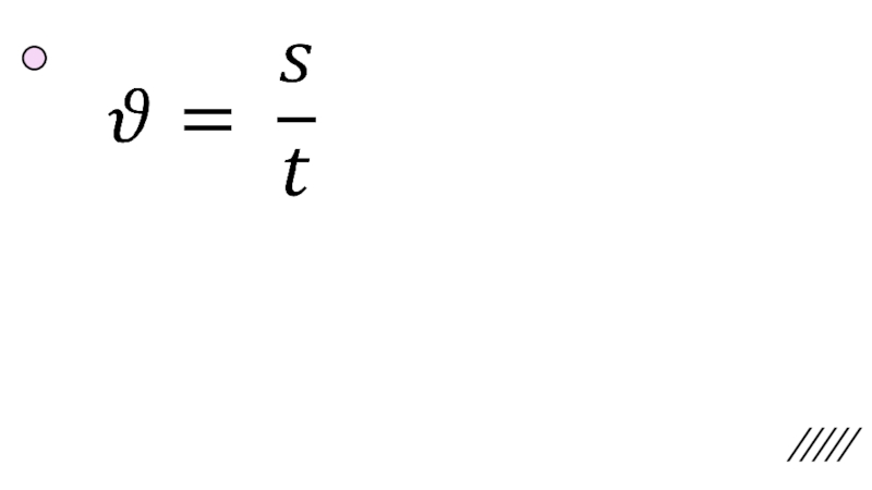
Слайд 9при равномерном движении:
Скорость – величина, равная отношению пути ко

времени, за которое этот путь пройден.

при равномерном движении: Скорость – величина, равная отношению пути ко времени, за которое этот путь пройден.

Слайд 14Неравномерное движение – движение, при котором тело за любые равные

промежутки времени проходит разные пути.

Неравномерное движение – движение, при котором тело за любые равные промежутки времени проходит разные пути.

Слайд 15Скорость
Равномерное движение
НЕРавномерное движение
Постоянна
Изменяется

СкоростьРавномерное движениеНЕРавномерное движениеПостояннаИзменяется

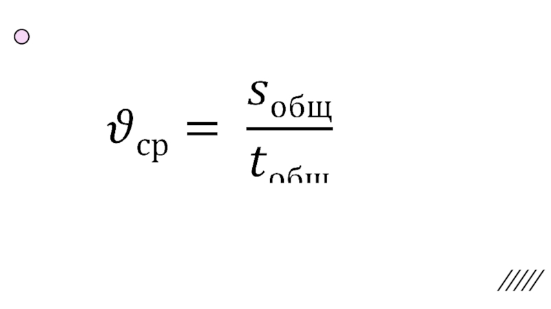
Слайд 16при неравномерном движении:
Средняя скорость – величина, равная отношению всего

пути ко всему времени, за которое этот путь пройден.

при неравномерном движении: Средняя скорость – величина, равная отношению всего пути ко всему времени, за которое этот

Слайд 18Скорость – относительная величина.

Скорость – относительная величина.

Слайд 21План описания физической величины
Название величины
Определение
Обозначение
Единицы измерения
Скалярная или векторная
Формула для нахождения
Прибор

для измерения

План описания физической величиныНазвание величиныОпределениеОбозначениеЕдиницы измеренияСкалярная или векторнаяФормула для нахожденияПрибор для измерения

Слайд 22Домашнее задание:
Параграф 5 – прочитать.
Выполнить задания 5.1, 5.2 стр. 25

письменно в тетради.

Домашнее задание:Параграф 5 – прочитать.Выполнить задания 5.1, 5.2 стр. 25 письменно в тетради.

Обратная связь

Если не удалось найти и скачать доклад-презентацию, Вы можете заказать его на нашем сайте. Мы постараемся найти нужный Вам материал и отправим по электронной почте. Не стесняйтесь обращаться к нам, если у вас возникли вопросы или пожелания:

Email: Нажмите что бы посмотреть 

Что такое TheSlide.ru?

Это сайт презентации, докладов, проектов в PowerPoint. Здесь удобно  хранить и делиться своими презентациями с другими пользователями.


Для правообладателей

Яндекс.Метрика