Разделы презентаций


Устойчивость карбанионов

Содержание

Количественные характеристики устойчивостиСH3X + е CH2X+ + 2e +H. В газовой фазе:CH3+

Слайды и текст этой презентации

Слайд 1Теоретические основы органической
химии
Шкалы устойчивости карбокатионов.
Закономерности 1,2-сдвига в карбокатионах.

Лекция 23
(электронно-лекционный курс)


Проф.

Бородкин Г.И.

Теоретические основы органическойхимииШкалы устойчивости карбокатионов.Закономерности 1,2-сдвига в карбокатионах.Лекция 23(электронно-лекционный курс)Проф. Бородкин Г.И.

Слайд 2Количественные характеристики устойчивости
СH3X + е

CH2X+ + 2e

+H.

В газовой фазе:

CH3+ 0 MeO-CH2+ 69
CH3CH2+ 36 MeS-CH2+ 74
Me2CH+ 66 Me2N-CH2+ 106
Me3C+ 84 Me2P-CH2+ 79
CH2=CH-CH2+ 58 NC-CH2+ -10
Ph-CH2+ 55
F-CH2+ 26
Cl-CH2+ 32
Br-CH2+ 51
I-CH2+ 53




36

30

18

Ph, CH2=CH ~ 2Me
F, Cl ~ 1Me

I > Br > Cl > F

Количественные характеристики устойчивостиСH3X  +  е         CH2X+

Слайд 3Устойчивость карбокатионовв растворе
ΔHi, ккал/моль,
ΔHi, ккал/моль,
E. Arnett et al. JACS 1978,

5408

Устойчивость карбокатионовв раствореΔHi, ккал/моль,ΔHi, ккал/моль,E. Arnett et al. JACS 1978, 5408

Слайд 4
E. Arnett et al. JACS 1978, 2563

Сольволиз

E. Arnett et al. JACS 1978, 2563Сольволиз

Слайд 5
Относительная устойчивость карбокатионов
в воде

Относительная устойчивость карбокатионов в воде

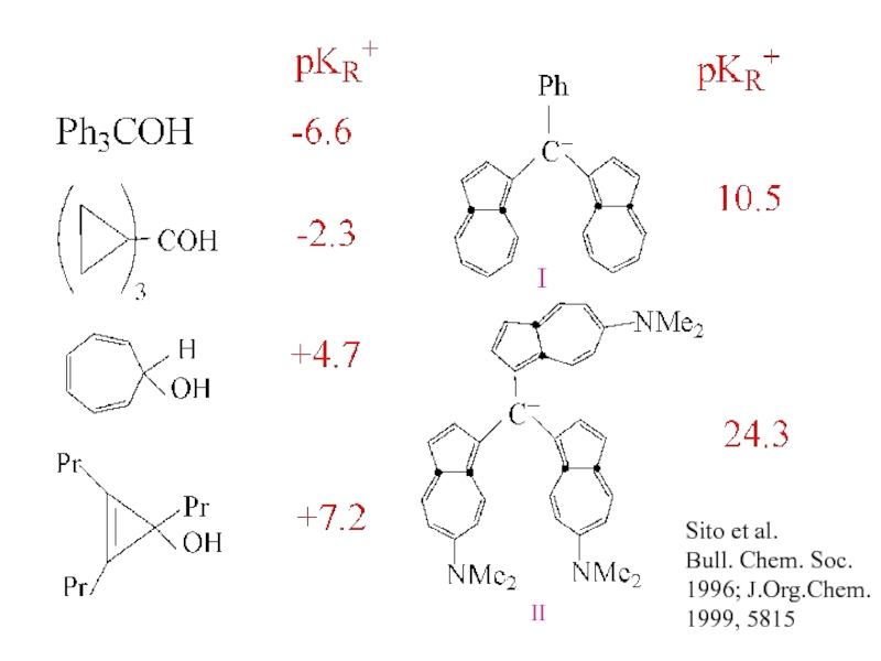
Слайд 6Sito et al.
Bull. Chem. Soc.
1996; J.Org.Chem.
1999, 5815
I
II

Sito et al.Bull. Chem. Soc.1996; J.Org.Chem.1999, 5815III

Слайд 7                                                                                                                 
1,2-Сдвиг
Пинаколиновая перегруппировка
Перегруппирока Демьянова
1,2-Сдвиг

                                                                                                                 1,2-СдвигПинаколиновая перегруппировкаПерегруппирока Демьянова1,2-Сдвиг

Слайд 8Перегруппировка Вагнера-Мейервейна
α−пинен
борнеол
фенхиловый
спирт
Общее название реакций с 1,2-миграцией функциональной
группы к карбкатионному центру


Открыта Е. Е. Вагнером в 1899 г.
и подробно исследована Х. Меервейном в 1910—1927 гг


Перегруппировка Вагнера-Мейервейнаα−пиненборнеолфенхиловыйспиртОбщее название реакций с 1,2-миграцией функциональнойгруппы к карбкатионному центру Открыта Е. Е. Вагнером в 1899 г. и подробно исследована

Слайд 91,2-Сдвиги в карбокатионах
ПМР
пара-
о-
м-
гем-

1,2-Сдвиги в карбокатионахПМРпара-о-м-гем-

Слайд 101. Природа мигранта
R

H CH3 NO2

SO3H

k0, cek-1 5 104 0.1 2 00 6

ΔG= = a + b Ecв. (Me-R) + PAH+ (Me-R)

Me+ сродство AMe+

Eсв. - энергия разрыва связи
PA – сродство к протону

1. Природа мигрантаR        H    CH3

Слайд 112. Остов

2. Остов

Слайд 123. Эффект орбитальной ориентации
благоприятно

3. Эффект орбитальной ориентацииблагоприятно

Слайд 134. Относительная устойчивость карбокатионов

4. Относительная устойчивость карбокатионов

Слайд 15Норборнильный катион
G.A. Olah et al.

Норборнильный катионG.A. Olah et al.

Обратная связь

Если не удалось найти и скачать доклад-презентацию, Вы можете заказать его на нашем сайте. Мы постараемся найти нужный Вам материал и отправим по электронной почте. Не стесняйтесь обращаться к нам, если у вас возникли вопросы или пожелания:

Email: Нажмите что бы посмотреть 

Что такое TheSlide.ru?

Это сайт презентации, докладов, проектов в PowerPoint. Здесь удобно  хранить и делиться своими презентациями с другими пользователями.


Для правообладателей

Яндекс.Метрика