Разделы презентаций


АНАЛИТИЧЕСКАЯ ГЕОМЕТРИЯ Практикум

Практическое занятие 5: Векторное произведение векторов и его приложения

Слайды и текст этой презентации

Слайд 1АНАЛИТИЧЕСКАЯ ГЕОМЕТРИЯ Практикум
Московский государственный технический университет имени Н. Э. Баумана Кафедра

«Прикладная математика»

АНАЛИТИЧЕСКАЯ ГЕОМЕТРИЯ  ПрактикумМосковский государственный технический  университет имени Н. Э. Баумана   Кафедра «Прикладная математика»

Слайд 2Практическое занятие 5: Векторное произведение векторов и его приложения

Практическое занятие 5: Векторное произведение векторов и его приложения

Слайд 3Список задач (Сборник задач по математике для втузов, ч.1. Линейная алгебра

и основы математического анализа/Под ред. А.В.Ефимова и Б.П.Демидовича. – М.:

Наука, 1993)

решаемых в аудитории

2.98 (а, б)
2.99
2.100 (а, б)
2.108
2.109
2.115
2.118
2.120

решаемых дома

2.98(в)
2.100(в, г)
2.105
2.106(в)
2.107
2.111
2.116
2.119

Список задач (Сборник задач по математике для втузов, ч.1. Линейная алгебра и основы математического анализа/Под ред. А.В.Ефимова

Слайд 4Векторное произведение векторов

Векторное произведение векторов

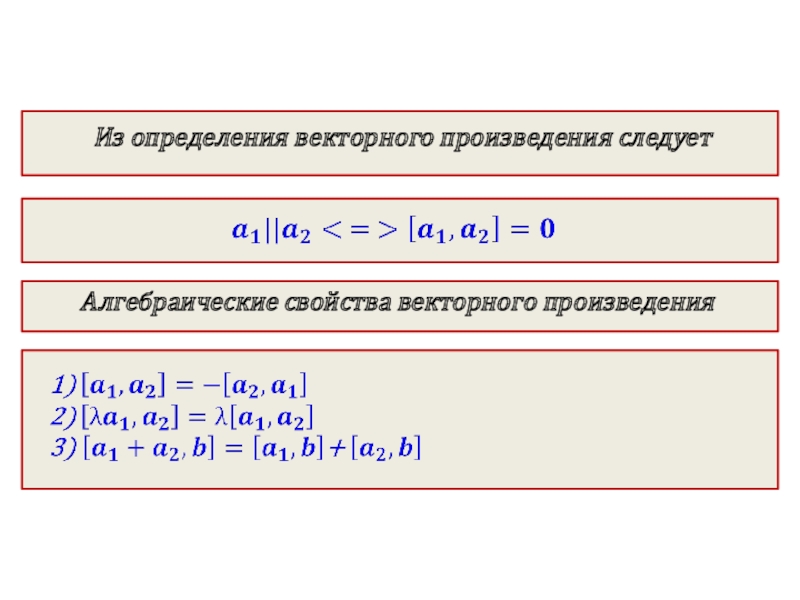
Слайд 8Из определения векторного произведения следует
Алгебраические свойства векторного произведения

Из определения векторного произведения следуетАлгебраические свойства векторного произведения

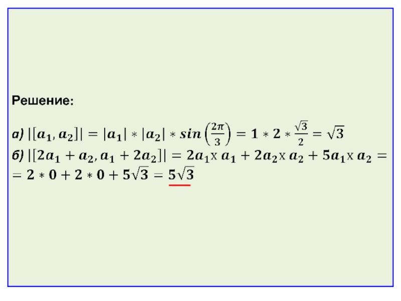
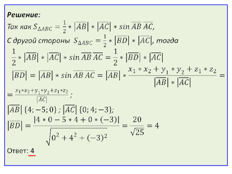
Слайд 11Решение:

Решение:

Слайд 16



(3,-1,1)
(1,2,0)

Решение:


Слайд 17Задача 2.100
Упростить выражения:

а) [i, j + k] - [j, i

+ k] + [k, i + j + k]
б)[a +

b + c, c] + [a + b + c, b] + [b - c, a]
Задача 2.100Упростить выражения:а) [i, j + k] - [j, i + k] + [k, i + j

Слайд 18а) [i, j + k] - [j, i + k]

+ [k, i + j + k] = [i, j]

+ [i, k] - [j, i] - - [j, k] + [k, i] + [k, j] + [k, k] = 2[k, i]
б)[a + b + c, c] + [a + b + c, b] + [b - c, a] = [a, c] + [b, c] + + [c, c] + [a, b] + [b, b] + [c, b] + [b, a] – [c, a] = 2b[a, c]

Решение:

а) [i, j + k] - [j, i + k] + [k, i + j + k]

Слайд 20Решение:

Решение:

Обратная связь

Если не удалось найти и скачать доклад-презентацию, Вы можете заказать его на нашем сайте. Мы постараемся найти нужный Вам материал и отправим по электронной почте. Не стесняйтесь обращаться к нам, если у вас возникли вопросы или пожелания:

Email: Нажмите что бы посмотреть 

Что такое TheSlide.ru?

Это сайт презентации, докладов, проектов в PowerPoint. Здесь удобно  хранить и делиться своими презентациями с другими пользователями.


Для правообладателей

Яндекс.Метрика