Разделы презентаций


ФОРМЫ ПРЕДСТАВЛЕНИЯ ПЕТРОХИМИЧЕСКИХ ДАННЫХ

Содержание

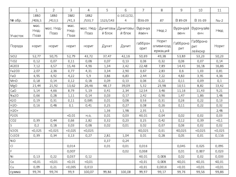
Петрохимические данные представляют в виде таблиц и графиков.Первичный аналитический материал следует представлять в виде таблиц. Это дает возможность использовать его в дальнейших исследованиях.Также широко используются петрохимические коэффициенты.

Слайды и текст этой презентации

Слайд 1ФОРМЫ ПРЕДСТАВЛЕНИЯ ПЕТРОХИМИЧЕСКИХ ДАННЫХ

ФОРМЫ ПРЕДСТАВЛЕНИЯ ПЕТРОХИМИЧЕСКИХ ДАННЫХ

Слайд 2Петрохимические данные представляют в виде таблиц и графиков.
Первичный аналитический материал

следует представлять в виде таблиц. Это дает возможность использовать его

в дальнейших исследованиях.
Также широко используются петрохимические коэффициенты.
Петрохимические данные представляют в виде таблиц и графиков.Первичный аналитический материал следует представлять в виде таблиц. Это дает

Слайд 3Что должно быть в курсовой работе
Таблица первичных анализов.
Для каждого анализа

вычислены петрохимические коэффициенты железистости, коэффициент окисления железа, глиноземистости, агпаитности.
Построены диаграммы:


Диаграмма Петрокомитета или TAS (для всех типов пород)
Диаграммы Харкера (для всех типов пород),
AFM (для ультраосновных, основных, средних пород),
бинарные диаграммы ОКСИД vs MgO (для ультраосновных, основных пород),
Диаграмма NaAlK (для высокоглиноземистых или щелочных пород)
Диаграмма Маниара и Пикколи (для гранитов)
Диаграмма Фроста (для гранитов)
Диаграмма Заварицкого (для всех типов пород, по желанию руководителя)

Что должно быть в курсовой работеТаблица первичных анализов.Для каждого анализа вычислены петрохимические коэффициенты железистости, коэффициент окисления железа,

Слайд 5В примечании к таблице указывается, в каких единицах измерены содержания

компонентов, обозначения (не обн. не опр.);
для каждого образца -

название породы, номер, место отбора, автор коллекции, где выполнен анализ,
В примечании к таблице указывается, в каких единицах измерены содержания компонентов, обозначения (не обн. не опр.); для

Слайд 6Для того, чтобы в наибольшей степени приблизить состав породы к

первичному, надо пересчитать химический анализ на 100% сухого вещества, т.е.

вычесть содержания H2O, CO2, SO3, П.П.П. и пр., а остаток привести к 100%.
Для того, чтобы в наибольшей степени приблизить состав породы к первичному, надо пересчитать химический анализ на 100%

Слайд 7Только петрогенные компоненты

Только петрогенные компоненты

Слайд 8Приведение к 100%

Приведение к 100%

Слайд 9Исходные данные: мас.%

Исходные данные: мас.%

Слайд 10FeO ` = 0,9 Fe2O3 + FeO

FeO ` = 0,9 Fe2O3 + FeO

Слайд 11Простейшими и часто используемыми петрохимическими графиками являются двойные диаграммы в

ортогональной системе координат:
1. ДИАГРАММЫ ХАРКЕРА (Альфред Харкер – английский петролог

начала ХХ века)
2. Кроме диаграмм Харкера используют двойные графики, на которых вдоль одной оси откладываются MgO или другие величины.
Простейшими и часто используемыми петрохимическими графиками являются двойные диаграммы в ортогональной системе координат:1. ДИАГРАММЫ ХАРКЕРА (Альфред Харкер

Слайд 12Диаграммы Харкера

Диаграммы Харкера

Слайд 13Диаграммы Харкера

Диаграммы Харкера

Слайд 14Диаграммы Харкера

Диаграммы Харкера

Слайд 15Bivariate (x-y) diagrams
Harker
diagram
for
Crater
Lake
Figure 8.2. Harker variation diagram for 310

analyzed volcanic rocks from Crater Lake (Mt. Mazama), Oregon Cascades.

Data compiled by Rick Conrey (personal communication).
Bivariate (x-y) diagramsHarkerdiagram forCraterLakeFigure 8.2. Harker variation diagram for 310 analyzed volcanic rocks from Crater Lake (Mt.

Слайд 16Bivariate (x-y) diagrams
Harker
diagram
for
Crater
Lake
Figure 8.2. Harker variation diagram for 310

analyzed volcanic rocks from Crater Lake (Mt. Mazama), Oregon Cascades.

Data compiled by Rick Conrey (personal communication).
Bivariate (x-y) diagramsHarkerdiagram forCraterLakeFigure 8.2. Harker variation diagram for 310 analyzed volcanic rocks from Crater Lake (Mt.

Слайд 17Alkali vs. Silica diagram for Hawaiian volcanics:
Seems to be two

distinct groupings: alkaline and subalkaline
Figure 8.11. Total alkalis vs. silica

diagram for the alkaline and sub-alkaline rocks of Hawaii. After MacDonald (1968). GSA Memoir 116
Alkali vs. Silica diagram for Hawaiian volcanics:	Seems to be two distinct groupings: alkaline and subalkalineFigure 8.11. Total

Слайд 18Для ультраосновных, основных, и средних пород часто используют бинарные диаграммы,

где по оси абсцисс откладывается содержание MgO, а по оси

ординат – прочие петрогенные элементы.
Для ультраосновных, основных, и средних пород часто используют бинарные диаграммы, где по оси абсцисс откладывается содержание MgO,

Слайд 19“Fenner-type” variation diagrams for basaltic glasses from the Afar region

of the MAR. Note different ordinate scales. From Stakes et

al. (1984) J. Geophys. Res., 89, 6995-7028.
Decrease in MgO and relative increase in FeO  early differentiation trend of tholeiites

The major element chemistry of MORBs

“Fenner-type” variation diagrams for basaltic glasses from the Afar region of the MAR. Note different ordinate scales.

Слайд 20Классификационная диаграмма SiO2 – (Na2O+K2O) по существу является диаграммой Харкера,

на которую нанесены средние составы всех магматических пород.
Строго говоря,

сложение Na2O+K2O (мас.%) некорректно, поскольку молекулярные массы Na2O (62) и K2O (94) отличаются в полтора раза. Правильнее представлять эту сумму в молекулярных количествах или вводить поправку: 1,5 Na2O+K2O, мас.% или Na2O+0,7K2O, мас.%.
То есть, классификационная диаграмма предполагает упрощение, недопустимое при строгих пересчетах.
Классификационная диаграмма SiO2 – (Na2O+K2O) по существу является диаграммой Харкера, на которую нанесены средние составы всех магматических

Слайд 21Во многих случаях используются не мас.%, а молекулярные или атомные

количества.
Во всех случаях, когда суммируются содержания разных оксидов или хим.

элементов, эти содержания должны быть выражены в молекулярных или атомных количествах !!!!!!
Во многих случаях используются не мас.%, а молекулярные или атомные количества.Во всех случаях, когда суммируются содержания разных

Слайд 22Молекулярное количество (М)– это величина, пропорциональная числу молекул того или

иного химического соединения в единице массы.

Молекулярное количество (М)– это величина, пропорциональная числу молекул того или иного химического соединения в единице массы.

Слайд 23МОЛЕКУЛЯРНЫЕ МАССЫ НЕКОТОРЫХ ОКСИДОВ

МОЛЕКУЛЯРНЫЕ МАССЫ НЕКОТОРЫХ ОКСИДОВ

Слайд 24Исходные данные: молекулярные количества

Исходные данные: молекулярные количества

Слайд 25Важные петрохимические параметры
Петрохимические коэффициенты могут быть представлены в различной форме

(используются молекулярные или атомные количества!!!)
Коэффициент железистости. Он отражает соотношения Fe

и Mg в силикатах (оливине, пироксенах, амфиболах, биотите и др.), а также относительное количество оксидов железа (магнетит, ильменит и пр.).
 
f1 = FeO`/ (FeO` + MgO) = Fe / (Fe + Mg)
f2 = FeO` / MgO = Fe / Mg
 
Магнезиальное число (М) характеризует долю магния от суммы железа и магния или отношение Mg/Fe 2+:
 
M1 = 1 – f1; M2 = 1/f2

Коэффициент окисления железа
φ1 = Fe203 / (Fe2O3 + FeO)
φ2 = Fe203 / FeO


Важные петрохимические параметрыПетрохимические коэффициенты могут быть представлены в различной форме (используются молекулярные или атомные количества!!!)Коэффициент железистости. Он

Слайд 26Коэффициент агпаитности указывает на наличие или отсутствие в породе натриевых

цветных минералов : пироксена (эгирина) или амфибола (арфведсонита, рибекита и

др.). При наличии этих минералов Ка > 1. Если всё количество Na и К заключено в полевых шпатах, то Ка ≤ 1.
Ка = (Na2O + K2O) / Al2O3 = (Na + K) / Al
 
 

Важные петрохимические параметры

Коэффициент агпаитности указывает на наличие или отсутствие в породе натриевых цветных минералов : пироксена (эгирина) или амфибола

Слайд 27Коэффициент глиноземистости
al1 = Al / (2Ca + Na + K);
al2

= (2Ca + Na + K - Al) / 2Ca.
Этот

параметр отражает степень насыщения пород алюминием относительно стехиометрии полевых шпатов (al1 = 1 и al2 = 0).
В породах с al1 > 1 и al2 < 0, кроме полевых шпатов, содержатся высокоглиноземистые минералы: слюды, силлиманит, кордиерит, гранат и др.
В породах с 0 ≤ al2 ≤ 1, Са, Na и K заключены преимущественно в полевых шпатах.
Если al1 < 1 и al2 > 1, то это указывает на наличие в породе натриевых цветных минералов (при этом Ка > 1).

Важные петрохимические параметры

Коэффициент глиноземистостиal1 = Al / (2Ca + Na + K);al2 = (2Ca + Na + K -

Слайд 28Отношения Na и K:
N1 = Na2O / (Na2O +K2O) =

Na / (Na + K)
N2 = Na2O / K2O =

Na / K
K1 = K / (Na + K) = 1 - N1
K2 = K / Na = 1 / N2


Важные петрохимические параметры

Отношения Na и K:N1 = Na2O / (Na2O +K2O) = Na / (Na + K)N2 = Na2O

Слайд 29Диаграмма AFM
Тройная диаграмма
Молекулярные количества
А = Na2O + K2O
F = FeO`

= 0,9 Fe2O3 + FeO
M = MgO

Привести к 100%
Внимание! Возможна

ложная корреляция!
Диаграмма AFMТройная диаграммаМолекулярные количестваА = Na2O + K2OF = FeO` = 0,9 Fe2O3 + FeOM = MgOПривести

Слайд 30ДИАГРАММА AFM, Wager, Deer, 1939, — тройная, треугольная петрохим. диаграмма,

в которой переменными величинами являются хим. компоненты в окисной форме

(в вес. %): М = MgO, F = FeO, А = (Na2O + К2О). В дальнейшем разл. авторами Д. AFM неоднократно модифицировалась в отношении F, величина которого принималась равной FeO + 0, 9Fe2O3 или FeO + Fe2O3 (Kuno, 1959; Shimasu, 1963). На Д. AFM хорошо различаются серии, в которых преобладает разделение железо-магнезиальных, или салических, м-лов на разных стадиях их образования. Недостатки Д. AFM: 1) трудно различать известково-щелочные и щелочные п., а также магм. комплексы, отличающиеся по кислотности; 2) невозможно установить пути эволюции в сторону натровых или калиевых дифференциатов.
ДИАГРАММА AFM, Wager, Deer, 1939, — тройная, треугольная петрохим. диаграмма, в которой переменными величинами являются хим. компоненты

Слайд 32Диаграмма AFM

Диаграмма AFM

Слайд 34AFM diagram: can further subdivide the subalkaline magma series into

a tholeiitic and a calc-alkaline series
Figure 8.14. AFM diagram showing

the distinction between selected tholeiitic rocks from Iceland, the Mid-Atlantic Ridge, the Columbia River Basalts, and Hawaii (solid circles) plus the calc-alkaline rocks of the Cascade volcanics (open circles). From Irving and Baragar (1971). After Irvine and Baragar (1971). Can. J. Earth Sci., 8, 523-548.
AFM diagram: can further subdivide the subalkaline magma series into a tholeiitic and a calc-alkaline seriesFigure 8.14.

Слайд 35Fe-Ti oxides are restricted to the groundmass, and thus form

late in the MORB sequence
Figure 8.2. AFM diagram for Crater

Lake volcanics, Oregon Cascades. Data compiled by Rick Conrey (personal communication).
Fe-Ti oxides are restricted to the groundmass, and thus form late in the MORB sequenceFigure 8.2. AFM

Слайд 36Классификационная диаграмма Al2O3 - (FeO* + TiO2) – MgO Дженсена

(Jensen, 1976), скорректированная Риквудом (Rickwood, 1989) с полями коматиитовых, толеитовых

и известково-щелочных вулканитов, в мол.%. FeO* = FeO + 0.89 Fe2O3.

Диаграмма Дженсена

Классификационная диаграмма Al2O3 - (FeO* + TiO2) – MgO Дженсена (Jensen, 1976), скорректированная Риквудом (Rickwood, 1989) с

Слайд 37SiO2 vs. FeO total /MgO binary
Diagram of Miyashiro (1974) distinguishing

between tholeiitic and calc-alkaline
igneous rocks.

SiO2 vs. FeO total /MgO binaryDiagram of Miyashiro (1974) distinguishing between tholeiitic and calc-alkalineigneous rocks.

Слайд 38Na2O – Al2O3 – K2O (mol. %)

Na2O – Al2O3

– K2O Тройная диаграмма – позволяет различить высокоглиноземистые и щелочные

породы, а также калийные и натровые серии.

Диаграмма NaAlK

Na2O – Al2O3 – K2O (mol. %) Na2O – Al2O3 – K2O Тройная диаграмма – позволяет различить

Слайд 39Диаграмма Пирса и др. (1977)
Применяется для базальтоидов и средних вулканитов

Диаграмма Пирса и др. (1977)Применяется для базальтоидов и средних вулканитов

Слайд 40Диаграмма О` Коннера (1965)
Применяется для гранитоидов (при содержании кварца не

менее 10%), используются нормативные содержания альбита, анортита и ортоклаза

Диаграмма О` Коннера (1965)Применяется для гранитоидов (при содержании кварца не менее 10%), используются нормативные содержания альбита, анортита

Слайд 41Диаграмма Маниара и Пикколи (1989)
Применяется для гранитоидов, позволяет проводить геотектоническую

классификацию гранитоидов

Диаграмма Маниара и Пикколи (1989)Применяется для гранитоидов, позволяет проводить геотектоническую классификацию гранитоидов

Слайд 42Диаграммы Фроста и др. (2001)
SiO2 vs FeO` / FeO` +

MgO

SiO2 vs Na2O + K2O – CaO



Применяются

для
гранитоидов, гранитогнейсов

Диаграммы Фроста и др. (2001)SiO2 vs FeO` / FeO` + MgOSiO2 vs Na2O + K2O – CaO

Слайд 43Metaluminous

Metaluminous

Обратная связь

Если не удалось найти и скачать доклад-презентацию, Вы можете заказать его на нашем сайте. Мы постараемся найти нужный Вам материал и отправим по электронной почте. Не стесняйтесь обращаться к нам, если у вас возникли вопросы или пожелания:

Email: Нажмите что бы посмотреть 

Что такое TheSlide.ru?

Это сайт презентации, докладов, проектов в PowerPoint. Здесь удобно  хранить и делиться своими презентациями с другими пользователями.


Для правообладателей

Яндекс.Метрика