Разделы презентаций


Функциональные ряды. Продолжение

Вычисление определенных интегралов с помощью рядов

Слайды и текст этой презентации

Слайд 1Функциональные ряды. Продолжение
Лекция № 21

Функциональные ряды. ПродолжениеЛекция № 21

Слайд 2Вычисление определенных интегралов с помощью рядов

Вычисление определенных интегралов с помощью рядов

Слайд 3Решение дифференциальных уравнений с помощью рядов

Решение дифференциальных уравнений с помощью рядов

Слайд 4Тригонометрические ряды
Периодическая кусочно-гладкая функция описывается не степенным, а тригонометрическим рядом.


Периодическая кусочно-гладкая функция – определена и непрерывна на всей оси,

за исключением заданных точек, в которых она терпит разрыв первого рода, и удовлетворяет равенству:

Пример 1. Построить график периодической функции с периодом T = 2

Тригонометрические рядыПериодическая кусочно-гладкая функция описывается не степенным, а тригонометрическим рядом. Периодическая кусочно-гладкая функция – определена и непрерывна

Слайд 5Задача: Если f(x) и F(x) периодические
Ряд Фурье
Любая кусочно-гладкая

периодическая функция с периодом равным 2p представляется в виде сходящегося

тригонометрического ряда:
Задача: Если f(x) и F(x) периодические Ряд Фурье Любая кусочно-гладкая периодическая функция с периодом равным 2p представляется

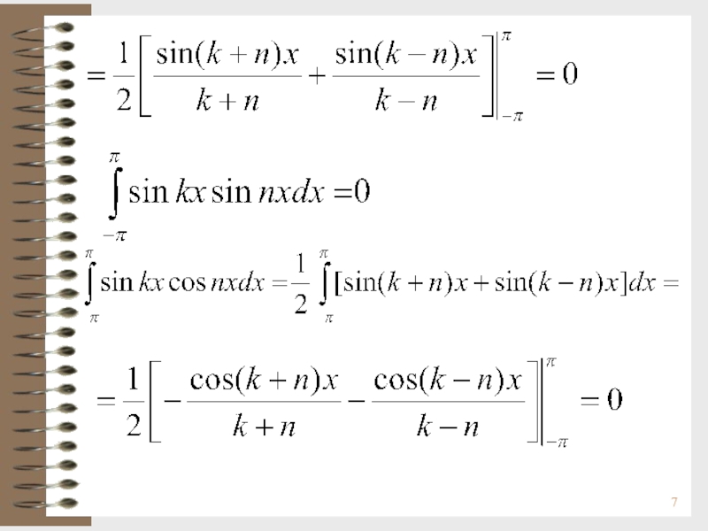
Слайд 6Ортогональность системы тригонометрических функций
Интеграл по отрезку [-, ] от произведения

двух любых функций, входящих в ряд Фурье равен:
нулю, если

в подынтегральную функцию входят различные функции системы
положительному числу, если подынтегральная функция состоит из квадрата любой функции системы
Ортогональность системы тригонометрических функцийИнтеграл по отрезку [-, ] от произведения двух любых функций, входящих в ряд Фурье

Слайд 8Для определения коэффициентов разложения периодической функции в ряд Фурье воспользуемся

методом Эйлера – Фурье: последовательно умножаем обе части разложения на

cos nx, sin nx и интегрируем
Для определения коэффициентов разложения периодической функции в ряд Фурье воспользуемся методом Эйлера – Фурье: последовательно умножаем обе

Слайд 9Коэффициенты ряда Фурье

Коэффициенты ряда Фурье

Слайд 10Сходимость ряда Фурье
Теорема. Пусть функция непрерывна вместе со своей производной

на отрезке [-p, p] или они имеют на этом отрезке

конечное число точек разрыва. Тогда:
ряд Фурье сходится на все числовой прямой.
в каждой точке непрерывности f(x) на интервале [-p, p] сумма ряда равна значению функции f(x) в этой точке.
в каждой точке разрыва сумма ряда равна полусумме односторонних пределов:
Сходимость ряда ФурьеТеорема. Пусть функция непрерывна вместе со своей производной на отрезке [-p, p] или они имеют

Слайд 11 на концах отрезка [-p,p] сумма ряда равна
для любой

точки вне отрезка [-p,p] предыдущие утверждения справедливы для периодического продолжения

функции f(x)
на концах отрезка [-p,p] сумма ряда равна для любой точки вне отрезка [-p,p] предыдущие утверждения справедливы

Слайд 12Ряды Фурье для четных и нечетных функций
f(x) – нечетная
f(x) –

четная

Ряды Фурье для четных и нечетных функцийf(x) – нечетнаяf(x) – четная

Обратная связь

Если не удалось найти и скачать доклад-презентацию, Вы можете заказать его на нашем сайте. Мы постараемся найти нужный Вам материал и отправим по электронной почте. Не стесняйтесь обращаться к нам, если у вас возникли вопросы или пожелания:

Email: Нажмите что бы посмотреть 

Что такое TheSlide.ru?

Это сайт презентации, докладов, проектов в PowerPoint. Здесь удобно  хранить и делиться своими презентациями с другими пользователями.


Для правообладателей

Яндекс.Метрика