Разделы презентаций


Непрямое дезаминирование трансдезаминирование

Содержание

Непрямое дезаминирование трансдезаминирование) – это последовательное осуществление двух реакций:

Слайды и текст этой презентации

Слайд 1

ПРЕОБРАЗОВАНИЕ АМИНОКИСЛОТ ПО РАДИКАЛУ.
ОБМЕН ФЕНИЛАЛАНИНА И ТИРОЗИНА.
Обмен серосодержащих

аминокислот

ПРЕОБРАЗОВАНИЕ АМИНОКИСЛОТ ПО РАДИКАЛУ. ОБМЕН ФЕНИЛАЛАНИНА И ТИРОЗИНА. Обмен серосодержащих аминокислот

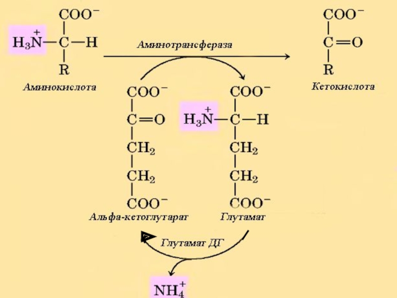
Слайд 2Непрямое дезаминирование

трансдезаминирование) – это последовательное осуществление двух реакций: -трансаминирования любой аминокислоты с альфа-кетоглутарутаратом, -окислительного дезаминирования глутамата с образованием свободного аммиака и регенерацией альфа-кетоглутарата
Непрямое дезаминирование

Слайд 4










КЕТОГЕННЫЕ И ГЛИКОГЕННЫЕ АМИНОКИСЛОТЫ


Слайд 6


R-CH-COOH R-CH2-NH2

+ CO2
NH2
аминокислота биогенный


амин




ДЕКАРБОКСИЛИРОВАНИЕ АМИНОКИСЛОТ

ПФ

ДЕКАРБОКСИЛАЗА

R-CH-COOH         R-CH2-NH2 + CO2  NH2аминокислота

Слайд 7ГИСТАМИН
- участвует в формировании воспалительной реакции (расширение сосудов, покраснение кожи,

отёчность ткани);
- повышает проницаемость капилляров;
- вызывает аллергическую реакцию;
-стимулирует

секрецию желудочного сока;
- сокращает гладкую мускулатуру лёгких, вызывает удушье;

ГИСТАМИН- участвует в формировании воспалительной реакции (расширение сосудов, покраснение кожи, отёчность ткани); - повышает проницаемость капилляров;- вызывает

Слайд 8СЕРОТОНИН
стимулирует сокращение гладкой мускулатуры,
оказывает сосудосуживающий эффект,
регулирует АД, температуру

тела, дыхание,
обладает антидепрессантным действием.

СЕРОТОНИНстимулирует сокращение гладкой мускулатуры, оказывает сосудосуживающий эффект, регулирует АД, температуру тела, дыхание, обладает антидепрессантным действием.

Слайд 9ГАММА-АМИНОМАСЛЯНАЯ КИСЛОТА (ГАМК)
- тормозной медиатор высших отделов мозга
повышает дыхательную

активность нервной
ткани;
- улучшает кровоснабжение головного мозга


ГАММА-АМИНОМАСЛЯНАЯ КИСЛОТА (ГАМК)- тормозной медиатор высших отделов мозга повышает дыхательную активность нервной  ткани; - улучшает кровоснабжение

Слайд 10ИНАКТИВАЦИЯ БИОГЕННЫХ АМИНОВ
1)метилирование под действием метилтрансфераз
2) окисление моноаминооксидазами

ИНАКТИВАЦИЯ БИОГЕННЫХ АМИНОВ1)метилирование под действием метилтрансфераз 2) окисление моноаминооксидазами

Слайд 11 Метаболические превращения аминокислот по радикалу. Особенности преобразований циклических аминокислот (фенилаланина и тирозина)

Метаболические превращения  аминокислот по радикалу. Особенности преобразований циклических аминокислот (фенилаланина и тирозина)

Слайд 12ОБМЕН ФЕНИЛАЛАНИНА
При дефекте фенилаланин-
гидроксилазы фенилаланин подвергается трансаминированию
с α- кетоглутаратом.

ОБМЕН ФЕНИЛАЛАНИНАПри дефекте фенилаланин-гидроксилазы фенилаланин подвергается трансаминированию с α- кетоглутаратом.

Слайд 13Фенилкетонурия

Фенилкетонурия

Слайд 14Т И Р О З И Н















В печени

В надпочеч-
никах

В коже и
радужке

В щитовид-
ной железе

Трансаминиро- Окисление, Окисление, Йодирование,
вание, окисле- декарбоксили- циклизация, конденсация,
ние, образова- рование, син- декарбоксили- синтез тирео-
ние конечных тез катехола- рование, син- идных гормо-
продуктов минов тез меланина нов




Схема превращений тирозина в различных тканях организма

Т И Р О З И Н

Слайд 16Тирозинемия (дефект п-гидроксифенилпируватоксидазы)

Тирозинемия (дефект п-гидроксифенилпируватоксидазы)

Слайд 17Алкаптонурия (дефект гомогентизатоксидазы)
Охроноз при алкаптонурии
Цвет нормальной мочи (слева) и мочи

больного
алкаптонурией (справа) через 24 ч.

Алкаптонурия (дефект гомогентизатоксидазы)Охроноз при алкаптонурииЦвет нормальной мочи (слева) и мочи больного алкаптонурией (справа) через 24 ч.

Слайд 19В коже и радужке



Тирозин




Дигидроксифенилаланин (ДОФА)




Индол-5,6-хинон




Меланин





альбинизм

В коже и радужкеТирозинДигидроксифенилаланин (ДОФА)Индол-5,6-хинонМеланин альбинизм

Слайд 20Альбинизм (дефект тирозиназы)

Альбинизм (дефект тирозиназы)

Слайд 21В щитовидной железе


Тирозин




Монойодтирозин



Дийодтирозин



Трийодтиронин (T3)




Тетрайодтиронин (T4, Тироксин)




микседема,
кретинизм

В щитовидной железеТирозинМонойодтирозинДийодтирозинТрийодтиронин (T3)Тетрайодтиронин (T4, Тироксин) микседема,кретинизм

Слайд 22Myxedema & Cretinism
Myxedema
Cretinism

Myxedema & CretinismMyxedemaCretinism

Слайд 23Реакция трансметилирования- перенос метильной группы метионина на соответствующий акцептор
Донор метильной

группы - активная форма метионина: S-аденозилметионин (SAM) - образующаяся в

результате присоединения метионина к молекуле аденозина

Отщепление метильной группы от SAM и перенос её на соединение-акцептор катализируют ферменты метилтрансферазы. SAM в ходе реакции превращается в S-аденозилгомоцистеин (SAГ).

Реакция трансметилирования- перенос метильной группы метионина на соответствующий акцепторДонор метильной группы - активная форма метионина: S-аденозилметионин (SAM)

Слайд 24СИНТЕЗ КРЕАТИНА
В ПОЧКАХ:
В ПЕЧЕНИ:

СИНТЕЗ КРЕАТИНАВ ПОЧКАХ:В ПЕЧЕНИ:

Слайд 25В МЫШЦАХ И МОЗГЕ

В МЫШЦАХ И МОЗГЕ

Слайд 26Изоферменты креатинкиназы
Инфаркт
миокарда
Патология скелетной
мускулатуры
Травмы, опухоли,

сосудистые
поражения

мозга

ММ

МВ

ВВ

Изоферменты креатинкиназыИнфаркт миокардаПатология скелетной    мускулатурыТравмы, опухоли,   сосудистые   поражения

Обратная связь

Если не удалось найти и скачать доклад-презентацию, Вы можете заказать его на нашем сайте. Мы постараемся найти нужный Вам материал и отправим по электронной почте. Не стесняйтесь обращаться к нам, если у вас возникли вопросы или пожелания:

Email: Нажмите что бы посмотреть 

Что такое TheSlide.ru?

Это сайт презентации, докладов, проектов в PowerPoint. Здесь удобно  хранить и делиться своими презентациями с другими пользователями.


Для правообладателей

Яндекс.Метрика