Разделы презентаций


Определенный интеграл

Пример:

Слайды и текст этой презентации

Слайд 1Определенный интеграл

Определенный интеграл

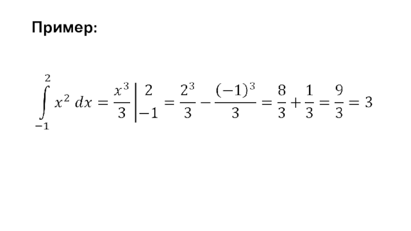
Слайд 2Пример:

Пример:

Слайд 4Пример:

Пример:

Слайд 5Основные свойства определенного интеграла:
1)


2)


3)

Основные свойства определенного интеграла: 1)2)3)

Слайд 6Основные свойства определенного интеграла:
4)

5)

Основные свойства определенного интеграла: 4)5)

Слайд 7Пример:

Пример:

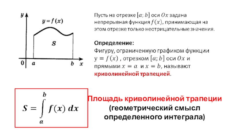
Слайд 8Геометрический смысл определенного интеграла

Геометрический смысл определенного интеграла

Слайд 9Площадь криволинейной трапеции (геометрический смысл
определенного интеграла)

Площадь криволинейной трапеции (геометрический смысл определенного интеграла)

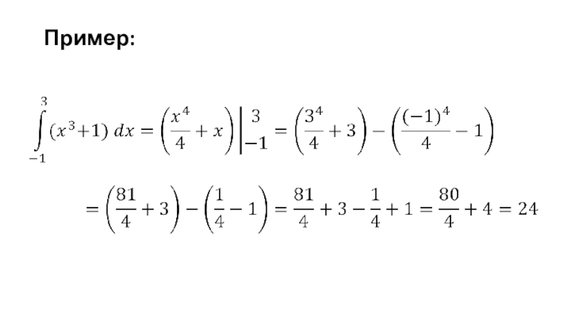
Слайд 10Пример:

Пример:

Обратная связь

Если не удалось найти и скачать доклад-презентацию, Вы можете заказать его на нашем сайте. Мы постараемся найти нужный Вам материал и отправим по электронной почте. Не стесняйтесь обращаться к нам, если у вас возникли вопросы или пожелания:

Email: Нажмите что бы посмотреть 

Что такое TheSlide.ru?

Это сайт презентации, докладов, проектов в PowerPoint. Здесь удобно  хранить и делиться своими презентациями с другими пользователями.


Для правообладателей

Яндекс.Метрика