Разделы презентаций


Спин

Содержание

Экспериментальное обнаружение спинаm — масса q — заряд( γ — магнитно-механическое отношение )( 1/γ — гиромагнитное отношение )

Слайды и текст этой презентации

Слайд 1Приложения математического аппарата

Приложения математического аппарата

Слайд 3Экспериментальное обнаружение спина
m — масса
q — заряд
( γ

— магнитно-механическое отношение )
( 1/γ — гиромагнитное отношение )

Экспериментальное обнаружение спинаm — масса  q — заряд( γ — магнитно-механическое отношение )( 1/γ — гиромагнитное

Слайд 4ВНЕШНИЕ («орбитальные»)
моменты
L и μ
ВНУТРЕННИЕ («собственные»)
моменты
L и

ВНЕШНИЕ («орбитальные») моменты L и μВНУТРЕННИЕ («собственные») моменты L и μ

Слайд 5Микрочастица обладает электрическим зарядом и «собственным» магнитным моментом, который обнаруживается

по влиянию на него внешнего магнитного поля

Микрочастица обладает электрическим зарядом и «собственным» магнитным моментом, который обнаруживается по влиянию на него внешнего магнитного поля

Слайд 6
ΔE = – μ • B = – | μ

|⋅| B |⋅cos α = – μB ⋅ | B

|

Взаимодействие магнитных моментов с неоднородным магнитным полем

В зависимости от направления вектора магнитного момента (и спина) частица выталкивается в область слабого или сильного внешнего поля

ΔE = – μ • B = – | μ |⋅| B |⋅cos α = – μB

Слайд 7Прибор Штерна-Герлаха

Прибор Штерна-Герлаха

Слайд 9
ВЫВОД: Прибор Штерна-Герлаха является спектральным анализатором, предназначенным для измерения двух

наблюдаемых:
Sz — проекция вектора спина на ось z
| S

| — модуль вектора спина


Эти два числа полностью характеризуют наблюдаемую, называемую
СПИНОМ
(или спиновым моментом)

ВЫВОД: Прибор Штерна-Герлаха является спектральным анализатором, предназначенным для измерения двух наблюдаемых: Sz — проекция вектора спина на

Слайд 10
Наблюдаемая Sz имеет дискретный спектр
Число пиков — МУЛЬТИПЛЕТНОСТЬ (N =

1, 2, 3, …)

Наблюдаемая Sz имеет дискретный спектрЧисло пиков — МУЛЬТИПЛЕТНОСТЬ (N = 1, 2, 3, …)

Слайд 11Физические результаты эксперимента:
1) ВЕЛИЧИНА (модуль) вектора спина строго определена природой

частицы и всегда имеет только одно значение, т.е. | S

| = const,
2) ОРИЕНТАЦИЯ вектора спина относительно оси Z может осуществляться только несколькими различными («разрешенными») способами, т.е.
Sz = Sz1, Sz2, . . . , Szn
число которых N (мультиплетность) зависит только от природы частицы,
3) ВЕРОЯТНОСТИ различных ориентаций вектора спина
P1, P2, . . ., Pn
зависят от конкретных условий приготовления объекта со спином.
Физические результаты эксперимента:1) ВЕЛИЧИНА (модуль) вектора спина строго определена природой частицы и всегда имеет только одно значение,

Слайд 12Вспомогательные величины: (для удобства описания)
спиновое квантовое число s
N =

2s + 1
магнитное спиновое квантовое число ms
ms = –s,

–s + 1, –s + 2, . . . , s – 2, s – 1, s


| S |2 = 2 ⋅ s(s + 1)

SZ =  ⋅ ms

Вспомогательные величины: (для удобства описания)спиновое квантовое число s N = 2s + 1магнитное спиновое квантовое число ms

Слайд 13Электрон, протон, нейтрон
N = 2
Дейтрон (ядро дейтерия)
N = 3

Электрон, протон, нейтронN = 2Дейтрон (ядро дейтерия)N = 3

Слайд 14Мультиплетность ( N ) — целое число

Мультиплетность ( N ) — целое число

Слайд 15
Частица со спином 1 ( s = 1 )
Вероятности
Р+ +

Рo + Р– = 1

Частица со спином 1 ( s = 1 )ВероятностиР+ + Рo + Р– = 1

Слайд 16
| Φ 〉 = | +Z 〉 ⋅ Z+ +

| оZ 〉 ⋅ Zо + | –Z 〉 ⋅

Z– =
= | +Z 〉⋅〈 +Z | Φ 〉 + | оZ 〉⋅〈 оZ | Φ 〉 + | –Z 〉⋅〈 –Z | Φ 〉

| Z+ |2 = Р+ | Zо |2 = Ро | Z– |2 = Р–

| Φ 〉 = | +Z 〉 ⋅ Z+ + | оZ 〉 ⋅ Zо + |

Слайд 17〈 +Z | +Z 〉 = 1
〈 oZ |

+Z 〉 = 0
〈 –Z | +Z 〉 =

0

Прибор ШГ на свои собственные состояния не действует

Повторные измерения

〈 +Z | +Z 〉 = 1 〈 oZ | +Z 〉 = 0 〈 –Z |

Слайд 18Векторы базисных состояний любого спектрального анализатора взаимно ортогональны
Собственные векторы любого

оператора
КМ-наблюдаемой взаимно ортогональны
(образуют ортонормированный базис)

Векторы базисных состояний любого спектрального анализатора взаимно ортогональныСобственные векторы любого оператора КМ-наблюдаемой взаимно ортогональны (образуют ортонормированный базис)

Слайд 19Переход к другому базису
| Φ 〉 = | +Y 〉

⋅ Y+ + | оY 〉 ⋅ Yо + |

–Y 〉 ⋅ Y– =
= | +Y 〉⋅〈 +Y | Φ 〉 + | оY 〉⋅〈 оY | Φ 〉 + | –Y 〉⋅〈 –Y | Φ 〉
Переход к другому базису| Φ 〉 = | +Y 〉 ⋅ Y+ + | оY 〉 ⋅

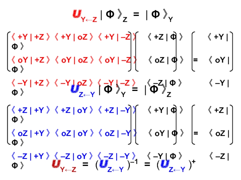
Слайд 21UY←Z | Φ 〉Z = | Φ 〉Y

UZ←Y

| Φ 〉Y = | Φ 〉Z

UY←Z =

(UZ←Y )–1 = (UZ←Y )+

UY←Z | Φ 〉Z = | Φ 〉Y  UZ←Y | Φ 〉Y = | Φ 〉Z

Слайд 22Последовательные измерения
Вектор момента L можно охарактеризовать:
а) проекциями на декартовы

оси:
L = LX • i +

LY • j + LZ • k = (LX, LY, LZ),
б) модулем (длиной):
| L |2 = (LX)2 + (LY)2 + (LZ)2

В классической (МАКРО-) механике все 4 числа (модуль и три проекции) можно определить независимо и проверить экспериментально

Последовательные измеренияВектор момента L можно охарактеризовать: а) проекциями на декартовы оси:    L = LX

Слайд 23В квантовой (МИКРО-) механике любые измерения требуется производить ПОСЛЕДОВАТЕЛЬНО, что

обусловлено конструкцией спектральных анализаторов (например, прибора Штерна-Герлаха)
Поставим два вопроса:
Чему равна

величина проекции SZ ?
Чему равна величина проекции SY ?

Для нахождения ответа нужно провести ДВЕ процедуры измерения с помощью ДВУХ приборов Штерна-Герлаха, ориентированных по осям Z и Y, соответственно.
(источник частиц — один и тот же)

В квантовой (МИКРО-) механике любые измерения требуется производить ПОСЛЕДОВАТЕЛЬНО, что обусловлено конструкцией спектральных анализаторов (например, прибора Штерна-Герлаха)Поставим

Слайд 24
| Φ 〉 = | +Z 〉 ⋅ Z+ +

| оZ 〉 ⋅ Zо + | –Z 〉 ⋅

Z– = (Z+, Zo, Z–)

| Z+ |2 = Р+ ; | Zо |2 = Ро ; | Z– |2 = Р–

| Φ 〉 = | +Z 〉 ⋅ Z+ + | оZ 〉 ⋅ Zо + |

Слайд 25
| Φ 〉 = | +Y 〉 ⋅ Y+ +

| оY 〉 ⋅ Yо + | –Y 〉 ⋅

Y– = (Y+, Yo, Y–)

| Y+ |2 = Р+ ; | Yо |2 = Ро ; | Y– |2 = Р–

| Φ 〉 = | +Y 〉 ⋅ Y+ + | оY 〉 ⋅ Yо + |

Слайд 28Вектор момента (спина) и процедура измерения

Вектор момента (спина) и процедура измерения

Слайд 29
Взаимосвязь функций распределения
μZ • μY ≥ const
СООТНОШЕНИЯ НЕОПРЕДЕЛЕННОСТЕЙ
(В. Гейзенберг)

Взаимосвязь функций распределенияμZ • μY ≥ constСООТНОШЕНИЯ НЕОПРЕДЕЛЕННОСТЕЙ(В. Гейзенберг)

Слайд 30Существуют связанные пары наблюдаемых [A, B], которым невозможно одновременно приписать

точные числовые значения
A = Ai B

= Bj
так как уменьшение неопределенности для одной из таких наблюдаемых ( μA ) вызывает увеличение неопределенности в значении другой ( μB ).

САВ = [A, B ] = A • B – B • A

«ПРИНЦИП НЕОПРЕДЕЛЕННОСТИ» ГЕЙЗЕНБЕРГА

≠ 0 (связаны)

= 0 (не связаны)


Существуют связанные пары наблюдаемых [A, B], которым невозможно одновременно приписать точные числовые значения A = Ai

Слайд 31Причина: не коммутирующие операторы не имеют совпадающих собственных векторов, т.е.

состояние, собственное для прибора А, обязательно будет несобственным для другого

прибора В.
Причина: не коммутирующие операторы не имеют совпадающих собственных векторов, т.е. состояние, собственное для прибора А, обязательно будет

Слайд 32
Повторные измерения наблюдаемой А не изменяют ее величину
Измерение наблюдаемой

В изменяет ранее измеренную и точно известную величину наблюдаемой А
Аналогично,

измерение наблюдаемой А изменяет измеренную и точно известную величину наблюдаемой В
Повторные измерения наблюдаемой А не изменяют ее величину Измерение наблюдаемой В изменяет ранее измеренную и точно известную

Слайд 33Правило: в квантовой механике все наблюдаемые можно разбить на пары:

СОВМЕСТНО-ИЗМЕРИМЫЕ

наблюдаемые, для которых функции распределения не связаны между собой соотношениями

неопределенности и для которых операторы коммутируют

СОВМЕСТНО-НЕИЗМЕРИМЫЕ наблюдаемые, для которых функции распределения связаны между собой соотношениями неопределенности и для которых операторы не коммутируют
Правило: в квантовой механике все наблюдаемые можно разбить на пары:СОВМЕСТНО-ИЗМЕРИМЫЕ наблюдаемые, для которых функции распределения не связаны

Слайд 34Примеры совместно измеримых наблюдаемых:
энергия и модуль вектора спина


[ E , | S

| ] = 0
модуль вектора спина и одна из его проекций:
[ | S | , Sx ] = [ | S | , Sy ] = [ | S | , Sz ] = 0
Примеры совместно-неизмеримых наблюдаемых:
проекции вектора спина,
[ Sx , Sy ] ≠ 0 [ Sx , Sz ] ≠ 0 [ Sy , Sz ] ≠ 0
импульс и координата,
[ x , px ] ≠ 0 [ y , py ] ≠ 0 [ z , pz ] ≠ 0
энергия и время
[ E , t ] ≠ 0
Примеры совместно измеримых наблюдаемых:  энергия и модуль вектора спина      [ E

Обратная связь

Если не удалось найти и скачать доклад-презентацию, Вы можете заказать его на нашем сайте. Мы постараемся найти нужный Вам материал и отправим по электронной почте. Не стесняйтесь обращаться к нам, если у вас возникли вопросы или пожелания:

Email: Нажмите что бы посмотреть 

Что такое TheSlide.ru?

Это сайт презентации, докладов, проектов в PowerPoint. Здесь удобно  хранить и делиться своими презентациями с другими пользователями.


Для правообладателей

Яндекс.Метрика