Разделы презентаций


Коферменты

Содержание

Коферменты и кофакторы Для проявления активности многих ферментов необходимы небелковые факторы. Если они представлены органическими соединениями, то их называют коферментами. Если они представлены неорганическими веществами, то их именуют кофакторами.Это низкомолекулярные

Слайды и текст этой презентации

Слайд 1 Коферменты

Коферменты

Слайд 2Коферменты и кофакторы
Для проявления активности многих ферментов необходимы небелковые

факторы.
Если они представлены органическими соединениями, то их называют

коферментами.
Если они представлены неорганическими веществами, то их именуют кофакторами.
Это низкомолекулярные термостабильные соединения.
Коферменты располагаются в активном центре фермента.
Коферменты и кофакторы Для проявления активности многих ферментов необходимы небелковые факторы. Если они представлены органическими соединениями, то

Слайд 3Функции коферментов
участие в каталитическом превращении субстрата,
промежуточные переносчики групп

от субстрата к ферменту,
присоединение кофермента или кофактора стабилизирует структуру

белка-фермента.
Функции коферментов участие в каталитическом превращении субстрата, промежуточные переносчики групп от субстрата к ферменту, присоединение кофермента или

Слайд 4Химическое строение коферментов
производные водорастворимых витаминов,
производные полипептидов,

производные нуклеотидов и других соединений.

Химическое строение коферментов производные водорастворимых витаминов, производные полипептидов, производные нуклеотидов и других соединений.

Слайд 5Водорастворимые витамины как предшественники коферментов
должны присутствовать в пище и

всасываться в тонком кишечнике в оптимальных количествах.

Водорастворимые витамины как предшественники коферментов должны присутствовать в пище и всасываться в тонком кишечнике в оптимальных количествах.

Слайд 8Витамины
Витамины - пищевые незаменимые факторы, которые, присутствуя в небольших количествах

в пище обеспечивают нормальное развитие организма животных и человека и

адекватную скорость протекания биохимических и физиологических процессов.

ВитаминыВитамины - пищевые незаменимые факторы, которые, присутствуя в небольших количествах в пище обеспечивают нормальное развитие организма животных

Слайд 9Болезни при недостатке витаминов – следствие нарушения обмена веществ из-за

снижения концентрации коферментов.
Авитаминозы – болезни, возникающие при полном отсутствии в

пище или полном нарушении усвоения какого-либо витамина.
Гиповитаминозы - болезни, возникающие из-за недостаточного поступления или неполного усвоения какого-либо витамина.
Болезни при недостатке витаминов – следствие нарушения обмена веществ из-за снижения концентрации коферментов.Авитаминозы – болезни, возникающие при

Слайд 10Причины авитаминозов и гиповитаминозов
Экзогенные:
- отсутствие витамина в пище,
- недостаточное, неполноценное

питание,
Эндогенные:
повышенная потребность при некоторых физиологических и патологических состояниях (беременность,

лактация, токсикоз, кахексия),
усиленный распад витаминов в кишечнике из-за развития в нём микрофлоры,
нарушение всасывания витаминов при заболеваниях кишечника,
болезни печени и поджелудочной железы,
религиозные обряды,
глистные инвазии,
алкоголизм,
врождённые нарушения обмена и функций витаминов.
Причины авитаминозов и гиповитаминозовЭкзогенные:- отсутствие витамина в пище,- недостаточное, неполноценное питание, Эндогенные:повышенная потребность при некоторых физиологических и

Слайд 12Гипервитаминозы
патологические состояния, связанные с поступлением больших количеств витаминов в

организм (А, D, Е, К).

Гипервитаминозы патологические состояния, связанные с поступлением больших количеств витаминов в организм (А, D, Е, К).

Слайд 13Антивитамины
структурные аналоги витаминов,
после введения их в организм

вызывают авитаминозы или гиповитаминозы.

Антивитамины структурные аналоги витаминов, после введения их в организм вызывают авитаминозы или гиповитаминозы.

Слайд 14Классификация коферментов по функции
коферменты оксидоредуктаз,
коферменты трансфераз,
коферменты лиаз.

коферменты изомераз,
коферменты лигаз.

Классификация коферментов по функции коферменты оксидоредуктаз, коферменты трансфераз, коферменты лиаз. коферменты изомераз, коферменты лигаз.

Слайд 15Коферменты оксидоредуктаз


НАД
+

Коферменты оксидоредуктазНАД +

Слайд 16НАД и НАДФ
Никотинамидадениндинуклеотид (НАД) и никотин-амидадениндинуклеотидфосфат (НАДФ) - производные

витамина РР -никотинамида (антипеллагрического витамина).

НАД и НАДФ Никотинамидадениндинуклеотид (НАД) и никотин-амидадениндинуклеотидфосфат (НАДФ) - производные витамина РР -никотинамида (антипеллагрического витамина).

Слайд 17Пеллагра - авитаминоз РР.
дерматит,
деменция,
диарея.
Симптомы пеллагры

наиболее резко выражены у больных с недостаточным белковым питанием. Это

объясняется недостатком триптофана, который является предшественником никотинамида.
Пеллагра - авитаминоз РР. дерматит, деменция, диарея.  Симптомы пеллагры наиболее резко выражены у больных с недостаточным

Слайд 18Пищевые источники витамина РР
дрожжи,
продукты животного происхождения,
гречиха,
грибы.

Пищевые источники витамина РР дрожжи, продукты животного происхождения, гречиха, грибы.

Слайд 19Обратимая окислительно-восстановительная реакция, катализируемая НАД- и НАДФ-зависимыми дегидрогеназами

К НАД

присоединяются 2 электрона и один протон, второй протон

остаётся в растворе для подкисления.

+

Обратимая окислительно-восстановительная реакция, катализируемая НАД- и НАДФ-зависимыми дегидрогеназами К НАД   присоединяются 2 электрона и один

Слайд 20Флавиновые коферменты
Флавинмононуклеотид (ФМН) и
флавинадениндинуклеотид (ФАД) являются производными
витамина В2

(диметилизоаллоксазинрибитола).

Флавиновые коферментыФлавинмононуклеотид (ФМН) и флавинадениндинуклеотид (ФАД) являются производными витамина В2 (диметилизоаллоксазинрибитола).

Слайд 21ФАД представляет собой соединение ФМН с АМФ

ФАД представляет собой соединение ФМН с АМФ

Слайд 22Обратимая окислительно-восстановительная реакция, катализируемая ФМН- и ФАД-зависимыми дегидрогеназами

Обратимая окислительно-восстановительная реакция, катализируемая ФМН- и ФАД-зависимыми дегидрогеназами

Слайд 23Дефицит витамина В2
расстройство пищеварения и нервной системы,
хронические гастриты

и колиты,
общая слабость,
кожные заболевания,
снижает сопротивляемость болезням.

Дефицит витамина В2 расстройство пищеварения и нервной системы, хронические гастриты и колиты,общая слабость, кожные заболевания, снижает сопротивляемость

Слайд 24Пищевые источники витамина В2
капуста,
горох,
яблоки,
зеленая фасоль,
помидоры,


репа,
дрожжи,
яйца,
печень,
мясо,
молоко.

Пищевые источники витамина В2 капуста, горох, яблоки, зеленая фасоль, помидоры, репа, дрожжи, яйца, печень, мясо, молоко.

Слайд 25Коэнзим Q (убихинон)
представляет собой 2,3-диметоксихинон-5-метил, замещенный в 6-м положении

полиизопреновой цепью.





В дыхательной цепи окисленная форма убихинона в результате

внутримолекулярного перемещения двойных связей переходит в восстановленную форму.


Коэнзим Q (убихинон) представляет собой 2,3-диметоксихинон-5-метил, замещенный в 6-м положении полиизопреновой цепью. В дыхательной цепи окисленная форма

Слайд 26Глутатион
трипептид γ-глутамилцистеинилглицин (GSН),

Глутатионтрипептид γ-глутамилцистеинилглицин (GSН),

Слайд 27В окисленной форме глутатион - гексапептид (GSSG)

В окисленной форме глутатион - гексапептид (GSSG)

Слайд 28Восстановление пероксида водорода или органических пероксидов RООН с участием антиоксидантного

фермента глутатионпероксидазы:

Восстановление пероксида водорода или органических пероксидов RООН с участием антиоксидантного фермента глутатионпероксидазы:

Слайд 29Как кофермент
GSН участвует в реакции транспорта ами­нокислот через мембраны

клеток.
Процесс катализируется трансферазным ферментом γ-глутамилтранспептидазой.

Как кофермент GSН участвует в реакции транспорта ами­нокислот через мембраны клеток. Процесс катализируется трансферазным  ферментом γ-глутамилтранспептидазой.

Слайд 30Липоевая кислота
Как кофермент, амид липоевой кислоты участвует в окислительном декарбоксилировании

пировиноградной кислоты в пируватдегидрогеназном комплексе и α-кетоглутаратдегидрогеназной реакции в цикле

трикарбоновых кислот (ЦТК).
Окисленная форма содержит дисульфидную связь, которая разрывается при восстановлении с образованием сульфгидрильных групп SН.
Липоевая кислотаКак кофермент, амид липоевой кислоты участвует в окислительном декарбоксилировании пировиноградной кислоты в пируватдегидрогеназном комплексе и α-кетоглутаратдегидрогеназной

Слайд 31Липоевая кислота в виде амида представлена окисленной и восстановленной формами,

обратимо превращаемыми ферментом (Е) липоамиддегидрогеназой.

Липоевая кислота в виде амида представлена окисленной и восстановленной формами, обратимо превращаемыми ферментом (Е) липоамиддегидрогеназой.

Слайд 32Порфириновые коферменты
В цитохромах и каталазе изменения валентности

Fе порфириновых коферментов (гема и его производных) связаны с обратимой

окислительно-восстановительной реакцией, которую они катализируют.





Электрон от донора присоединяется к Fе гема.


3+

Порфириновые коферменты В цитохромах и каталазе изменения   валентности Fе порфириновых коферментов (гема и его производных)

Слайд 33Аскорбиновая кислота (витамин С)

Аскорбиновая кислота (витамин С)

Слайд 34Пищевые источники витамина С
цитрусовые,
шиповник,
капуста,
черная смородина,
редька,
картофель,


помидоры.

Пищевые источники витамина С цитрусовые, шиповник, капуста, черная смородина, редька,картофель, помидоры.

Слайд 35Витамин С

Витамин С

Слайд 36Функции витамина С
стимулирует работу ЦНС,
улучшает общее самочувствие, настроение,

повышает сопротивляемость организма,
участвует в окислительно-восстановительных реакциях,
нормализует обмен холестерина,

способствует усвоению железа и нормальному кроветворению,
укрепляет кровеносные сосуды, кости, заживляет раны, участвуя в синтезе коллагена,
антиоксидант.
Функции витамина С стимулирует работу ЦНС, улучшает общее самочувствие, настроение, повышает сопротивляемость организма, участвует в окислительно-восстановительных реакциях,

Слайд 37Как кофактор аскорбиновая кислота
участвует совместно с кофактором Fе

в созревании коллагена,
когда почти половина остатков пролина проколлагена после
синтеза на

рибосоме гидроксилируется в гидроксипролин с
помощью пролилгидроксилазы, а остаток лизина гидроксилируется аналогично в гидроксилизин с помощью лизилгидроксилазы.

2+



Как кофактор аскорбиновая кислота участвует совместно с кофактором Fе  в созревании коллагена,когда почти половина остатков пролина

Слайд 38Враги витамина С
За 1 час стресса уничтожается
дневная норма

витамина С.


Каждая сигарета «крадёт»
у организма 10 мг витамина

С.
Враги витамина С За 1 час стресса уничтожается дневная норма витамина С.Каждая сигарета «крадёт» у организма 10

Слайд 39 КОФЕРМЕНТЫ ТРАНСФЕРАЗ
3 формы витамина В6:
пиридоксаль,
пиридоксамин,

пиридоксин.


КОФЕРМЕНТЫ ТРАНСФЕРАЗ3 формы витамина В6: пиридоксаль, пиридоксамин, пиридоксин.

Слайд 40Два кофермента образуются при фосфорилировании пиридоксаля и пиридоксамина.

Два кофермента образуются при фосфорилировании пиридоксаля и пиридоксамина.

Слайд 41Основные пищевые источники витамина В6
каши из недробленых круп,
хлеб

из муки грубого помола,
мясо,
рыба,
печень,
большинство растительных продуктов,
дрожжи.



Основные пищевые источники витамина В6 каши из недробленых круп, хлеб из муки грубого помола, мясо, рыба, печень,большинство

Слайд 42Дефицит пиридоксина может вызвать
отит,
дерматит.

Дефицит пиридоксина может вызвать отит, дерматит.

Слайд 43Пиридоксальфосфат –кофермент трансаминаз

Пиридоксальфосфат –кофермент трансаминаз

Слайд 44Пиридоксальфосфат –кофермент
аминотрансфераз,
декарбоксилаз.
при неокислительном дезаминировании серина и треонина,

при окислении триптофана,
при превращении серосодержащих АМК,
при взаимопревращении

серина и глицина,
в синтезе γ-аминолевулиновой кислоты.
Пиридоксальфосфат –кофермент аминотрансфераз, декарбоксилаз. при неокислительном дезаминировании серина и треонина, при окислении триптофана, при превращении серосодержащих АМК,

Слайд 45Тетрагидрофолиевая кислота (ТГФК)
образуется из витамина фолиевой кислоты при присоединении

4 атомов водорода к 5, 8 атомам азота и к

6, 7 атомам углерода за счет разрыва двух двойных связей.


Тетрагидрофолиевая кислота (ТГФК) образуется из витамина фолиевой кислоты при присоединении 4 атомов водорода к 5, 8 атомам

Слайд 46ТГФК

ТГФК

Слайд 47Фолиевая кислота содержится в
салате,
капусте,
шпинате,
петрушке,
томате,
злаках,


печени,
говядине,
яичном желтке.

Фолиевая кислота содержится в салате, капусте, шпинате, петрушке, томате, злаках, печени, говядине, яичном желтке.

Слайд 48При дефиците фолиевой кислоты
у человека развивается макроцитарная анемия.

При дефиците фолиевой кислоты у человека развивается макроцитарная анемия.

Слайд 49ТГФК участвует в
синтезе пуринов и пиримидинов,
обмене АМК (взаимопревращении

серина и глицина),
биосинтезе метионина.

ТГФК участвует в синтезе пуринов и пиримидинов, обмене АМК (взаимопревращении серина и глицина), биосинтезе метионина.

Слайд 50ТГФК участвует в ферментном катализе,

связанном с переносом одноуглеродных остатков:
формильного –СОН,

метильного –СН3,
метиленового –СН2–,
гидроксиметильного –СН2ОН,
метенильного >СН–,
формиминового – CH=NH.
Эти остатки присоединяются
к ТГФК по 5 и (или)
10 атомам азота.


ТГФК участвует в ферментном катализе,       связанном с переносом одноуглеродных остатков: формильного

Слайд 51Аметоптерин
В комплексной терапии злокачественного острого лейкоза у детей

назначают антиметаболит фолиевой кислоты аметоптерин (метотрексат).
Аметоптерин конкурирует с фолиевой

кислотой за фермент, так как похож на неё, но коферментом быть не может, поскольку отличается от нее.
Он ингибирует перенос одноуглеродных остатков, необходимых для синтеза нуклеиновых кислот, содержащихся в большом количестве в клетках белой крови, и тем самым снижает их число, резко повышенное при ряде форм острого лейкоза.


Аметоптерин  В комплексной терапии злокачественного острого лейкоза у детей назначают антиметаболит фолиевой кислоты аметоптерин (метотрексат). Аметоптерин

Слайд 52Аденозинтрифосфорная кислота
высокоэнергетическое (макроэргическое) соединение,

Аденозинтрифосфорная кислота высокоэнергетическое (макроэргическое) соединение,

Слайд 53Структура АТФ

Структура АТФ

Слайд 54При химических реакциях энергия макроэргических связей АТФ может
переноситься

на другие соединения, превращая их в макроэргические,
использоваться при

синтезах,
использоваться при сокращении мышц,
использоваться при активном транспорте,
использоваться при нервном возбуждении.
При химических реакциях энергия макроэргических связей АТФ может переноситься на другие соединения, превращая их в макроэргические, использоваться

Слайд 55Как кофермент, АТФ участвует в реакциях 4 типов:
1.

Перенос ортофосфата (в гликолизе, катализируемый гексокиназой с участием

кофактора Mg ):



2+


Как кофермент, АТФ участвует в реакциях 4 типов: 1. Перенос  ортофосфата (в  гликолизе, катализируемый гексокиназой

Слайд 562. Перенос пирофосфата (на витамин В1, при синтезе ко-фермента тиаминдифосфата,

катализируемом тиаминкиназой):


2. Перенос пирофосфата (на витамин В1, при синтезе ко-фермента тиаминдифосфата, катализируемом тиаминкиназой):

Слайд 573. Перенос аденилата (при активировании

α-аминокислот, катализируемом аминоацил-тРНК-синтетазами в биосинтезе белка):

3. Перенос аденилата (при активировании        α-аминокислот, катализируемом аминоацил-тРНК-синтетазами в биосинтезе

Слайд 584. Перенос аденозина (при синтезе донора метильных групп

S-аденозилметионина, катализируемом метионинадено-зилтрансферазой):

4. Перенос аденозина  (при синтезе донора  метильных групп S-аденозилметионина, катализируемом метионинадено-зилтрансферазой):

Слайд 59 3'- фосфоаденозин-5'-фосфосульфат (ФАФС)
переносчик сульфата,
участвует в обезвреживании токсических соединений,

в частности, продуктов гниения аминокислот в кишечнике.

3'- фосфоаденозин-5'-фосфосульфат (ФАФС)переносчик сульфата, участвует в обезвреживании токсических соединений, в частности, продуктов гниения аминокислот в кишечнике.

Слайд 60 Уридиндифосфатглюкоза (УДФ-глюкоза)
участвует в синтезе гликогена и превращениях гексоз,


Уридиндифосфатглюкоза (УДФ-глюкоза)участвует в синтезе гликогена и превращениях гексоз,

Слайд 61Уридиндифосфатглюкуронид (УДФ-глюкуронид)
участвует в обезвреживании токсических продуктов, обезвреживании билирубина.

Уридиндифосфатглюкуронид (УДФ-глюкуронид) участвует в обезвреживании токсических продуктов, обезвреживании билирубина.

Слайд 62Цитидиндифосфатхолин (ЦДФ-холин)
принимает участие в синтезе мембранного фосфатидилхолина:

Цитидиндифосфатхолин (ЦДФ-холин)принимает участие  в  синтезе  мембранного фосфатидилхолина:

Слайд 63Коэнзим А
Состав:
пантотеновая кислота,
аденозин-3'-фосфат-5'-пирофосфат,
тиоэтаноламин.

Коэнзим А Состав: пантотеновая кислота, аденозин-3'-фосфат-5'-пирофосфат, тиоэтаноламин.

Слайд 64КоА - участник важнейших метаболических процессов
окислительного декарбоксилирования

α-кетокислот,
β-окисления и биосинтеза жирных кислот,
цикла трикарбоновых кислот (ЦТК),
синтеза нейтрального жира, фосфатидов, холестерина, ацетилхолина, порфиринов, стероидов.
КоА - участник важнейших метаболических процессов окислительного декарбоксилирования

Слайд 65Синтез ацетилхолина, катализируемый ацетил-КоА-ацетилтрансферазой:

Синтез ацетилхолина, катализируемый ацетил-КоА-ацетилтрансферазой:

Слайд 66Синтез цитрата в ЦТК

Синтез цитрата в ЦТК

Слайд 67Ацетил-КоА связывает в единый "метаболический котел" углеводный, белковый и жировой

обмены

Ацетил-КоА связывает в единый

Слайд 68КОФЕРМЕНТЫ ЛИАЗ
ТПФ,
КоА,
ФП,
витамин К,

КОФЕРМЕНТЫ ЛИАЗ ТПФ, КоА, ФП, витамин К,

Слайд 69 Тиаминдифосфат (ТДФ)
является производным витамина В1, (тиамин, антиневритный витамин),

образуется из тиамина при фосфорилировании за счет АТФ.

Тиаминдифосфат (ТДФ) является производным витамина В1, (тиамин, антиневритный витамин), образуется из тиамина при фосфорилировании за счет

Слайд 70Тиаминдифосфат (ТДФ)

Тиаминдифосфат (ТДФ)

Слайд 71Содержится тиамин в
отрубях злаков,
картофеле,
дрожжах,
печени.

Содержится тиамин вотрубях злаков,картофеле,дрожжах, печени.

Слайд 72Авитаминоз В1
бери-бери (полиневрит).

Авитаминоз В1 бери-бери (полиневрит).

Слайд 73Биологическая роль ТДФ
окислительное декарбоксилирование ПВК,
окислительное декарбоксилирование α-кетоглутарата,
кофермент

транскетолазы,
кофермент пируватдекабоксилазы,
кофермент ДГ γ-оксиглутаровой кислоты.

Биологическая роль ТДФ окислительное декарбоксилирование ПВК, окислительное декарбоксилирование α-кетоглутарата, кофермент транскетолазы, кофермент пируватдекабоксилазы, кофермент ДГ γ-оксиглутаровой кислоты.

Слайд 74Витамин К
К классу лиаз относится γ-глутаматкарбоксилаза, кофактором которой служит

жирорастворимый витамин К (антигеморрагический).

Витамин К К классу лиаз относится γ-глутаматкарбоксилаза, кофактором которой служит жирорастворимый витамин К (антигеморрагический).

Слайд 75Пищевые источники витамина К
крапива.
Человек получает достаточное количество витамина

К с пищей, а также за счет синтеза кишечной микрофлорой.
Недостаточность

витамина К может наступить из-за нарушения всасывания жиров в кишечнике, вместе с кото­рыми всасывается витамин К.
Пищевые источники витамина К крапива. Человек получает достаточное количество витамина К с пищей, а также за счет

Слайд 76Недостаточность витамина К
нарушается свертывание крови,
возникает кровотечение.
Для предупреждения

и лечения геморрагии назначают витамин К.

Недостаточность витамина К нарушается свертывание крови, возникает кровотечение. Для предупреждения и лечения геморрагии назначают витамин К.

Слайд 77Различают
витамин К1 (филлохинон) в растениях,
витамин К2 (метахинон) в

тканях животных,
витамин К3 – искусственно синтезированный водорастворимый витамин.

Различают витамин К1 (филлохинон) в растениях, витамин К2 (метахинон) в тканях животных, витамин К3 – искусственно синтезированный

Слайд 78Цикл витамина К R и R΄ - полипептидные цепи белка, R" -

полиизопреноидный радикал

Цикл витамина К R и R΄ - полипептидные цепи белка, R

Слайд 79Цикл витамина К
начинается с превращения гидрохинона в 2,3-эпоксид

гаммаглутаматкарбоксилазой и монооксигеназой,
затем 2,3-эпоксиддредуктаэа преобразует 2,3-эпоксид в хинон,
хинонредуктаза воссоздает

исходную форму гидрохинона.
В результате цикла витамина К глутамат в белках трансформируется в γ-карбоксиглутамат (Gla).
Протромбин приобретает 10 остатков Gla.
Карбоксилы присоединяют катион кальция, который связывается с анионной группой фосфолипидов.
Это способствует образованию кровяного сгустка.
Цикл витамина К начинается с превращения гидрохинона в 2,3-эпоксид гаммаглутаматкарбоксилазой и монооксигеназой, затем 2,3-эпоксиддредуктаэа преобразует 2,3-эпоксид в

Слайд 80Патология минерализации костей наблюдается при
генетическом дефекте γ-глутаматкарбоксилазы,
применении антивитаминов

К (дикумарин) в первые месяцы беременности при тромбозах вен нижних

конечностей и таза.


Патология минерализации костей наблюдается при генетическом дефекте γ-глутаматкарбоксилазы, применении антивитаминов К (дикумарин) в первые месяцы беременности при

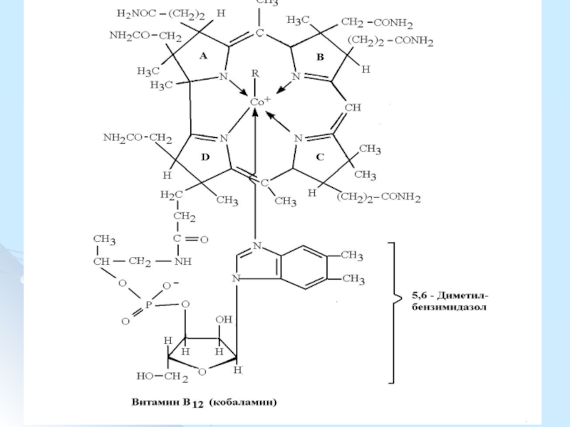
Слайд 81КОФЕРМЕНТЫ ИЗОМЕРАЗ Кобамидные коферменты
являются производными витамина В12 (кобаламина).
В центре

его молекулы атом кобальта соединен с атомами азота 4 восстановленных

пиррольных колец, образующих корриновое ядро.

КОФЕРМЕНТЫ ИЗОМЕРАЗ  Кобамидные коферментыявляются производными витамина В12 (кобаламина). В центре его молекулы атом кобальта соединен с

Слайд 83В ходе выделения витамина с помощью цианидов атом кобальта присоединяет

анион СN¯, но при превращении в кофермент цианкобаламин теряет СN¯,место

которого занимает 5'-дезоксиаденозил (дезоксиаденозилкобаламин), либо метил (метилкобаламин).
В ходе выделения витамина с помощью цианидов атом кобальта присоединяет анион СN¯, но при превращении в кофермент

Слайд 84Кобамидные коферменты
отщепляют от субстратов одноуглеродные остатки и передают ТГФК,

а затем другому субстрату,
работают ТГФК и цианкобаламин совместно.

Кобамидные коферменты отщепляют от субстратов одноуглеродные остатки и передают ТГФК, а затем другому субстрату, работают ТГФК и

Слайд 85Биологическая роль
как кофермент в реакциях метилирования (реакции синтеза метионина),

кофермент изомераз в обмене липидов,
образование из рибозы дезоксирибозы,
для

превращения фолиевой кислоты в фолиновую,
влияет на созревание эритроцитов.
Биологическая роль как кофермент в реакциях метилирования (реакции синтеза метионина), кофермент изомераз в обмене липидов, образование из

Слайд 86Витамин В12 содержится в
печени,
мясе,
рыбе.
Витамин В12 синтезируют микроорганизмы.

Витамин В12 содержится в печени, мясе, рыбе.Витамин В12 синтезируют микроорганизмы.

Слайд 87В печень Витамин В12 поступает с животной пищей или синтезируется

микрофлорой кишечника при условии доставки с пищей кобальта.
Всасывание витамина В12

в кишечнике требует выработки в желудке внутреннего фактора Касла (гастромукопротеина) и связывания с ним витамина В12.
В печень Витамин В12 поступает с животной пищей или синтезируется микрофлорой кишечника при условии доставки с пищей

Слайд 88Недостаток витамина В12 вызывает
злокачественную макроцитарную мегалобластическую анемию,
нарушения нервной

системы,
снижение кислотности желудочного сока.

Недостаток витамина В12 вызывает злокачественную макроцитарную мегалобластическую анемию, нарушения нервной системы, снижение кислотности желудочного сока.

Слайд 89КОФЕРМЕНТЫ ЛИГАЗ (СИНТЕТАЗ) Карбоксибиотин

КОФЕРМЕНТЫ ЛИГАЗ (СИНТЕТАЗ) Карбоксибиотин

Слайд 90Верхняя часть молекулы биотина представлена мочевиной, нижняя часть - тиофеном,

боковая цепь - валериановой кислотой.
Для образования кофермента карбоксибиотина, связанного

с энзимом E требуется НСО3¯, энергия АТФ и фермент (Е).
Верхняя часть молекулы биотина представлена мочевиной, нижняя часть - тиофеном, боковая цепь - валериановой кислотой. Для образования

Слайд 91Карбоксибиотин участвует
во многих реакциях карбоксилирования, например, при синтезе оксалоацетата

из пирувата,





при синтезе жирных кислот.

Карбоксибиотин участвует во многих реакциях карбоксилирования, например, при синтезе оксалоацетата  из  пирувата,  при синтезе

Слайд 92Биотин содержится в
горохе,
сое,
луке,
цельной пшеничной муке,
печени,


яичном желтке.

Биотин содержится в горохе, сое, луке, цельной пшеничной муке, печени, яичном желтке.

Слайд 93Авитаминоз Н
проявляется в виде дерматита, но наблюдают его редко,

можно вызвать избыточным потреблением белка куриного яйца, содержащего белок авидин,

необратимо связывающий биотин.
Авитаминоз Н проявляется в виде дерматита, но наблюдают его редко, можно вызвать избыточным потреблением белка куриного яйца,

Слайд 94 НЕОРГАНИЧЕСКИЕ АНИОНЫ
Хлор
Сl¯ необходим для каталитической активности α-амилазы,

катализирующей гидролиз α-1,4 – гликозидных связей, между остатками глюкозы в

крахмале и гликогене в пищеварительном тракте.
НЕОРГАНИЧЕСКИЕ АНИОНЫ ХлорСl¯ необходим для каталитической активности α-амилазы, катализирующей гидролиз α-1,4 – гликозидных связей, между

Слайд 95Фтор
F¯ активирует аденилатциклазу, превращающую АТФ в циклический 3',5'-АМФ (цАМФ).
F¯ активирует

фосфодиэстеразу циклического 3',5' ГМФ (цГМФ), превращающую, его в ГМФ.
F¯ ингибирует

енолазу зубного налета и слюны, что приводит к падению образования молочной кислоты, являющейся конечным продуктом гликолиза.
ФторF¯ активирует аденилатциклазу, превращающую АТФ в циклический 3',5'-АМФ (цАМФ).F¯ активирует фосфодиэстеразу циклического 3',5' ГМФ (цГМФ), превращающую, его

Слайд 96Селен
Se, введенный в составе селенита SеО3¯, необходим

для
антиоксидантного действия фермента глутатионпероксидазы по отношению к органическим

пероксидам и пероксиду водорода.
Se, введенный в составе селенита, является кофактором
формиатдегидрогеназы, катализирующей окисление формальдегида в формиат в реакции, сопряженной с восстановлением НАД в НАДН+Н.
Se, введенный в составе селенита, является кофактором глицинредуктазы, которая в реакции восстановительного дезаминирования, катализирует перенос электронов от восстановителей на глицин с образованием аммиака и ацетата

+

+

СеленSe, введенный в составе  селенита  SеО3¯,  необходим  для антиоксидантного действия фермента глутатионпероксидазы по

Обратная связь

Если не удалось найти и скачать доклад-презентацию, Вы можете заказать его на нашем сайте. Мы постараемся найти нужный Вам материал и отправим по электронной почте. Не стесняйтесь обращаться к нам, если у вас возникли вопросы или пожелания:

Email: Нажмите что бы посмотреть 

Что такое TheSlide.ru?

Это сайт презентации, докладов, проектов в PowerPoint. Здесь удобно  хранить и делиться своими презентациями с другими пользователями.


Для правообладателей

Яндекс.Метрика