Разделы презентаций


Лекция 7

Содержание

Температурная зависимость электросопротивленияТемперату́рный коэффицие́нт электри́ческого сопротивле́ния - величина, равная относительному изменению электрического сопротивления участка электрической цепи или удельного сопротивления вещества при изменении температуры на единицу. Температурный коэффициент сопротивления характеризует зависимость электрического

Слайды и текст этой презентации

Слайд 1Лекция 7
Температурная зависимость электросопротивления.
Термоэлектрические явления

Лекция 7Температурная зависимость электросопротивления.Термоэлектрические явления

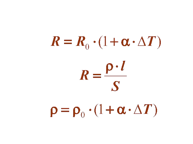
Слайд 2Температурная зависимость электросопротивления
Температу́рный коэффицие́нт электри́ческого сопротивле́ния - величина, равная относительному

изменению электрического сопротивления участка электрической цепи или удельного сопротивления вещества

при изменении температуры на единицу.

Температурный коэффициент сопротивления характеризует зависимость электрического сопротивления от температуры и измеряется в кельвинах в минус первой степени (K−1).
Температурная зависимость электросопротивленияТемперату́рный коэффицие́нт электри́ческого сопротивле́ния - величина, равная относительному изменению электрического сопротивления участка электрической цепи или

Слайд 4Температурная зависимость электросопротивления

Температурная зависимость электросопротивления

Слайд 5Температурная зависимость удельного сопротивления металлов

Температурная зависимость удельного сопротивления металлов

Слайд 6Температурная зависимость сопротивления электролитов

Температурная зависимость сопротивления электролитов

Слайд 7Температурная зависимость удельной электропроводности диэлектриков
Wa – энергия активации носителей зарядов
Wa

> 2 эВ – изолятор
Wa < 2 эВ – полупроводник

Температурная зависимость удельной электропроводности диэлектриковWa – энергия активации носителей зарядовWa > 2 эВ – изоляторWa < 2

Слайд 8Температурная зависимость удельного сопротивления диэлектриков

Температурная зависимость удельного сопротивления диэлектриков

Слайд 9Температурная зависимость удельной электропроводности легированных полупроводников

Температурная зависимость удельной электропроводности легированных полупроводников

Слайд 10Температурная зависимость электросопротивления
Для большинства металлов температурный коэффициент сопротивления положителен: их

сопротивление растёт с ростом температуры вследствие рассеяния электронов на фононах

(тепловых колебаниях кристаллической решётки).
Для диэлектриков он отрицателен.
Качественно такой же характер имеет температурная зависимость сопротивления твёрдых и неполярных жидких электролитов. Полярные жидкости уменьшают своё удельное сопротивление с ростом температуры более резко вследствие роста степени диссоциации и уменьшения вязкости.
Температурная зависимость сопротивления металлических сплавов, газов и легированных полупроводников носит более сложный характер.
Существуют сплавы (константан, манганин), имеющие очень малый температурный коэффициент сопротивления, то есть их сопротивление очень слабо зависит от температуры. Эти сплавы применяются в электроизмерительной аппаратуре.
Температурная зависимость электросопротивленияДля большинства металлов температурный коэффициент сопротивления положителен: их сопротивление растёт с ростом температуры вследствие рассеяния

Слайд 11Контактная разность потенциалов
Авых1 >

Aвых2
Длина экранирования d ~ 1/n:
в металлах d ~

10-10—10-9 м, в полупроводниках может достигать 10-6—10-7 м.
1) из двух соприкасающихся тел заряженная область приходится в основном на проводники с большим сопротивлением; 2) для полупроводников в области сосредоточения К. р. п. заметно изменяется концентрация носителей заряда.
Контактная разность потенциаловАвых1      >    Aвых2Длина экранирования d ~ 1/n:в

Слайд 12Вакуумный и полупроводниковый диоды

Вакуумный и полупроводниковый диоды

Слайд 13Термоэлектрические явления
Эффект Зеебека
Эффект Пельтье
Эффект Томсона

Термоэлектрические явленияЭффект ЗеебекаЭффект ПельтьеЭффект Томсона

Слайд 14Эффект Зеебека (1821 г.)
состоит в том, что в замкнутой цепи,

состоящей из разнородных проводников, возникает эдс (термоэдс), если места контактов

поддерживают при разных температурах. В простейшем случае, когда электрическая цепь состоит из двух различных проводников, она называется термоэлементом, или термопарой. Величина термоэдс зависит только от температур горячего T1 и холодного T2 контактов и от материала проводников. В небольшом интервале температур термоэдс Е можно считать пропорциональной разности (T1 – T2), то есть Е = a(T1 –Т2). Коэффициент a называется термоэлектрической способностью пары (термосилой, коэффициента термоэдс, или удельной термоэдс). Он определяется материалами проводников, но зависит также от интервала температур; в некоторых случаях с изменением температуры a меняет знак.

Thomas Johann Seebeck, 1770, Ревель —1831, Берлин

Эффект Зеебека (1821 г.)состоит в том, что в замкнутой цепи, состоящей из разнородных проводников, возникает эдс (термоэдс),

Слайд 15Эффект Пельтье (1834 г.)
обратен явлению Зеебека: при протекании тока в

цепи из различных проводников, в местах контактов, в дополнение к

теплоте Джоуля, выделяется или поглощается, в зависимости от направления тока, некоторое количество теплоты Qn, пропорциональное протекающему через контакт количеству электричества (то есть силе тока I и времени t): Qn=Пlt. Коэффициент П зависит от природы находящихся в контакте материалов и температуры (коэффициент Пельтье).

П = aT - соотношение Томсона

PELTIER Jean Charles Athanase 1785 - 1845

Эффект Пельтье (1834 г.)обратен явлению Зеебека: при протекании тока в цепи из различных проводников, в местах контактов,

Слайд 16Эффект Пельтье
в 1838 году Ленц провёл эксперимент, в котором он

поместил каплю воды в углубление на стыке двух стержней из

висмута и сурьмы. При пропускании электрического тока в одном направлении капля превращалась в лёд, при смене направления тока — лёд таял, что позволило установить, что в зависимости от направления протекающего в эксперименте тока, помимо джоулева тепла выделяется или поглощается дополнительное тепло, которое получило название тепла Пельтье.
Эффект Пельтье более заметен у полупроводников, это свойство используется в элементах Пельтье.
Эффект Пельтьев 1838 году Ленц провёл эксперимент, в котором он поместил каплю воды в углубление на стыке

Слайд 17Эффект Пельтье
Причина возникновения явления Пельтье заключается в следующем. На контакте

двух веществ имеется контактная разность потенциалов, которая создаёт внутреннее контактное

поле. Если через контакт протекает электрический ток, то это поле будет либо способствовать прохождению тока, либо препятствовать. Если ток идёт против контактного поля, то внешний источник должен затратить дополнительную энергию, которая выделяется в контакте, что приведёт к его нагреву. Если же ток идёт по направлению контактного поля, то он может поддерживаться этим полем, которое и совершает работу по перемещению зарядов. Необходимая для этого энергия отбирается у вещества, что приводит к охлаждению его в месте контакта.
Эффект ПельтьеПричина возникновения явления Пельтье заключается в следующем. На контакте двух веществ имеется контактная разность потенциалов, которая

Слайд 18Эффект Томсона (1856 г.)
если вдоль проводника с током существует перепад

температуры, то в дополнение к теплоте Джоуля в объёме проводника

выделяется или поглощается, в зависимости от направления тока, дополнительное количество теплоты QT (теплота Томсона):


где τ — коэффициент Томсона, зависящий от природы материала. Согласно теории Томсона, удельная термоэдс пары проводников связана с их коэффициентом Томсона соотношением:
da/dT= (τ1— τ2)/ Т.

William Thomson, 1st Baron Kelvin
1824 – 1907

Эффект Томсона (1856 г.)если вдоль проводника с током существует перепад температуры, то в дополнение к теплоте Джоуля

Слайд 19Стрикция, пьезоэлектричество.

Стрикция, пьезоэлектричество.

Слайд 20Поляризация диэлектрика

Поляризация диэлектрика

Слайд 21Электрострикция

Электрострикция

Слайд 22Пьезоэлектрический эффект

Пьезоэлектрический эффект

Слайд 23Пьезоэлектрический эффект
возникновение электрической поляризации в веществе в отсутствие электрического поля

при упругих деформациях (прямой пьезоэлектрический эффект) и появление механических деформаций

под действием электрического поля (обратный пьезоэлектрический эффект).
Первое исследование пьезоэлектрического эффекта осуществлено братьями Пьером и Жаном Кюри (1880) на кристалле кварца.
Пьезоэлектрический эффект обнаружен более чем у 1500 веществ. Пьезоэлектрический эффект наблюдается у всех сегнетоэлектриков и у многих пироэлектриков.
Пьезоэлектрический эффектвозникновение электрической поляризации в веществе в отсутствие электрического поля при упругих деформациях (прямой пьезоэлектрический эффект) и

Слайд 24Пьезоэлектрический эффект
В общем виде уравнение прямого пьезоэффекта при воздействии однородного

механического напряжения σ записывается так:
Где Pi - компонент вектора

поляризации; dir - пьезомодуль; σr - компонент механического напряжения.

Уравнение обратного пьезоэффекта записывается так:
Где δi - компонент упругой деформации; Er - компонент напряжённости электрического поля.

Пьезоэлектрический эффектВ общем виде уравнение прямого пьезоэффекта при воздействии однородного механического напряжения σ записывается так: Где Pi

Слайд 25Пьезоэлектрический эффект

Пьезоэлектрический эффект

Обратная связь

Если не удалось найти и скачать доклад-презентацию, Вы можете заказать его на нашем сайте. Мы постараемся найти нужный Вам материал и отправим по электронной почте. Не стесняйтесь обращаться к нам, если у вас возникли вопросы или пожелания:

Email: Нажмите что бы посмотреть 

Что такое TheSlide.ru?

Это сайт презентации, докладов, проектов в PowerPoint. Здесь удобно  хранить и делиться своими презентациями с другими пользователями.


Для правообладателей

Яндекс.Метрика