регресії.
2.3 Зведення нелінійних економетричних моделей до лінійного вигляду.
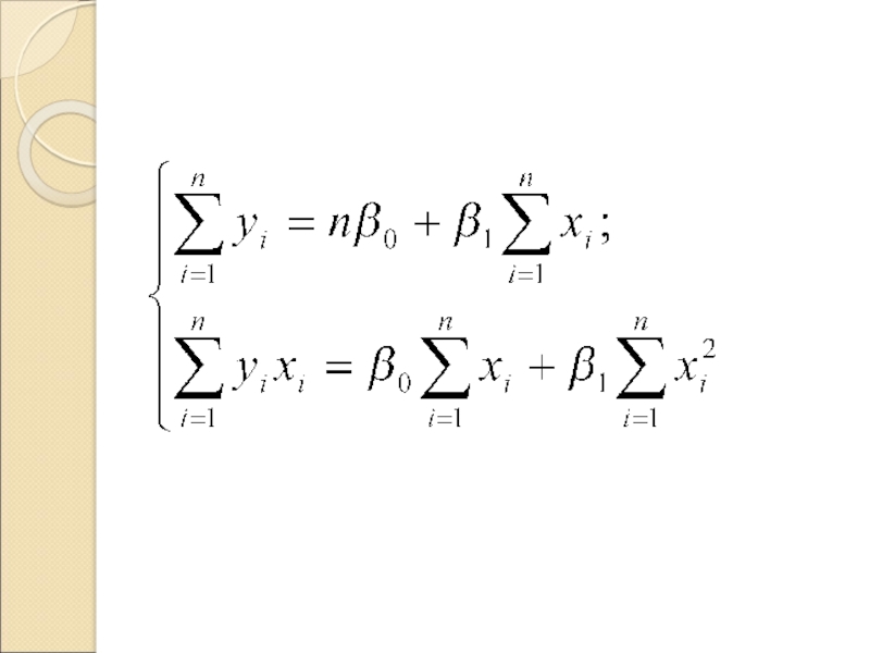
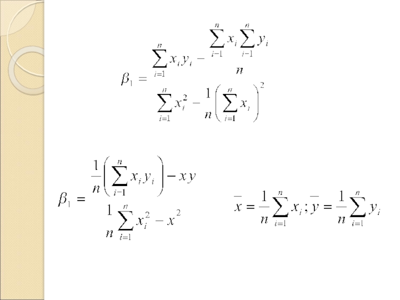
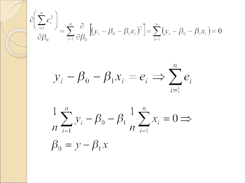
2.4 Метод найменших
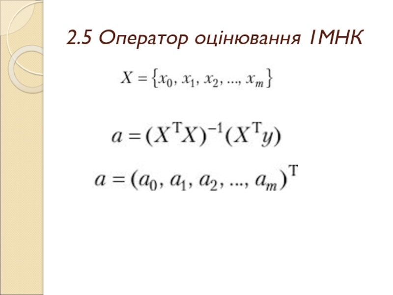
                                    квадратів. 2.5 Оператор оцінювання 1МНК.
2.6 Передумови застосування методу найменших квадратів (1МНК) - умови Гауса-Маркова.
2.7 Верифікація моделі .
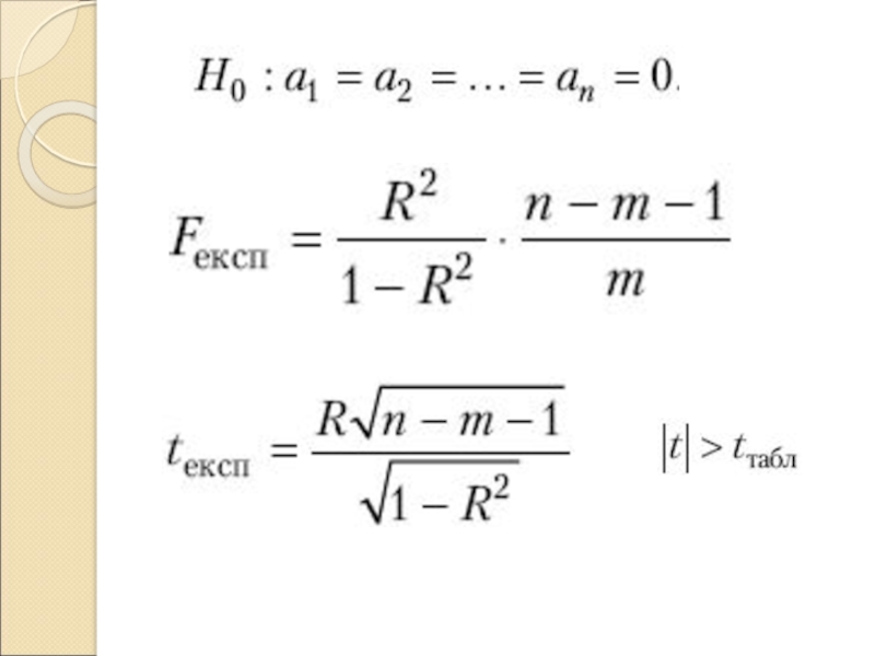
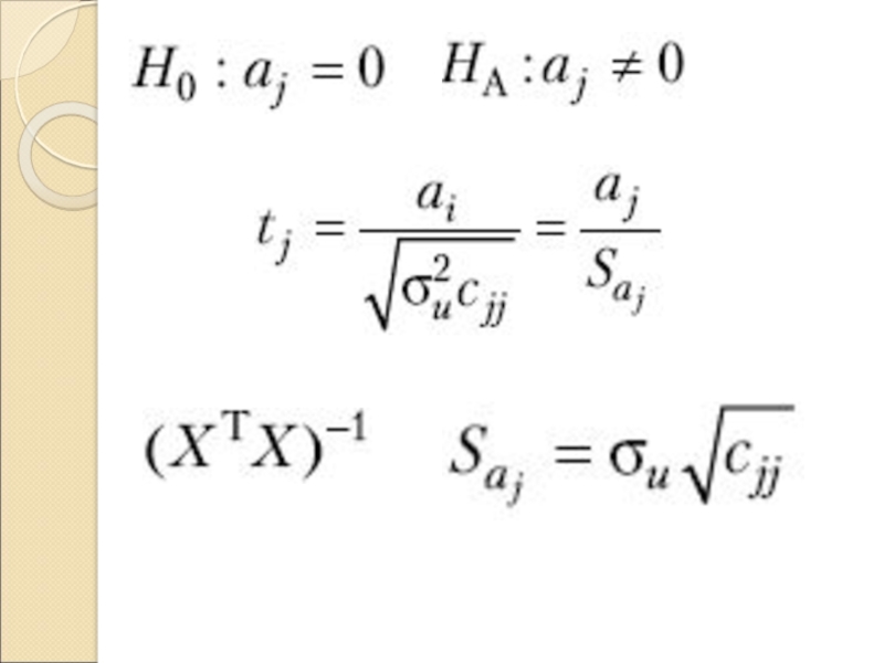
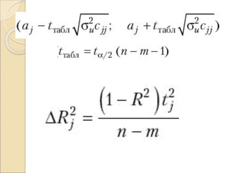
2.8 Перевірка значущості та довірчі інтервали.
2.9 Етапи дослідження загальної лінійної моделі множинної регресії.
2.10 Прогнозування за лінійною моделлю. Методи побудови багатофакторної регресійної моделі. (самостійна робота).




























 
								 
								 
								 
								 
								 
								 
								 
								 
								 
								 
								 
								 
								 
								 
								 
								 
								 
								 
								