Разделы презентаций


Организация: типы и проблемы

Содержание

Понятие и сущность организации Теория организации призвана ответить на вопросы, зачем организации нужны, как они создаются, функционируют и изменяются, почему персонал организации действуют именно так, а не иначе. Организация представляет собой

Слайды и текст этой презентации

Слайд 1Организация: типы и проблемы

Организация: типы и проблемы

Слайд 2Понятие и сущность организации
Теория организации призвана ответить на вопросы,

зачем организации нужны, как они создаются, функционируют и изменяются, почему

персонал организации действуют именно так, а не иначе.
Организация представляет собой сознательно координируемое социальное образование с определенными границами, которое функционирует на относительно постоянной основе для достижения общей цели или целей.
Организации: 1)социальные целостности, которые 2) преследуют определенные цели 3) являются определенным образом структурированными, координированными активными системами 4)связанными с окружающей средой
«Организацию создают люди и их отношения» (Р.Дафт)
Понятие и сущность организации Теория организации призвана ответить на вопросы, зачем организации нужны, как они создаются, функционируют

Слайд 3Для организации характерны комплексность, формализация и определенное соотношение централизации и

децентрализации
Комплексность рассматривает степень дифференциации в рамках организации. Она включает

уровень специализации или разделения труда, количество уровней в иерархии организации и степень территориального распределения подразделений организации.
Под формализацией понимаются заранее разработанные и установленные правила и процедуры, определяющие поведение работников. Некоторые организации минимально оперируют с такими стандартными директивами. Другие имеют все типы правил, инструктирующих работников по поводу того, что они могут и чего не могут делать
Соотношение централизации и децентрализации определяется уровнями, на которых вырабатываются и принимаются управленческие решения в организации. В некоторых организациях процесс принятия решений очень централизован, разрешением проблем занимаются высшие руководители. В других случаях принятие решений децентрализовано, ответственность делегируется вниз по иерархии управления. Принятое соотношение централизации и децентрализации определяет характер и тип устанавливаемой организационной структуры управления.
Для организации характерны комплексность, формализация и определенное соотношение централизации и децентрализации Комплексность рассматривает степень дифференциации в рамках

Слайд 4Важность организации
Организации существуют для того, чтобы:
Объединять ресурсы для достижения желаемых

целей и результатов;
Эффективно производить товары и услуги;
Содействовать инновациям;
Использовать современные производственные

и информационные технологии;
Адаптироваться к изменениям внешней среды и влиять на нее;
Приносить пользу владельцам, потребителям и работникам и обществу;
Приспосабливаться к новым требованиям (изм. этических норм, требований к квалификации персонала, мотивации, координации и пр.).

Важность организацииОрганизации существуют для того, чтобы:Объединять ресурсы для достижения желаемых целей и результатов;Эффективно производить товары и услуги;Содействовать

Слайд 5Базовые характеристики организации:
предлагаемые продукты или услуги;
место и роль в системе

рыночных отношений;
цели организации (выживание, рост, доходность);
технология (процессы, инновации);
философия (базовые взгляды,

ценности, мотивации);
внутренняя концепция (сильные стороны, степень конкурентоспособности, факторы выживания);
внешний образ, имидж (ответственность перед партнерами, потребителями, обществом в целом).
Базовые характеристики организации:предлагаемые продукты или услуги;место и роль в системе рыночных отношений;цели организации (выживание, рост, доходность);технология (процессы,

Слайд 6Проблемы организации
Глобальная конкуренция;
Этика и социальная ответственность(КСО -концепция, в соответствии с

которой организации учитывают интересы общества, беря на себя ответственность за

влияние их деятельности на заказчиков, поставщиков, работников, акционеров, местные сообщества и прочие заинтересованные стороны общественной сферы);
Быстрота реагирования (ожидать неожиданного и быть готовым к быстрым изменениям и кризисам);
Автоматизация;
Интернационализация.


Проблемы организацииГлобальная конкуренция;Этика и социальная ответственность(КСО -концепция, в соответствии с которой организации учитывают интересы общества, беря на

Слайд 7Конфигурация организаций: баланс пяти частей
Техническое ядро (производство и сбыт);
Топ-менеджмент высшего уровня;
Менеджмент

среднего уровня,;
Технологическая структура (отделы технологий, НИОКР, маркетинга);
Вспомогательный персонал (обеспечение бесперебойности

работы) – кадровые службы, отделы снабжения и эксплуатации.
Конфигурация организаций: баланс пяти частейТехническое ядро (производство и сбыт);Топ-менеджмент высшего уровня;Менеджмент среднего уровня,;Технологическая структура (отделы технологий, НИОКР,

Слайд 8Параметры организации
Структурные параметры – служат средством описания внутренних характеристик –

основа для оценки и сравнения организаций между собой;
Контекстуальные параметры –

характеризуют организацию в целом (цели и стратегии, размер, технологии, отношения с внешней средой, культура)
ПАРАМЕТРЫ ВЗАИМОЗАВИСИМЫ!

Параметры организацииСтруктурные параметры – служат средством описания внутренних характеристик – основа для оценки и сравнения организаций между

Слайд 9Структурные параметры
Формализованность (внутренний документооборот);
Специализация – степень, в которой решение задач

организации распределено между отдельными работниками;
Иерархия власти – степень контроля, отчетности

и подчиненности;
Централизация – уровень принятия решений;
Профессионализм – степень формального образования и обученности сотрудников;
Структура штата – распределение персонала по подразделениям и функциональным признакам.
Структурные параметрыФормализованность (внутренний документооборот);Специализация – степень, в которой решение задач организации распределено между отдельными работниками;Иерархия власти –

Слайд 10Контекстуальные параметры
Размер – численность, объем продаж, размер активов, капитализация, стоимость

ОПФ;
Производственные и организационные технологии – инструменты, методы и действия, используемые

для преобразования ресурсов на входе в ресурсы на выходе;
Окружающая среда – все, что находится за пределами организации;
Цели и стратегии – определяют масштабы деятельности О, отношения с работниками, потребителями и конкурентами;
Организационная культура – базовый набор ключевых ценностей, убеждений, суждений и норм, разделяемых работниками. «Цемент, объединяющий сотрудников» (Р.Дафт)

Контекстуальные параметрыРазмер – численность, объем продаж, размер активов, капитализация, стоимость ОПФ;Производственные и организационные технологии – инструменты, методы

Слайд 11Организации как открытые и закрытые системы
Система (system)- набор взаимосвязанных и

взаимозависимых элементов, позволяющих использовать ресурсы на входе и отдавать полученный

результат на выходе
Закрытая система – не зависит от окружающей среды, главная задача менеджмента – эффективность организации
Открытая система – зависима от окружающей среды и обменивается с ней ресурсами, приспосабливаясь к изменениям
Организации как открытые и закрытые системыСистема (system)- набор взаимосвязанных и взаимозависимых элементов, позволяющих использовать ресурсы на входе

Слайд 12Изменения в системах

Изменения в системах

Слайд 13Новая техноэкономическая парадигма по К.Перес включает:
новую форму организации на уровне

фирмы и на уровне производства;
новую структуру навыков рабочей силы, влияющей

как качественные, так и на количественные характеристики труда и соответствующей модели распределения доходов;
новый набор продуктов, которые будут производится с низкой себестоимостью, и, соответственно, будут предпочтительнее для инвестиций и составлять растущую долю ВНП;
новые тенденции как в радикальных, так дополнительных инновациях, направленные на замену более интенсивно используемых новых ключевых факторов на другие элементы, имеющие относительно высокую стоимость;
Новая техноэкономическая парадигма по К.Перес включает:новую форму организации на уровне фирмы и на уровне производства;новую структуру навыков

Слайд 14Новая техноэкономическая парадигма
новые направления в размещении инвестиций как внутри страны,

так и на международном уровне по мере того, как изменение

в структуре относительных цен трансформируют относительные преимущества;
особую волну инфраструктурных инвестиций для обеспечения соответствующих внешних условий во всей системе и повсеместного ускорения при использовании новых продуктов и процессов;
новые тенденции, при которых появляются новые инновационные компании в быстро развивающихся отраслях экономики или инициируется создание новых секторов производства
Новая техноэкономическая парадигмановые направления в размещении инвестиций как внутри страны, так и на международном уровне по мере

Слайд 15Смещение в инновационных парадигмах (по Г.Чесбро[H.W.Chesbrought])
Принципы закрытых инноваций
Все талантливые люди

работают на нас
Мы должны сами сделать открытие, разработать его до

уровня продукта и довести до конечного результата для того, чтобы получить прибыль от НИОКР

Принципы открытых инноваций
Не все ТЛ работают на нас, мы должны взаимодействовать с ТЛ, работающими как в нашей компании, так и за ее пределами
Значительную ценность могут создавать внешние НИКР; внутренние НИОКР необходимы, чтобы получить часть этой ценности

Смещение в инновационных парадигмах (по Г.Чесбро[H.W.Chesbrought])Принципы закрытых инновацийВсе талантливые люди работают на насМы должны сами сделать открытие,

Слайд 16
Принципы открытых инноваций
Нам не обязательно самим проводить исследования, чтобы на

основе их результатов получить прибыль
Создание более совершенной модели бизнеса важнее,

чем выход на рынок первыми

Если мы наилучшим образом воспользуемся внутренними и внешними идеями, мы выиграем

Мы должны получить прибыль от использования другими нашей ИС, и мы сами должны покупать ИС у других компаний всякий раз, когда она соответствует нашей бизнес-модели


Принципы закрытых инноваций
Если мы сделаем открытие сами, то можем первыми выйти с ним на рынок


Компания, которая доводит инновацию до рынка первой, выигрывает

Если мы сами создадим в отрасли большую часть лучших идей, мы выиграем


Мы должны хорошо контролировать нашу интеллектуальную собственность (ИС), чтобы конкуренты не воспользовались нашими идеями с прибылью для себя

Принципы открытых инновацийНам не обязательно самим проводить исследования, чтобы на основе их результатов получить прибыльСоздание более совершенной

Слайд 17Примеры отраслей с закрытыми и открытыми инновациями
Закрытая модель
Ядерные реакторы, тяжелое

машиностроение, универсальные вычислительные машины
В основном собственные идеи
Низкая мобильность работников
Небольшой объем

венчурного капитала
Относительно небольшое количество слабых компаний-новичков
Незначительная роль университетов (НИИ) в деятельности отрасли

Открытая модель
Производство компьютеров и ПО, производство кинофильмов, фармацевтика, биотехнологии, автомобилестроение
Большое число внешних идей
Высокая мобильность работников
Активное привлечение венчурного капитала
Большое число компаний-новичков
Активное взаимодействие с университетами (НИИ)

Примеры отраслей с закрытыми и открытыми инновациямиЗакрытая модельЯдерные реакторы, тяжелое машиностроение, универсальные вычислительные машиныВ основном собственные идеиНизкая

Слайд 18Открытые системы
Xerox & PARC
Procter & Gamble программа Connect & Develop

(за 5 лет добиться, что бы 50% инноваций поступали из

внешних источников)
Intel, IBM
Millennium Pharmaceuticals
Открытые системыXerox & PARCProcter & Gamble программа Connect & Develop (за 5 лет добиться, что бы 50%

Слайд 21Основные законы организации и среда

Основные законы организации и среда

Слайд 22Основные законы организации
Каждый менеджер должен постоянно помнить, что любая

организация действует в поле единых законов природы и общества.
Закон —

это объективно существующая, необходимая, существенная, устойчивая, повторяющаяся связь между явлениями в природе и обществе.
Познание законов организации является важнейшей задачей теории организации.
Применительно к организации закон — это необходимая, существенная и устойчивая связь между элементами внутренней и внешней среды, обусловливающая их упорядоченное изменение.
Познание всеобщих законов имеет огромное значение: с их помощью расширяется возможность предвидения поведения системы, определения тенденций ее развития и предотвращения критических ситуаций.
Основные законы организации Каждый менеджер должен постоянно помнить, что любая организация действует в поле единых законов природы

Слайд 23Законы развития организации

Законы развития организации

Слайд 24Законы первого уровня

Законы первого уровня

Слайд 25Закон синергии /Первый уровень
СинергИя, синергизм — это совместное, содружественное,

взаимозависимое действие двух или нескольких сил, агентов, факторов в каком-либо

одном направлении.
Закон синергИи: любая сложная динамическая система стремится получить максимальный эффект за счет своей целостности; стремится максимально использовать возможности кооперирования для достижения эффектов.
Для любой системы (технической, биологической или социальной) существует такой набор ресурсов, при котором ее потенциал всегда будет либо существенно больше простой суммы потенциалов входящих в нее ресурсов (технологий, персонала, оборудования и т.д.), либо существенно меньше.
Эффект синергии — это не только благоприятное сочетание ресурсов, но и согласованное поведение, связи, отношения, — одним словом, весь набор параметров, характеризующих сложную развивающуюся систему.
Закон синергии /Первый уровень СинергИя, синергизм — это совместное, содружественное, взаимозависимое действие двух или нескольких сил, агентов,

Слайд 26Для того чтобы использовать совместные синергетические эффекты, необходимо знать синергетические

характеристики фирмы и выстраивать стратегию развития, используя синергетический потенциал.
Синергизм «масштаба».

Фирма, оптимизирующая этот эффект, тщательно подбирает товары и рынки, завоевывает большую долю рынка благодаря низким ценам и вновь привлекает инвесторов.
Синергизм продаж. Продавцы объединяются и используют для продажи различных товаров одни и те же каналы распределения, склады, транспорт, персонал.
Оперативный синергизм. Позволяет более эффективно использовать основные средства и персонал: совместное использование ОФ, обучение, крупные закупки оборудования и транспортировка из-за рубежа, распределение накладных расходов и пр.
Инвестиционный синергизм. Проявляется при совместном использовании краткосрочных и долгосрочных кредитов, производственных площадей, НИР, общей технологической базы и пр.
Для того чтобы использовать совместные синергетические эффекты, необходимо знать синергетические характеристики фирмы и выстраивать стратегию развития, используя

Слайд 27Модель «общих товаров». В экономике общие товары производятся благодаря взаимозависимым

совместным усилиям.
Создание совместной благоприятной среды. Разнообразие различных отраслевых производств на

единой компактной территории позволяет использовать эффекты кооперации и синергии, когда отходы одного производства могут служить сырьем для другого, увеличивая замкнутость материальных циклов в промышленных узлах.
Синергизм менеджмента. Растущие компании, как правило, испытывают дефицит компетентных руководителей высшего звена. Любое улучшение в руководстве дает значительный эффект синергизма. Этот эффект увеличивается, если руководство фирмы уже сталкивалось с аналогичными проблемами и имеет опыт их решения. Если же проблемы новые и неизвестные, а менеджер не имеет опыта их разрешения, то существует угроза отрицательного эффекта от принятия решений некомпетентного руководства.
Модель «общих товаров». В экономике общие товары производятся благодаря взаимозависимым совместным усилиям.Создание совместной благоприятной среды. Разнообразие различных

Слайд 28Закон самосохранения / Первый уровень
Закон самосохранения: каждая организованная динамическая система

обычно противостоит внутренним и внешним разрушающим воздействиям, используя для этого

значительную часть своего потенциала.
Для стабильности организации очень важны правильная организационная стратегия и тактика.
Закон самосохранения / Первый уровеньЗакон самосохранения: каждая организованная динамическая система обычно противостоит внутренним и внешним разрушающим воздействиям,

Слайд 29Факторы самосохранения и устойчивости организации

Факторы самосохранения и устойчивости организации

Слайд 30Закон развития /онтогенеза
Развитие — это процесс закономерного качественного изменения.
Законы диалектики

образуют базис универсальной теории развития:
закон единства и борьбы противоположностей,


закон перехода количественных изменений в качественные
закон отрицания отрицания
Они, по существу, с разных сторон характеризуют процесс развития.
Закон развития /онтогенезаРазвитие — это процесс закономерного качественного изменения.Законы диалектики образуют базис универсальной теории развития: закон единства

Слайд 31Закон развития: каждая организация в процессе своего развития стремится к

оптимальной самореализации как целого, так и составных своих элементов на

основе их активности и динамического равновесия. Соответственно, каждая материальная система стремится достичь наибольшего суммарного потенциала при прохождении всех этапов жизненного цикла.
Предполагает, что любая организация в своем развитии проходит несколько фаз жизненного цикла: рост, становление, расцвет, угасание (Теория жизненного цикла: от 3 до 10 уровней ЖЦО)
Закон развития: каждая организация в процессе своего развития стремится к оптимальной самореализации как целого, так и составных

Слайд 32Развитие свойственно любой открытой динамической системе. Различают две формы развития:

эволюционную и революционную.
При эволюционной — развитие можно охарактеризовать как процесс

постепенного, непрерывного количественного изменения, подготавливающий качественные изменения;
Революционная форма характеризуется скачкообразным переходом от одного качественного состояния к другому, от старого — к новому.
Жизненный цикл организации (ЖЦО) — это период, в течение которого организация проходит такие стадии своего функционирования, как создание, рост, зрелость и упадок. Пример, приведенный на рисунке, включает 8 взаимосвязанных этапов: порог нечувствительности (Э1), внедрение (Э2), рост (Э3), зрелость (Э4), насыщение (Э5), спад (Э6), крах (Э7), ликвидация или утилизация (Э8).
Развитие свойственно любой открытой динамической системе. Различают две формы развития: эволюционную и революционную.При эволюционной — развитие можно

Слайд 33Жизненный цикл организации

Жизненный цикл организации

Слайд 34Тангенс угла наклона кривой на этапах внедрения, роста, зрелости, спада

и краха определяет принадлежность развития к эволюционной или революционной форме,

спаду или подъему. Положительный тангенс характеризует подъем, отрицательный — спад.

Диапазон угла наклона 50-60° свидетельствует о революционной форме развития;
Диапазон 10-30° — об эволюционной форме;
Промежуточный диапазон 30-50° — это период постепенного перехода к одной из указанных форм;
Диапазон 0 -10° — это стабилизация или изменение запасов (т.е. «проедание»).

Руководитель должен знать о законе циклического развития организации и принимать решения в соответствии с особенностями того этапа, на котором находится организация.
Тангенс угла наклона кривой на этапах внедрения, роста, зрелости, спада и краха определяет принадлежность развития к эволюционной

Слайд 35Характеристики стадии жизненного цикла компании
Источник: Lester D.L., Parnell J.A., Carraher

S. Organizational Life Cycle: a five-stage empirical scale.
The International

Journal of Organizational Analysis.11 (4), 2003: 339-354
Характеристики стадии жизненного цикла компанииИсточник: Lester D.L., Parnell J.A., Carraher S. Organizational Life Cycle: a five-stage empirical

Слайд 36Законы второго уровня

Законы второго уровня

Слайд 37Закон информированности-упорядоченности
чем большей информацией о внутренней и внешней среде владеет

система, тем эффективнее должно быть ее стремление к упорядоченности и

самоорганизации и большей вероятности ее устойчивого функционирования (самосохранения).

Следствия из закона:
1. Чем четче сформулированы задачи управления и организована база данных об объектах управления, тем устойчивее функционирует организация.
2. По мере роста сложности системы количество необходимой информации растет экспоненциально — гораздо быстрее, чем сложность самой управляемой системы.
3. Неупорядоченная под конкретные задачи управления информация приводит к дезинформации, к тому же возрастают проблемы хранения, переработки и передачи информации, увеличиваются затраты.
Закон информированности-упорядоченностичем большей информацией о внутренней и внешней среде владеет система, тем эффективнее должно быть ее стремление

Слайд 38Информационные потоки в организации
Внешние
Внутренние
Качество
информации:

1.Объем
2.Достоверность
3.Ценность
4.Насыщенность
5.Открытость

Информационные потоки в организацииВнешниеВнутренниеКачествоинформации:1.Объем2.Достоверность3.Ценность4.Насыщенность5.Открытость

Слайд 39Качество информации
Издержки информации:
Реклама / Спам
Манипуляции
Асимметрия
Оппортунистическое использование и пр.

Качество информацииИздержки информации:Реклама / СпамМанипуляции Асимметрия Оппортунистическое использование и пр.

Слайд 40Закон единства анализа и синтеза
Закон единства анализа и синтеза: каждая

управляющая система стремится к наиболее эффективной функциональной и организационной структуре

за счет постоянного циклического процесса анализа — синтеза (дедукции — индукции).
Процессы разделения, специализации, дифференциации и пр. дополняются противоположными – соединением, кооперацией и интергацией…
Закон единства анализа и синтезаЗакон единства анализа и синтеза: каждая управляющая система стремится к наиболее эффективной функциональной

Слайд 41Анализ — исследовательский метод, состоящий в том, что объект исследования,

рассматриваемый как система, мысленно или практически расчленяется на составные элементы

(признаки, свойства, отношения и т.п.) для изучения каждого из них в отдельности и выявления их роли и места в системе. Дает описание
Синтез — исследовательский метод, имеющий целью объединить отдельные части изучаемой системы, ее элементы в единую систему. Дает объяснение

Менеджер любого уровня должен обладать методами системного анализа и синтеза как необходимым инструментом для принятия управленческих решений

Анализ — исследовательский метод, состоящий в том, что объект исследования, рассматриваемый как система, мысленно или практически расчленяется

Слайд 42Закон композиции и пропорциональности
Каждая система стремится к оптимальному взаимному расположению

частей и к оптимальному количественному соотношению между ними.
Отражает необходимость согласования

целей организации, они должны быть направлены на поддержание цели более общего порядка
Закон композиции и пропорциональностиКаждая система стремится к оптимальному взаимному расположению частей и к оптимальному количественному соотношению между

Слайд 43Пропорциональность отражает необходимость определенного соотношения между частями целого, а также

их соразмерность, соотношение и зависимость – это повышает жизнеспособность системы

и эффективность ее функционирования
Пропорциональность отражает необходимость определенного соотношения между частями целого, а также их соразмерность, соотношение и зависимость – это

Слайд 45Уровни анализа организации

Уровни анализа организации

Слайд 47Уровни анализа организации

Уровни анализа организации

Слайд 48Взаимосвязи внутренней и внешней среды организации

Взаимосвязи внутренней и внешней среды организации

Слайд 50Идентификация внешней среды организации
Внешняя среда
Клиенты
Дистрибьюторы продукта/услуги
Конечные потребители продукта услуги
Поставщики
Поставщики сырья
Поставщики

оборудования
Поставщики комплектующих
Рынок труда
Конкуренты
Конкуренты на рынке ресурсов
Конкуренты на потребительском рынке
Социально-политические условия
Государственная

полтика и регулирование в отрасли
Отношение общества к конкретному продукту/услуги
Отношение с профсоюзами и работниками организации
Технология
Соответствие новым технологическим требованиям отрасли и связанных отраслей при производстве
Совершенствование и разработка новых продуктов с применением новых технологических достижений в отрасли
Идентификация внешней среды организации Внешняя средаКлиентыДистрибьюторы продукта/услугиКонечные потребители продукта услугиПоставщикиПоставщики сырьяПоставщики оборудованияПоставщики комплектующихРынок трудаКонкурентыКонкуренты на рынке ресурсовКонкуренты

Слайд 51Идентификация внутренней среды организации
Персонал
Образование, специальные знания и навыки
Предыдущий профессиональный и

управленческий опыт
Вовлеченность и приверженность организационным целям
Стили межличностного взаимодействия
Возможность использования потенциала

сотрудников в рамках компании
Функциональные и штабные организационные подразделения
Технологические характеристики организационных единиц
Взаимозависимость оргединиц при выполнении задач
Конфликты в рамках оргподразделения между функциональными и штабными единицами
Организация в целом
Миссия, цели и задачи организации (KPI, система сбалансированных показателей, стратегические карты)
Интеграционный процесс, способствующий максимизации вклада сотрудников и групп в достижение организационных целей
Особенности производимого продукта / услуги
Идентификация внутренней среды организацииПерсоналОбразование, специальные знания и навыкиПредыдущий профессиональный и управленческий опытВовлеченность и приверженность организационным целямСтили межличностного

Слайд 52Основные стейкхолдеры организации и их цели

Основные стейкхолдеры организации и их цели

Слайд 53Разработка стратегии статичной и динамичной организации

Разработка стратегии	 статичной и динамичной организации

Слайд 54Целевые установки статичной и динамичной организации

Целевые установки статичной и динамичной организации

Слайд 56Рекламное агентство «Глобал маркетинг Сервис»,Новосибирск

Рекламное агентство «Глобал маркетинг Сервис»,Новосибирск

Слайд 58Источник: составлено с использованием материалов самостоятельной работы ст. ЭФ НГУ

Самсоновой О., Глобенко Д.

Источник: составлено с использованием материалов самостоятельной работы ст. ЭФ НГУ Самсоновой О., Глобенко Д.

Слайд 59Планирование

Планирование

Слайд 60Тема 3. Виды и методы организационного планирования, постановка целей
Цели являются

обязательством управленческого аппарата добиться определенных результатов в установленное время (Томпсон,

Стриклен. Стратегический менеджмент)
Стратегические цели – цели, формирующие видение будущего компании. Тактические цели – это цели направленные на краткосрочные достижения и решающие повседневные задачи организации.
Ключевые сферы организации, для которых необходимо формулировать цели (Друкер. Задачи менеджмента):
1. Рынок и рыночное положение (доля, масштаб, новые рынки и продукты, объемы продаж, сбытовая сеть и пр.)
2. Инновации (технологические: новые технологии, процессы, услуги и продукты; патенты и лицензии, ноу-хау; нетехнологические: маркетинговые и организационные; экологические)
3. Материальные и финансовые ресурсы (здания, сооружения, земля, оборудование; финансы и инвестиционные проекты (безубыточность, формы привлечения ресурсов, дивиденды, налоги, амортизационные отчисления и пр.)
Тема 3. Виды и методы организационного планирования, постановка целейЦели являются обязательством управленческого аппарата добиться определенных результатов в

Слайд 61
4. Производительность (рост, приобретение нового оборудования и технологий, оптимизация и

автоматизация, бизнес-процессы, добавленная стоимость)
5. Прибыльность (максимизация, снижение издержек, доходность проектов

и продуктов, темпы роста всего бизнеса, отельных продуктов и направлений, новые бизнес-модели)
6. Персонал (обучение и мотивация всех уровней персонала, микроклимат и пр.)
7. Общество (социальная и корпоративная ответственность, стандарты, отношения с профсоюзом и пр.)
4. Производительность (рост, приобретение нового оборудования и технологий, оптимизация и автоматизация, бизнес-процессы, добавленная стоимость)5. Прибыльность (максимизация, снижение

Слайд 62Организационные уровни целей/планов

Организационные уровни целей/планов

Слайд 63Классификация целей организации

Классификация целей организации

Слайд 65Ежегодный цикл планирования в GE

Ежегодный цикл планирования в GE

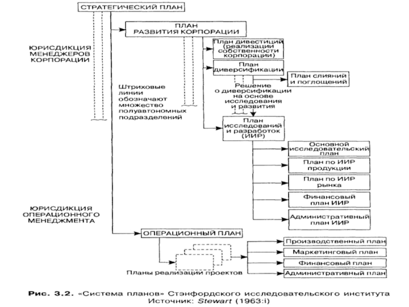
Слайд 66Система планов

Система планов

Слайд 70Примеры целей (Томпсон, Стриклен)
McDonald's
Достигнуть 100%-го уровня удовлетворения клиента ... ежедневно...

В каждом ресторане...каждого клиента.
Rubbermaid
Увеличить ежегодный объем продаж с 1 млрд

долл. до 2 млрд долл. за 5 лет.
Раз в полтора-два года выходить на новый рынок.
30% от общего объема продаж должны приходиться на товары, пущенные в производство за последние 5 лет.
Иметь самые низкие издержки при самом высоком качестве продукции для домашних хозяйств среди всех производителей отрасли.
Достигнуть среднего уровня годового прироста в 15% по продажам, прибыли и доходу по акциям.
McCormick & Company
Достигнуть 20%-го уровня дохода по акциям.
Годовой прирост чистых продаж довести до 10%,
Поддержать средний уровень годового прироста дохода по акциям на 15%.
Сохранить показатель "задолженность к общей сумме капитала" на уровне 40% или ниже.
Выделять 25—30% чистого дохода на выплату дивидендов.
Совершать селективные приобретения других компаний, которые могли бы дополнить текущую деятельность и увеличить общие доходы.
Ликвидировать те направления деятельности, которые не приносят или не могут принести соответствующего дохода или не вписываются в стратегию компании.
Примеры целей (Томпсон, Стриклен)McDonald'sДостигнуть 100%-го уровня удовлетворения клиента ... ежедневно... В каждом ресторане...каждого клиента.RubbermaidУвеличить ежегодный объем продаж

Слайд 71Таблица с целями и KPI в самостоятельной работе

Таблица с целями и KPI в самостоятельной работе

Обратная связь

Если не удалось найти и скачать доклад-презентацию, Вы можете заказать его на нашем сайте. Мы постараемся найти нужный Вам материал и отправим по электронной почте. Не стесняйтесь обращаться к нам, если у вас возникли вопросы или пожелания:

Email: Нажмите что бы посмотреть 

Что такое TheSlide.ru?

Это сайт презентации, докладов, проектов в PowerPoint. Здесь удобно  хранить и делиться своими презентациями с другими пользователями.


Для правообладателей

Яндекс.Метрика