Разделы презентаций


Решение заданий типа №6

Содержание

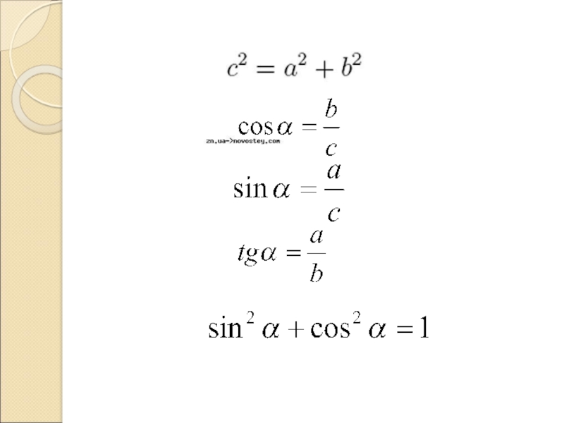
Задание №6. Основы геометрии. Чащевсего встречаются задания на решениетреугольников, но знать надо все фигурыпланиметрии. Необходимые знания: видытреугольников; понятия биссектрисы,медианы, высоты; тригонометрическиефункции и их значения; основноетригонометрическое тождество; формулыприведения; теорема Пифагора. При правильном

Слайды и текст этой презентации

Слайд 1Решение заданий типа №6
“Мало иметь хороший ум, главное – хорошо

его применять.”
Р. Декарт

Решение заданий типа №6“Мало иметь хороший ум, главное – хорошо его применять.”Р. Декарт

Слайд 2Задание №6.

Основы геометрии. Чаще
всего встречаются задания на решение
треугольников, но

знать надо все фигуры
планиметрии. Необходимые знания: виды
треугольников; понятия биссектрисы,
медианы, высоты;

тригонометрические
функции и их значения; основное
тригонометрическое тождество; формулы
приведения; теорема Пифагора.
При правильном решении ответ получается
точно без корня.
Задание №6. Основы геометрии. Чащевсего встречаются задания на решениетреугольников, но знать надо все фигурыпланиметрии. Необходимые знания: видытреугольников;

Слайд 3Задача 1
В равнобедренном треугольнике ABC c
основанием AC боковая сторона АВ
равна

15,а высота, проведенная к
основанию, равна 9. Найдите косинус
угла А.

Задача 1В равнобедренном треугольнике ABC cоснованием AC боковая сторона АВравна 15,а высота, проведенная коснованию, равна 9. Найдите

Слайд 4Решение
Т.к


(прилеж. катета/ гипотенузу)
Найдем АН.
По

т.Пифагора из ∆ АВН:

, следовательно







А

С

В

H

15

9

Ответ: 0,8

РешениеТ.к              (прилеж. катета/ гипотенузу)

Слайд 5Задача 2
В треугольнике АВС угол С равен 90 ,

,

.
Найти АВ.
Задача 2В треугольнике АВС угол С равен 90 ,       ,

Слайд 6Решение
А
В
С
Нам известен прилежащий катет, следовательно зная синус угла А

можно найти его косинус.
По основному тригонометрическому тождеству:






По определению косинуса:

;







Ответ: 28

Решение АВСНам известен прилежащий катет, следовательно зная синус угла А можно найти его косинус.По основному тригонометрическому тождеству:По

Слайд 7Задача 3
В треугольнике АВС угол С равен
90 ,ВС=

,АВ=20.
Найдите sinB.

Задача 3 В треугольнике АВС угол С равен90 ,ВС=       ,АВ=20.Найдите sinB.

Слайд 8Решение
А
В
С
Синусом острого угла прямоугольного треугольника называется отношение противолежащего катета к

гипотенузе.
Следовательно

Найдем отрезок АС из ∆ АВС:


Отсюда


Ответ: 0,2

РешениеАВССинусом острого угла прямоугольного треугольника называется отношение противолежащего катета к гипотенузе. Следовательно Найдем отрезок АС из

Слайд 9Типичные ошибки при решении задания №6 в ЕГЭ
выпускник чаще всего

может перепутать катет с гипотенузой;
выпускник чаще всего не знает или

неверно записывает отношение сторон при использовании тригонометрических функций;
Типичные ошибки при решении задания №6 в ЕГЭвыпускник чаще всего может перепутать катет с гипотенузой;выпускник чаще всего

Слайд 11Задача 4
В треугольнике АВС АС=ВС,
АВ=72,

,CH-высота.
Найдите СН.

Задача 4 В треугольнике АВС АС=ВС,АВ=72,         ,CH-высота.Найдите СН.

Слайд 12Решение
С
В
А
72
Н
АН=36 (по свойству высоты равнобед. треугол.)
Следовательно, по определению косинуса, найдем

АС.





По т. Пифагора:




Ответ: 15

РешениеСВА72НАН=36 (по свойству высоты равнобед. треугол.)Следовательно, по определению косинуса, найдем АС.По т. Пифагора:Ответ: 15

Слайд 13Задача 5
В треугольнике АВС угол С
равен 90, АВ=15

, ВС=9.
Найти cos A.

Задача 5 В треугольнике АВС угол Сравен 90,  АВ=15 , ВС=9. Найти cos A.

Слайд 14Решение
По т.Пифагора из ∆ АВС, найдем АС.


Отсюда,

С
А
В
15
9
Ответ: 0,8

РешениеПо т.Пифагора из ∆ АВС, найдем АС.Отсюда, САВ159Ответ: 0,8

Слайд 15Задача 6
В треугольнике АВС угол С
равен 90,

, AC=3.
Найдите tgA.

Задача 6В треугольнике АВС угол Сравен 90,

Слайд 16Решение
С
А
В
3
Ответ: 2

РешениеСАВ3Ответ: 2

Слайд 17Задача 7
В треугольнике АВС угол С равен 90,
СН-высота, ВС=10,

СН=
Найти sin A.

Задача 7В треугольнике АВС угол С равен 90, СН-высота, ВС=10,  СН=    Найти sin

Слайд 18Решение
А
В
С
Н
10

Т.к.



Из НВС по т.Пифагора найдем НВ:


По свойству высоты СН:





АВ=100,

следовательно


Ответ: 0,1

РешениеАВСН10Т.к.Из  НВС по т.Пифагора найдем НВ:По свойству высоты СН:АВ=100, следовательно   Ответ: 0,1

Слайд 19Задача 8
В треугольнике АВС угол С равен 90 ,

, ВС=7.
Найдите тангенс внешнего

угла при вершине А.
Задача 8В треугольнике АВС угол С равен 90 ,       , ВС=7.Найдите

Слайд 20Решение
С
В
А
7
М
По т.Пифагора найдем АС:




Найдем


Зная, что tg ˂BAM= - tg

˂ A

tg ˂ BAM= -1






Ответ: -1

РешениеСВА7МПо т.Пифагора найдем АС:Найдем Зная, что tg ˂BAM= - tg ˂ Atg ˂ BAM= -1 Ответ: -1

Слайд 21Задания повышенного уровня
ЧТО НЕОБХОДИМО ЗНАТЬ ДЛЯ РЕШЕНИЯ:
Сумма противолежащих углов

четырехугольника, вписанного в окружность, равна 1800.
Сумма углов треугольника равна 1800.

Углы, опирающиеся на одну и ту же хорду, равны.

Задания повышенного уровня ЧТО НЕОБХОДИМО ЗНАТЬ ДЛЯ РЕШЕНИЯ:Сумма противолежащих углов четырехугольника, вписанного в окружность, равна 1800.Сумма углов

Слайд 22Задача 9*
Четырехугольник ABCD вписан в окружность. Угол АВС равен 105

, угол САD равен 35 . Найдите угол АВD,

ответ дайте в градусах.
Задача 9*Четырехугольник ABCD вписан в окружность. Угол АВС равен 105 , угол САD равен 35  .

Слайд 23Решение
В
С
А
D
1)Сумма противолежащих углов ABC и ADC
четырехугольника ABCD, вписанного в окружность, равна 1800.
Следовательно, 

ADC = 1800 - АВС= 1800 - 1050 = 750.

2) Сумма

углов CAD, ADC, ACD  треугольника 
CDA равна 1800.
Следовательно, 
ACD = 1800 - (CAD + ADC) = 1800 - (350 + 750) = 700.

3) Углы ABD и ACD опираются на одну и ту же хорду AD. Следовательно, они равны, и искомый угол ABD = ACD = 700.

Ответ: 70
РешениеВСАD1)Сумма противолежащих углов ABC и ADCчетырехугольника ABCD, вписанного в окружность, равна 1800. Следовательно,      ADC = 1800 - АВС= 1800 - 1050 =

Обратная связь

Если не удалось найти и скачать доклад-презентацию, Вы можете заказать его на нашем сайте. Мы постараемся найти нужный Вам материал и отправим по электронной почте. Не стесняйтесь обращаться к нам, если у вас возникли вопросы или пожелания:

Email: Нажмите что бы посмотреть 

Что такое TheSlide.ru?

Это сайт презентации, докладов, проектов в PowerPoint. Здесь удобно  хранить и делиться своими презентациями с другими пользователями.


Для правообладателей

Яндекс.Метрика