Разделы презентаций


Свойства ионизирующих излучений. Основы дозиметрии

Содержание

1. Виды ионизирующих излучений. Проникающая и ионизирующая способность разных видов ионизирующих излучений Ионизирующими излучениями называют потоки частиц и квантов электромагнитного поля - фотонов, взаимодействие которых со средой приводит к ионизации

Слайды и текст этой презентации

Слайд 1ВОЕННО–МЕДИЦИНСКАЯ АКАДЕМИЯ имени С.М. Кирова Кафедра биологической и медицинской физики
ЛЕКЦИЯ № 10

по

дисциплине «Физика, математика»
на тему: «Свойства ионизирующих излучений. Основы дозиметрии»

для курсантов

и студентов I курса ФПВ, ФПиУГВ, спецфакультета

ВОЕННО–МЕДИЦИНСКАЯ АКАДЕМИЯ имени С.М. Кирова Кафедра биологической и медицинской физикиЛЕКЦИЯ № 10по дисциплине «Физика, математика»на тему: «Свойства

Слайд 2 1. Виды ионизирующих излучений. Проникающая и ионизирующая способность разных видов

ионизирующих излучений

Ионизирующими излучениями называют потоки частиц и квантов электромагнитного поля

- фотонов, взаимодействие которых со средой приводит к ионизации ее атомов и молекул.
1. Виды ионизирующих излучений. Проникающая и ионизирующая способность разных видов ионизирующих излучений Ионизирующими излучениями называют потоки

Слайд 3
Ионизация атома представляет собой процесс превращения нейтрального атома под действием

ионизирующего излучения в заряженные частицы — свободный электрон и положительно

заряженный ион, т.е. образование пары ионов.
В различных материалах на образование ионной пары необходима энергия 30 — 40 эВ.
Ионизация атома представляет собой процесс превращения нейтрального атома под действием ионизирующего излучения в заряженные частицы — свободный

Слайд 5

Ионизирующими излучениями являются рентгеновское и γ-излучение, потоки α-частиц, электронов, позитронов,

протонов, нейтронов, энергии которых достаточно для того, чтобы вызвать ионизацию.

Ионизирующими излучениями являются рентгеновское и γ-излучение, потоки α-частиц, электронов, позитронов, протонов, нейтронов, энергии которых достаточно для того,

Слайд 6 Классификация ионизирующих излучений:

Классификация ионизирующих излучений:

Слайд 7 Что может происходить с ИИ при взаимодействии с веществом?

Рассеяние (изменение

направления движения)
Торможение (уменьшение кинетической энергии)
Поглощение (исчезновение)
Образование электрон-позитронной пары (только гамма-излучение)

Что может происходить с ИИ при взаимодействии с веществом? Рассеяние (изменение направления движения)Торможение (уменьшение кинетической энергии)Поглощение

Слайд 8 Что может происходить с веществом?
Возбуждение электронов (радиолюминесценция)
Отрыв электронов (ионизация)
Возбуждение ядра

(испускание гамма-квантов)
Образование ядер отдачи
Ядерные реакции

Что может происходить с веществом? Возбуждение электронов (радиолюминесценция)Отрыв электронов (ионизация)Возбуждение ядра (испускание гамма-квантов)Образование ядер отдачиЯдерные реакции

Слайд 9 Основные характеристики ионизирующих излучений:

1) поток ионизирующего излучения
Фn =

dN/dt,
где dN - число частиц, падающих на данную поверхность

за интервал времени dt.

Основные характеристики ионизирующих излучений:  1) поток ионизирующего излучения Фn = dN/dt, где dN - число

Слайд 10
2) плотность потока ионизирующего излучения
jn = dФn/dS,
где dФn -

поток, приходящийся на площадь поперечного сечения dS поглощающего объема.

2) плотность потока ионизирующего излученияjn = dФn/dS, 	где dФn - поток, приходящийся на площадь поперечного сечения dS

Слайд 11

3) поток энергии
Ф = dE/dt,
где dE - суммарная

энергия излучения (за исключением энергии массы покоя), dt – промежуток

времени.

3) поток энергии Ф = dE/dt, где dE - суммарная энергия излучения (за исключением энергии массы покоя),

Слайд 12

4) энергетический спектр ионизирующего излучения - распределение составляющих его частиц

и фотонов по энергиям.

4) энергетический спектр ионизирующего излучения - распределение составляющих его частиц и фотонов по энергиям.

Слайд 13 Основные количественные характеристики взаимодействия ионизирующих излучений с веществом:
1) Линейная передача

энергии (ЛПЭ) или линейная тормозная способность (S) - энергия, переданная

среде ионизирующей частицей на единице длины.



Размерность – Дж/м.



Основные количественные характеристики взаимодействия ионизирующих излучений с веществом: 1) Линейная передача энергии (ЛПЭ) или линейная тормозная

Слайд 14

2) Линейная плотность ионизации (ЛПИ) - числу пар ионов, создаваемых

частицей или квантом на единице пути в веществе.


Размерность – пар

ионов/м.




2) Линейная плотность ионизации (ЛПИ) - числу пар ионов, создаваемых частицей или квантом на единице пути в

Слайд 15
ЛПИ зависит от природы и энергии частицы и от свойств

облучаемого вещества.
В справочниках обычно указывается ЛПИ для стандартного вещества

– сухого воздуха, а за единицу пути принимается один сантиметр.
ЛПИ зависит от природы и энергии частицы и от свойств облучаемого вещества. В справочниках обычно указывается ЛПИ

Слайд 16Значения линейной плотности ионизации в воздухе

Значения линейной плотности ионизации в воздухе

Слайд 17
Конкретные значения ЛПИ могут отличаться от приведенных в 2-3 раза

в зависимости от энергии частиц.
В других веществах значения ЛПИ

будут другими.
В тканях человека значения ЛПИ примерно в 800 раз больше, чем в воздухе.

Конкретные значения ЛПИ могут отличаться от приведенных в 2-3 раза в зависимости от энергии частиц. В других

Слайд 18

3) Линейный пробег (R). За меру проникающей способности для частиц

принимают расстояние, на котором частица замедляется до энергии, близкой к

средней энергии теплового движения.

3) Линейный пробег (R). За меру проникающей способности для частиц принимают расстояние, на котором частица замедляется до

Слайд 19
Для квантов рентгеновых или гамма-лучей за меру проникающей способности принимают

расстояние, на котором мощность излучения падает в «е» раз.

Очевидно,

что чем больше ЛПИ и ЛПЭ, тем меньше проникающая способность излучения в данном веществе.
Для квантов рентгеновых или гамма-лучей за меру проникающей способности принимают расстояние, на котором мощность излучения падает в

Слайд 20

Излучения с высокой проникающей способностью называют жесткими; если же проникающая

способность мала, такие излучения называют мягкими.

Излучения с высокой проникающей способностью называют жесткими; если же проникающая способность мала, такие излучения называют мягкими.

Слайд 212. Взаимодействие заряженных частиц с веществом
Заряженные частицы прежде всего взаимодействуют

с электронной оболочкой атома.
В основе взаимодействия лежат силы Кулона (электростатические

взаимодействия).


2. Взаимодействие заряженных частиц с веществомЗаряженные частицы прежде всего взаимодействуют с электронной оболочкой атома.В основе взаимодействия лежат

Слайд 23Сравним свойства альфа- и бета-частиц:

Сравним свойства альфа- и бета-частиц:

Слайд 24Почему α-частицы ионизируют гораздо плотнее, чем β-частицы?
При одинаковой кинетической энергии





скорость движения тяжелых альфа-частиц значительно меньше, чем скорость движения бета-частиц.


Соответственно, больше время пролета мимо атома и эффективнее взаимодействие с атомом.



Почему α-частицы ионизируют гораздо плотнее, чем β-частицы?При одинаковой кинетической энергии 		скорость движения тяжелых альфа-частиц значительно меньше, чем

Слайд 25Защита:
α-частицы плотно ионизируют и быстро теряют энергию, поэтому их проникающая

способность мала.
Вследствие этого они могут быть полностью задержаны листом

плотной бумаги, одеждой, слоем резины хирургических перчаток и эпидермисом кожи.
Однако при попадании α-излучающих нуклидов внутрь организма степень их опасности резко возрастает.
Защита:α-частицы плотно ионизируют и быстро теряют энергию, поэтому их проникающая способность мала. Вследствие этого они могут быть

Слайд 26
β-частицы средних энергий задерживаются оконным стеклом, подошвой обуви, но могут

вызывать поражение кожных покровов, роговицы и т.п.
Поэтому даже при

работе с мягкими β-излучателями руки должны быть защищены перчатками, а от жестких β-частиц (с энергией 1,5 МэВ и выше) следует защищаться экранами из органического стекла.

β-частицы средних энергий задерживаются оконным стеклом, подошвой обуви, но могут вызывать поражение кожных покровов, роговицы и т.п.

Слайд 273. Взаимодействие нейтронов с веществом
Нейтроны взаимодействуют только с ядрами атомов.

Электронная оболочка для них прозрачна.
Взаимодействие – механическое.
Характер взаимодействия зависит от

кинетической энергии нейтронов.


3. Взаимодействие нейтронов с веществомНейтроны взаимодействуют только с ядрами атомов. Электронная оболочка для них прозрачна.Взаимодействие – механическое.Характер

Слайд 281) Упругое рассеяние
Характерно для быстрых нейтронов (с энергией от 200

кэВ до 20 МэВ).
Заключается в том, что нейтрон, обладающий

определенным запасом энергии, при столкновении с ядром атома передает ему часть энергии, а сам изменяет направление своего движения.
1) Упругое рассеяниеХарактерно для быстрых нейтронов (с энергией от 200 кэВ до 20 МэВ). Заключается в том,

Слайд 30

Суммарная кинетическая энергия нейтрона и ядра до и после взаимодействия

не изменяется, причем, чем больше масса неподвижного ядра по сравнению

с массой движущегося нейтрона, тем меньшая доля энергии будет ему передана при столкновении.
Суммарная кинетическая энергия нейтрона и ядра до и после взаимодействия не изменяется, причем, чем больше масса неподвижного

Слайд 31

При равных массах сталкивающихся объектов (например, с ядром водорода) движущееся

тело (в данном случае нейтрон) будет терять в среднем половину

своей энергии.

При равных массах сталкивающихся объектов (например, с ядром водорода) движущееся тело (в данном случае нейтрон) будет терять

Слайд 32
На практике, это означает, что материалы, обогащенные водородом (такие как

вода, бетон и парафин) являются лучшими материалами для защиты от

нейтронов, так как протон атомов водорода позволяет рассеять энергию падающих нейтронов относительно быстро.

На практике, это означает, что материалы, обогащенные водородом (такие как вода, бетон и парафин) являются лучшими материалами

Слайд 33

Ядро атома, получившее дополнительную энергию ("ядро отдачи"), покидает свои электронные

оболочки и, обладая положительным зарядом, производит вторичную ионизацию.

Ядро атома, получившее дополнительную энергию (

Слайд 34
Важно помнить, что отскакивающие в результате упругого рассеяния нейтронов ядра

являются тяжелой заряженной частицей.
Они теряют свою энергию с высокой

скоростью, взаимодействуя с атомами среды таким же образом, как альфа-частицы и, следовательно, классифицируются как ионизирующее излучение с высокой ионизирующей способностью.
Важно помнить, что отскакивающие в результате упругого рассеяния нейтронов ядра являются тяжелой заряженной частицей. Они теряют свою

Слайд 35

По этой причине, учитывая, что упругое рассеяние является наиболее вероятным

взаимодействием для быстрых нейтронов в биологической ткани, быстрые нейтроны могут

быть особенно опасны при облучении тела человека.
По этой причине, учитывая, что упругое рассеяние является наиболее вероятным взаимодействием для быстрых нейтронов в биологической ткани,

Слайд 362) Неупругое рассеяние
Более сложное взаимодействие может иметь место, когда быстрые

или промежуточные (с энергией от 0,5 эВ до 200 кэВ)

нейтроны сталкиваются с мишенью, которая намного больше, чем они сами, и не отскакивает (как в случае упругого рассеяния), а временно поглощается ядром-мишенью.
2) Неупругое рассеяниеБолее сложное взаимодействие может иметь место, когда быстрые или промежуточные (с энергией от 0,5 эВ

Слайд 37
После короткого времени нейтрон переиспускается с уменьшенной энергией, а ядро-мишень

остается в возбужденном состоянии.
Затем ядро снимает возбуждение путем испускания

гамма-излучения.
После короткого времени нейтрон переиспускается с уменьшенной энергией, а ядро-мишень остается в возбужденном состоянии. Затем ядро снимает

Слайд 38
Поскольку суммарная кинетическая энергия не сохраняется при этом столкновении (потому

что часть энергии идет на образование гамма-излучения), этот тип столкновения

называется неупругим столкновением. А сам тип взаимодействия называется неупругим рассеянием.
Поскольку суммарная кинетическая энергия не сохраняется при этом столкновении (потому что часть энергии идет на образование гамма-излучения),

Слайд 393) Поглощение нейтронов (радиационный захват)
Характерно для медленных и тепловых нейтронов

(с энергией до 0,5 эВ).
 Нейтроны поглощаются и становятся частью

ядер атомов поглотителя.
Затем эти ядра должны избавиться от избыточной энергии, обычно путем испускания гамма-излучения. 
3) Поглощение нейтронов (радиационный захват)Характерно для медленных и тепловых нейтронов (с энергией до 0,5 эВ).  Нейтроны поглощаются

Слайд 40
Пример реакции радиационного захвата:




Пример реакции радиационного захвата:

Слайд 41Защита от нейтронов:
Трехкомпонентная:
1) Замедлитель быстрых нейтронов -материалы, содержащие преимущественно легкие

элементы (водород, бор, углерод и другие).
Чаще всего в качестве

таких материалов применяют воду, пластмассы, парафин.

Защита от нейтронов:Трехкомпонентная:1) Замедлитель быстрых нейтронов -материалы, содержащие преимущественно легкие элементы (водород, бор, углерод и другие). Чаще

Слайд 42

2) Поглотитель медленных нейтронов - бор, бериллий, кадмий, европий и

некоторые другие.
3) Защита от гамма-квантов – свинец, медь.

2) Поглотитель медленных нейтронов - бор, бериллий, кадмий, европий и некоторые другие.3) Защита от гамма-квантов – свинец,

Слайд 434. Взаимодействие рентгеновского и гамма-излучений с веществом

Рентгеновы лучи – это

электромагнитное излучение с длиной волны меньше 10-8м (от 10-8 до

10-14).
4. Взаимодействие рентгеновского и гамма-излучений с веществомРентгеновы лучи – это электромагнитное излучение с длиной волны меньше 10-8м

Слайд 44
Оно возникает:
а) при торможении электронов в кулоновском поле многоэлектронных

атомов (тормозное РИ);
б) при переходе электрона с одной из

внешних оболочек на вакантное место, образовавшееся во внутренней оболочке (характеристическое РИ).

Оно возникает: а) при торможении электронов в кулоновском поле многоэлектронных атомов (тормозное РИ); б) при переходе электрона

Слайд 45

Гамма-излучение – электромагнитное излучение с длиной волны меньше 10-10 м.
Испускается

при переходах между возбужденными состояниями атомных ядер.

Гамма-излучение – электромагнитное излучение с длиной волны меньше 10-10 м.Испускается при переходах между возбужденными состояниями атомных ядер.

Слайд 46
 Резкая граница между гамма- и рентгеновским излучением не определена.
В

области 1—100 кэВ гамма-излучение и рентгеновское излучение различаются только по источнику:

если квант излучается в ядерном переходе, то его принято относить к гамма-излучению; если при взаимодействиях электронов или при переходах в атомной электронной оболочке — к рентгеновскому излучению.
С точки зрения физики, кванты электромагнитного излучения с одинаковой энергией не отличаются, поэтому такое разделение условно.
 Резкая граница между гамма- и рентгеновским излучением не определена. В области 1—100 кэВ гамма-излучение и рентгеновское излучение различаются

Слайд 47
Рентгеновские и гамма-кванты преимущественно взаимодействуют с электронной оболочкой атома.
При взаимодействии

рентгеновских и гамма-квантов с электронами вещества могут происходить следующие процессы:

Рентгеновские и гамма-кванты преимущественно взаимодействуют с электронной оболочкой атома.При взаимодействии рентгеновских и гамма-квантов с электронами вещества могут

Слайд 48
1) Когерентное рассеяние, когда квант изменяет направление движения, но его

энергия (частота, длина волны) сохраняется.
Этот процесс значителен только в

случае мягкого (длинноволнового) рентгеновского излучения, энергия квантов которого меньше энергии ионизации.

1) Когерентное рассеяние, когда квант изменяет направление движения, но его энергия (частота, длина волны) сохраняется. Этот процесс

Слайд 49
Так как в этом случае энергия фотона рентгеновского излучения и

атома не изменяется, то когерентное рассеяние само по себе не

вызывает биологического действия.
Однако при создании защиты от рентгеновского излучения следует учитывать возможность изменения направления первичного пучка.
Этот вид взаимодействия имеет значение для рентгеноструктурного анализа.
Так как в этом случае энергия фотона рентгеновского излучения и атома не изменяется, то когерентное рассеяние само

Слайд 50
2) Некогерентное рассеяние или эффект Комптона.
В этом случае квант

при столкновении с атомом отдает электрону только часть своей энергии,

отклоняясь от своего первоначального направления. Электрон вылетает из атома.
При этом возникает рассеянное рентгеновское или гамма-излучение, длина волны которого больше, чем у падающего.
2) Некогерентное рассеяние или эффект Комптона. В этом случае квант при столкновении с атомом отдает электрону только

Слайд 52

Изменение длины волны зависит от угла θ, под которым рассеивается

гамма-квант:




Изменение длины волны зависит от угла θ, под которым рассеивается гамма-квант:

Слайд 53
3) Поглощение или фотоэффект.
В этом случае квант полностью отдает

свою энергию одному из электронов атома. Электрон с большой скоростью

вылетает из атома, превращаясь в ион.
При этом кинетическая энергия электрона равна разности энергии кванта и работы выхода электрона (формула Эйнштейна):
hν = A + mv2/2

3) Поглощение или фотоэффект. В этом случае квант полностью отдает свою энергию одному из электронов атома. Электрон

Слайд 54
4) Образование электронно-позитронной пары.
Если энергия кванта больше, чем 1,022

МэВ, то в поле ядерных сил он может превратиться в

две частицы – электрон и позитрон.
Этот процесс, обратный аннигиляции, называется процессом рождения пары.

4) Образование электронно-позитронной пары. Если энергия кванта больше, чем 1,022 МэВ, то в поле ядерных сил он

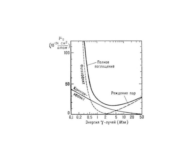
Слайд 56

Вероятность каждого из перечисленных процессов существенно зависит от энергии кванта

и от порядкового номера в таблице Менделеева того элемента, с

которым взаимодействует излучение.
Вероятность каждого из перечисленных процессов существенно зависит от энергии кванта и от порядкового номера в таблице Менделеева

Слайд 57
В частности, чем ближе к началу периодической системы находится элемент,

тем менее вероятен процесс поглощения.
С ростом энергии кванта вероятность

поглощения и рассеяния уменьшается, причем вероятность поглощения убывает гораздо быстрее, чем вероятность рассеяния.
В частности, чем ближе к началу периодической системы находится элемент, тем менее вероятен процесс поглощения. С ростом

Слайд 58

Вероятность образования пар, наоборот, увеличивается с ростом энергии квантов, и

при больших энергиях процесс образования пар становится доминирующим.

Вероятность образования пар, наоборот, увеличивается с ростом энергии квантов, и при больших энергиях процесс образования пар становится

Слайд 60 5. Закон ослабления рентгеновского и гамма-излучения веществом
Ослабление интенсивности рентгеновских и

гамма-лучей при прохождении их через слой вещества толщиной х количественно

описывается законом Бугера:







5. Закон ослабления рентгеновского и гамма-излучения веществом Ослабление интенсивности рентгеновских и гамма-лучей при прохождении их через

Слайд 61
Здесь I0 – интенсивность падающего излучения, I(x) – интенсивность излучения

после прохождения через вещество,
μ - линейный коэффициент ослабления.
μ

зависит от порядкового номера элемента, а также от вида и энергии излучения.
Здесь I0 – интенсивность падающего излучения, I(x) – интенсивность излучения после прохождения через вещество, 	μ - линейный

Слайд 62
Наряду с коэффициентом ослабления μ часто пользуются другой величиной, называемой

слоем половинного ослабления.
Это толщина слоя вещества, который ослабляет интенсивность

излучения вдвое.
Его обозначают d1/2 (x0,5).
Наряду с коэффициентом ослабления μ часто пользуются другой величиной, называемой слоем половинного ослабления. Это толщина слоя вещества,

Слайд 64
Слой половинного ослабления и коэффициент ослабления связаны между собой:
μ

= ln2/d1/2 = 0,693/d1/2.

Слой половинного ослабления и коэффициент ослабления связаны между собой: μ = ln2/d1/2 = 0,693/d1/2.

Слайд 65
Зная величину слоя половинного ослабления в стандартном веществе (например -

в алюминии), можно сравнить жесткость (проникающую способность) разных излучений.
Чем

больше слой половинного ослабления, тем более жестким является излучение.

Зная величину слоя половинного ослабления в стандартном веществе (например - в алюминии), можно сравнить жесткость (проникающую способность)

Слайд 66

В ряде случаев поглощающий слой вещества удобнее характеризовать не толщиной,

а величиной массы, приходящейся на единицу площади (m/S).

В ряде случаев поглощающий слой вещества удобнее характеризовать не толщиной, а величиной массы, приходящейся на единицу площади

Слайд 67
Тогда, вводя массовый коэффициент ослабления μм = μ/ρ, где ρ

- плотность вещества, можно переписать закон Бугера в виде:



Тогда, вводя массовый коэффициент ослабления μм = μ/ρ, где ρ - плотность вещества, можно переписать закон Бугера

Слайд 68

Значения массовых коэффициентов ослабления в разных веществах гораздо меньше отличаются

друг от друга, чем линейные коэффициенты ослабления, и поэтому ими

пользоваться удобнее.
Значения массовых коэффициентов ослабления в разных веществах гораздо меньше отличаются друг от друга, чем линейные коэффициенты ослабления,

Слайд 70
Если излучение проходит последовательно через несколько разных веществ, то при

использовании массового коэффициента ослабления аргументом экспоненты становится суммарная толщина слоя

вещества, выраженная в массовых единицах (приведенная масса).

Если излучение проходит последовательно через несколько разных веществ, то при использовании массового коэффициента ослабления аргументом экспоненты становится

Обратная связь

Если не удалось найти и скачать доклад-презентацию, Вы можете заказать его на нашем сайте. Мы постараемся найти нужный Вам материал и отправим по электронной почте. Не стесняйтесь обращаться к нам, если у вас возникли вопросы или пожелания:

Email: Нажмите что бы посмотреть 

Что такое TheSlide.ru?

Это сайт презентации, докладов, проектов в PowerPoint. Здесь удобно  хранить и делиться своими презентациями с другими пользователями.


Для правообладателей

Яндекс.Метрика