Разделы презентаций


Распространение возбуждения по возбудимым мембранам. Биофизические основы электрокардиографии

Содержание

1. Распространение потенциала действия по возбудимым мембранамПри возбуждении нервного волокна (например, прямоугольным импульсом напряжения) можно зарегистрировать потенциалы действия не только в месте раздражения, но и на значительных расстояниях от него.

Слайды и текст этой презентации

Слайд 1ВОЕННО–МЕДИЦИНСКАЯ АКАДЕМИЯ имени С.М. Кирова Кафедра биологической и медицинской физики
ЛЕКЦИЯ № 14

по

дисциплине «Физика, математика»
на тему: «Распространение возбуждения по возбудимым мембранам. Биофизические

основы электрокардиографии»
для курсантов и студентов I курса ФПВ, ФПиУГВ, спецфакультета

ВОЕННО–МЕДИЦИНСКАЯ АКАДЕМИЯ имени С.М. Кирова Кафедра биологической и медицинской физикиЛЕКЦИЯ № 14по дисциплине «Физика, математика»на тему: «Распространение

Слайд 21. Распространение потенциала действия по возбудимым мембранам
При возбуждении нервного волокна

(например, прямоугольным импульсом напряжения) можно зарегистрировать потенциалы действия не только

в месте раздражения, но и на значительных расстояниях от него.
1. Распространение потенциала действия по возбудимым мембранамПри возбуждении нервного волокна (например, прямоугольным импульсом напряжения) можно зарегистрировать потенциалы

Слайд 3
На всем протяжении нервного волокна ПД имеют одинаковую амплитуду, но

появляются с задержкой, которая пропорциональна расстоянию от места нанесения стимула.


Например, в двигательном нерве ПД регистрируется на участке, расположенном от места раздражения на расстоянии 1 м, через 10 мс; отсюда следует, что скорость распространения возбуждения по нерву равна 100 м/с.

На всем протяжении нервного волокна ПД имеют одинаковую амплитуду, но появляются с задержкой, которая пропорциональна расстоянию от

Слайд 4
Распространение возбуждения по нерву складывается из двух последовательных процессов:
1)

распространения ЭМП с затуханием (декрементом);
2) ретрансляции ПД.

Распространение возбуждения по нерву складывается из двух последовательных процессов: 1) распространения ЭМП с затуханием (декрементом); 2) ретрансляции

Слайд 5
Пусть в некоторой точке нервного волокна (аксона) развился и достиг

пика ПД, т.е. произошла деполяризация мембраны.
В месте возникновения ПД

потенциал внутренней стороны мембраны положителен, а потенциал наружной стороны мембраны отрицателен.
Пусть в некоторой точке нервного волокна (аксона) развился и достиг пика ПД, т.е. произошла деполяризация мембраны. В

Слайд 6
И в цитоплазме, и в окружающей мембрану межклеточной жидкости возникают

ионные токи (локальные токи): между участками поверхности мембраны с большим

потенциалом (положительно заряженными) и участками поверхности мембраны с меньшим потенциалом (отрицательно заряженными).
И в цитоплазме, и в окружающей мембрану межклеточной жидкости возникают ионные токи (локальные токи): между участками поверхности

Слайд 8
За счет этих токов потенциал внутренней поверхности соседних невозбужденных участков

мембраны повышается (становится более положительным), потенциал наружной поверхности невозбужденных участков

понижается (становится более отрицательным).
За счет этих токов потенциал внутренней поверхности соседних невозбужденных участков мембраны повышается (становится более положительным), потенциал наружной

Слайд 9

Трансмембранная разность потенциалов уменьшается по абсолютной величине, невозбужденные участки мембраны

деполяризуются.

Трансмембранная разность потенциалов уменьшается по абсолютной величине, невозбужденные участки мембраны деполяризуются.

Слайд 10
По мере удаления от точки возникновения ПД изменения трансмембранной разности

потенциалов убывают по экспоненциальному закону (распространение с затуханием или декрементом).


По мере удаления от точки возникновения ПД изменения трансмембранной разности потенциалов убывают по экспоненциальному закону (распространение с

Слайд 11
В тех точках мембраны, где сдвиг трансмембранной разности потенциалов оказывается

выше КМП, открываются натриевые каналы и происходит развитие новых ПД

(ретрансляция потенциала действия).

В тех точках мембраны, где сдвиг трансмембранной разности потенциалов оказывается выше КМП, открываются натриевые каналы и происходит

Слайд 12

Таким образом, возникающий на возбудимой мембране ПД является надпороговым стимулом

для определенного участка мембраны.

Таким образом, возникающий на возбудимой мембране ПД является надпороговым стимулом для определенного участка мембраны.

Слайд 13
Поскольку распространение ЭМП происходит со скоростью света в среде, пассивные

сдвиги трансмембранной разности потенциалов происходят быстро, и скорость распространения возбуждения

по мембране зависит от величины участка, одновременно охваченного возбуждением.

Поскольку распространение ЭМП происходит со скоростью света в среде, пассивные сдвиги трансмембранной разности потенциалов происходят быстро, и

Слайд 14

Величина деполяризующего потенциала зависит от расстояния от возбужденного участка мембраны

следующим образом:
Ux = U0.e-x/λ

Величина деполяризующего потенциала зависит от расстояния от возбужденного участка мембраны следующим образом:Ux = U0.e-x/λ

Слайд 15
где Ux – величина деполяризующего потенциала в точке "х";
U0

– изменение мембранного потенциала в точке возбуждения;
х – расстояние

от места возникновения возбуждения;
λ – постоянная длины мембраны (равная расстоянию, на котором деполяризующий потенциал уменьшается в "е" раз).

где Ux – величина деполяризующего потенциала в точке

Слайд 16
Постоянная длины определяется следующими параметрами нервного волокна:



Постоянная длины определяется следующими параметрами нервного волокна:

Слайд 17

где rm – удельное электрическое сопротивление оболочки волокна;
δ –

толщина оболочки;
а – радиус волокна;
ri – удельное сопротивление

цитоплазмы.
где rm – удельное электрическое сопротивление оболочки волокна; δ – толщина оболочки; а – радиус волокна; ri

Слайд 18
Чем больше константа длины мембраны, тем меньше затухание и выше

скорость распространения нервного импульса.
Величина λ тем больше, чем больше радиус

аксона и удельное сопротивление мембраны и чем меньше удельное сопротивление цитоплазмы.

Чем больше константа длины мембраны, тем меньше затухание и выше скорость распространения нервного импульса.Величина λ тем больше,

Слайд 19

Большую скорость распространения нервного импульса по аксону кальмара обеспечивает их

гигантский по сравнению с аксонами позвоночных диаметр, равный 1-2 мм

(λ ~ 2,5 мм).

Большую скорость распространения нервного импульса по аксону кальмара обеспечивает их гигантский по сравнению с аксонами позвоночных диаметр,

Слайд 20

Такой способ повышения скорости распространения возбуждения посредством утолщения нервных волокон

пригоден для животных, у которых мало быстропроводящих коммуникаций.

Такой способ повышения скорости распространения возбуждения посредством утолщения нервных волокон пригоден для животных, у которых мало быстропроводящих

Слайд 21
У позвоночных животных, которые имеют нервы с большим количеством проводящих

волокон, возможности их утолщения ограничены размерами животного.
Большая скорость передачи

возбуждения в нервных волокнах достигается другими способами.
Аксоны позвоночных снабжены миелиновой оболочкой.

У позвоночных животных, которые имеют нервы с большим количеством проводящих волокон, возможности их утолщения ограничены размерами животного.

Слайд 24
Миелиновая оболочка образуется в процессе наматывания на аксон окружающих его

шванновских клеток.
Оболочка представляет собой многомембранную систему, включающую несколько десятков

элементарных клеточных мембран, прилегающих друг к другу.
Миелиновая оболочка образуется в процессе наматывания на аксон окружающих его шванновских клеток. Оболочка представляет собой многомембранную систему,

Слайд 25
Диффузия ионов через миелиновую оболочку невозможна.
Поэтому в мякотном волокне генерация

ПД возможна только там, где миелиновая оболочка отсутствует (в перехватах

Ранвье или активных узлах).
В среднем расстояние между перехватами Ранвье составляет около 1 мм.
Диффузия ионов через миелиновую оболочку невозможна.Поэтому в мякотном волокне генерация ПД возможна только там, где миелиновая оболочка

Слайд 26
Мембрана перехвата Ранвье специализирована для генерации возбуждения: плотность натриевых потенциалзависимых

каналов здесь примерно в 100 раз выше, чем в немиелинизированных

нервных волокнах.

Мембрана перехвата Ранвье специализирована для генерации возбуждения: плотность натриевых потенциалзависимых каналов здесь примерно в 100 раз выше,

Слайд 27
От перехвата к перехвату возбуждение распространяется за счет декрементного распространения

ЭМП.

От перехвата к перехвату возбуждение распространяется за счет декрементного распространения ЭМП.

Слайд 29
При этом постоянная длины (λ) для этих волокон больше (так

как увеличиваются сопротивление мембраны и ее толщина).
Высокое значение постоянной длины

обеспечивает высокую скорость распространения возбуждения по мякотным волокнам (до 140 м/с).

При этом постоянная длины (λ) для этих волокон больше (так как увеличиваются сопротивление мембраны и ее толщина).Высокое

Слайд 30
Ретрансляция ПД обычно происходит на 2-3 соседних перехватах Ранвье.
Более

частое, чем необходимо для обеспечения нормального распространения возбуждения, расположение активных

узлов служит повышению надежности нервных коммуникаций в организме.
Ретрансляция ПД обычно происходит на 2-3 соседних перехватах Ранвье. Более частое, чем необходимо для обеспечения нормального распространения

Слайд 31
Поскольку ретрансляция ПД происходит только в перехватах Ранвье, то возбуждение

как бы "перепрыгивает" через миелинизированные участки мембраны; такой тип проведения

возбуждения получил название сальтаторного (saltus (лат.) = скачок).

Поскольку ретрансляция ПД происходит только в перехватах Ранвье, то возбуждение как бы

Слайд 32
Миелинизация обеспечивает повышение скорости проведения при существенной экономии энергетических ресурсов.
Потребление

кислорода такими волокнами в 200 раз меньше, чем при непрерывном

распространении нервных импульсов по безмякотным аксонам
Миелинизация обеспечивает повышение скорости проведения при существенной экономии энергетических ресурсов.Потребление кислорода такими волокнами в 200 раз меньше,

Слайд 33 2. Синаптическая передача.

Функциональный межклеточный контакт, обеспечивающий переход возбуждения с одной

клетки на другую, получил название сИнапса (от греч. глагола "синапто"

– смыкать).

2. Синаптическая передача. Функциональный межклеточный контакт, обеспечивающий переход возбуждения с одной клетки на другую, получил название

Слайд 34

Существует два принципиально различных типа синапсов – электрические и химические.



Существует два принципиально различных типа синапсов – электрические и химические.

Слайд 35

Электрическая синаптическая передача возможна только при очень тесном соприкосновении взаимодействующих

клеток – при расстоянии между ними не более 10-20 нанометров

(часто 2-4 нм).
Электрическая синаптическая передача возможна только при очень тесном соприкосновении взаимодействующих клеток – при расстоянии между ними не

Слайд 36
В этом случае развитие ПД на мембране одной клетки приводит

за счет возникновения локальных токов к деполяризации мембраны другой клетки,

которая может оказаться выше порога генерирования ПД.
В этом случае развитие ПД на мембране одной клетки приводит за счет возникновения локальных токов к деполяризации

Слайд 38
Большое значение для осуществления электрической передачи нервного импульса имеет существование

в области синапса особых межклеточных контактов – щелевых контактов (нексусов).


При этом в каждой из двух соседних мембран находятся регулярно расположенные коннексоны (канальные белки с большим диаметром канала и, соответственно, высокой проводимостью для ионов, и даже более крупных молекул с молекулярной массой до 1000).

Большое значение для осуществления электрической передачи нервного импульса имеет существование в области синапса особых межклеточных контактов –

Слайд 40
Такие контакты обычны для ЦНС, миокарда и гладкой мускулатуры, где

связанные щелевыми контактами клетки образуют функциональный синцитий (возбуждение переходит от

одной клетки к другой очень быстро и без заметного снижения амплитуды потенциала действия на границе).
Такие контакты обычны для ЦНС, миокарда и гладкой мускулатуры, где связанные щелевыми контактами клетки образуют функциональный синцитий

Слайд 41
Щелевые контакты регулируемы, они могут закрываться при снижении рН или

повышении концентрации Са2+ (повреждение клеток или глубокие нарушения обмена).
За

счет такого механизма пораженные места изолируются от остальной части синцития, и распространение патологии ограничивается (инфаркт миокарда).

Щелевые контакты регулируемы, они могут закрываться при снижении рН или повышении концентрации Са2+ (повреждение клеток или глубокие

Слайд 42
Химическая синаптическая передача осуществляется с помощью химических веществ-посредников (медиаторов).
В

этом случае расстояние между взаимодействующими клетками в области контакта (ширина

синаптической щели) больше.

Химическая синаптическая передача осуществляется с помощью химических веществ-посредников (медиаторов). В этом случае расстояние между взаимодействующими клетками в

Слайд 43
Электрическое поле затухает в пределах синаптической щели и не может

деполяризовать постсинаптическую мембрану.
Отсюда возникает необходимость химического посредника.

Электрическое поле затухает в пределах синаптической щели и не может деполяризовать постсинаптическую мембрану. Отсюда возникает необходимость химического

Слайд 45
Деполяризация пресинапса приводит к изменению проницаемости пресинаптической мембраны для медиатора,

медиатор выбрасывается в синаптическую щель, диффундирует через нее и взаимодействует

с белками-рецепторами постсинаптической мембраны.
Деполяризация пресинапса приводит к изменению проницаемости пресинаптической мембраны для медиатора, медиатор выбрасывается в синаптическую щель, диффундирует через

Слайд 46
Изменение конформации белков-рецепторов при образовании комплекса "рецептор-медиатор" приводит к открытию

на мембране специфических химиочувствительных ионных каналов, протекающие через которые ионные

токи изменяют мембранный потенциал на мембране.
Изменение конформации белков-рецепторов при образовании комплекса

Слайд 47
В зависимости от направления изменения трансмембранного потенциала химические синапсы могут

быть возбуждающими (деполяризация постсинаптической мембраны) или тормозными (гиперполяризация постсинаптической мембраны).

В зависимости от направления изменения трансмембранного потенциала химические синапсы могут быть возбуждающими (деполяризация постсинаптической мембраны) или тормозными

Слайд 48
В случае возникновения ВПСП (возбуждающего постсинаптического потенциала) он с затуханием

(декрементом) распространяется по постсинаптической мембране и может вызвать возникновение ПД

на возбудимых участках мембраны принимающей сигнал клетки, если он превышает пороговый уровень.

В случае возникновения ВПСП (возбуждающего постсинаптического потенциала) он с затуханием (декрементом) распространяется по постсинаптической мембране и может

Слайд 49 3. Особенности биоэлектрогенеза мышечных волокон миокарда сердца.
Сердце выполняет в кровеносной

системе роль четырехкамерного насоса, обеспечивающего движение крови по сосудам.
Оно

представляет собой полый мышечный орган, состоящий из четырех отделов – двух предсердий и двух желудочков.
3. Особенности биоэлектрогенеза мышечных волокон миокарда сердца. Сердце выполняет в кровеносной системе роль четырехкамерного насоса, обеспечивающего

Слайд 50
Ритмические сокращения сердца возникают под действием импульсов (ПД), зарождающихся в

нем самом.
Если изолированное сердце поместить в соответствующие условия, то

оно будет продолжать биться с постоянной частотой. Это свойство называется автоматизмом.

Ритмические сокращения сердца возникают под действием импульсов (ПД), зарождающихся в нем самом. Если изолированное сердце поместить в

Слайд 51
Функциональным элементом сердца служит мышечное волокно – цепочка из клеток

миокарда, соединенных "конец в конец" и заключенных в общую саркоплазматическую

оболочку (основную мембрану).
Функциональным элементом сердца служит мышечное волокно – цепочка из клеток миокарда, соединенных

Слайд 52

В зависимости от морфологических и функциональных особенностей различают два типа

волокон миокарда:

В зависимости от морфологических и функциональных особенностей различают два типа волокон миокарда:

Слайд 53

1) волокна рабочего миокарда предсердий и желудочков, составляющие его основную

массу и обеспечивающие нагнетательную функцию (типичные миокардиальные волокна = ТМВ);

1) волокна рабочего миокарда предсердий и желудочков, составляющие его основную массу и обеспечивающие нагнетательную функцию (типичные миокардиальные

Слайд 54

2) волокна водителя ритма (пейсмекера) и проводящей системы (атипичные мышечные

волокна), отвечающие за генерацию возбуждения и проведение его к клеткам

рабочего миокарда.

2) волокна водителя ритма (пейсмекера) и проводящей системы (атипичные мышечные волокна), отвечающие за генерацию возбуждения и проведение

Слайд 55
Миокард (сердечная мышца), подобно нервным тканям и скелетным мышцам, принадлежит

к возбудимым тканям.
Это значит, что клетки миокарда обладают потенциалом

покоя (ПП), отвечают на надпороговые стимулы генерацией потенциала действия (ПД) и способны проводить ПД без затухания (бездекрементно).
Миокард (сердечная мышца), подобно нервным тканям и скелетным мышцам, принадлежит к возбудимым тканям. Это значит, что клетки

Слайд 56
Межклеточные соединения (щелевые контакты) способствуют проведению возбуждения и обеспечивают функционирование

миокарда как функционального синцития (т.е. возбуждение, возникшее в каком-либо из

отделов сердца, охватывает все без исключения невозбужденные волокна).
Межклеточные соединения (щелевые контакты) способствуют проведению возбуждения и обеспечивают функционирование миокарда как функционального синцития (т.е. возбуждение, возникшее

Слайд 57
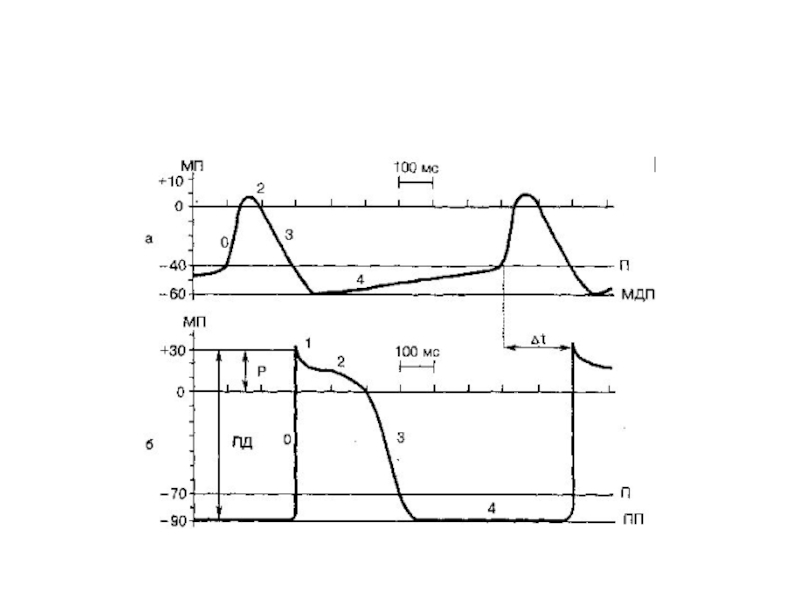
Как и в нервных клетках и волокнах скелетных мышц, ПД

в типичных миокардиальных волокнах возникает в ответ на стимул (переданный

с АТМВ ПД) и начинается с быстрой реверсии мембранного потенциала от ПП (примерно - 90 мВ) до потенциала инверсии (примерно + 30 мВ).
Как и в нервных клетках и волокнах скелетных мышц, ПД в типичных миокардиальных волокнах возникает в ответ

Слайд 58
За этой фазой быстрой деполяризации (продолжительность – 1-2 мс) следует

более длительная фаза плато – специфическая особенность клеток миокарда, затем

наступает фаза реполяризации, по окончании которой восстанавливается ПП.
За этой фазой быстрой деполяризации (продолжительность – 1-2 мс) следует более длительная фаза плато – специфическая особенность

Слайд 59

Длительность ПД кардиомиоцитов составляет 200-400 мс, т.е. более чем в

100 раз превышает соответствующую величину для скелетных мышц и нервных

волокон.

Длительность ПД кардиомиоцитов составляет 200-400 мс, т.е. более чем в 100 раз превышает соответствующую величину для скелетных

Слайд 61
ПП близок к К+-равновесному потенциалу; деполяризация обусловлена лавинообразно нарастающим Na+-током

(однако, этот Na-ток быстро инактивируется); фаза плато обусловлена входящим Са2+-током

(медленный входящий ток) + снижение проводимости для К+, возникающее при деполяризации и уменьшающее реполяризацию; реполяризация обусловлена выходящим К+-током и снижением проводимости для иона Са2+.
ПП близок к К+-равновесному потенциалу; деполяризация обусловлена лавинообразно нарастающим Na+-током (однако, этот Na-ток быстро инактивируется); фаза плато

Слайд 62

Специфическая форма ПД ТМВ имеет большое функциональное значение, так как

определенным фазам ПД соответствует определенные изменения возбудимости мембраны (фазы рефрактерности),


Специфическая форма ПД ТМВ имеет большое функциональное значение, так как определенным фазам ПД соответствует определенные изменения возбудимости

Слайд 63
Во время длительной деполяризации мембраны (плато) Na+-каналы инактивируются, и ТМВ

находится в состоянии абсолютной рефрактерности.
Восстановление активности натриевых каналов происходит только

после снижения МП до уровня, примерно равного – 40 мВ.
Во время длительной деполяризации мембраны (плато) Na+-каналы инактивируются, и ТМВ находится в состоянии абсолютной рефрактерности.Восстановление активности натриевых

Слайд 64
Длительный рефрактерный период предохраняет сердце от слишком быстрого повторного возбуждения

и повторного сокращения.
Такое возбуждение, возникшее до расслабления мышечного волокна,

могло бы привести к нарушению нагнетательной функции сердца (тетанус миокарда).
Длительный рефрактерный период предохраняет сердце от слишком быстрого повторного возбуждения и повторного сокращения. Такое возбуждение, возникшее до

Слайд 65
ПД атипичных мышечных волокон – отличается отсутствием устойчивого уровня ПП.


Эти клетки спонтанно деполяризуются до критического уровня.
Фазы ПД –

медленная диастолическая деполяризация до КМП; быстрая ДП; более или менее выраженная фаза плато; быстрая реполяризация.

ПД атипичных мышечных волокон – отличается отсутствием устойчивого уровня ПП. Эти клетки спонтанно деполяризуются до критического уровня.

Слайд 67 4. Проводящая система сердца. Распространение возбуждения по миокарду.
АТМВ миокарда образуют

так называемую проводящую систему.
Она представляет собой совокупность узлов и

пучков атипичной мышечной ткани, функцией которой является генерация ПД, служащих стимулами для ТМВ, то есть задание определенного ритма сердечных сокращений.
4. Проводящая система сердца. Распространение возбуждения по миокарду. АТМВ миокарда образуют так называемую проводящую систему. Она

Слайд 68

Строение проводящей системы обеспечивает строго согласованное и последовательное возбуждение и

сокращение различных отделов сердца.

Строение проводящей системы обеспечивает строго согласованное и последовательное возбуждение и сокращение различных отделов сердца.

Слайд 70
В норме водителем ритма является синоатриальный узел, расположенный в стенке

правого предсердия в месте впадения в него верхней полой вены.

Частота разрядов СА в покое составляет около 70 1/мин.
От этого узла возбуждение вначале распространяется по рабочему миокарду предсердий (со скоростью порядка 1 м/с).

В норме водителем ритма является синоатриальный узел, расположенный в стенке правого предсердия в месте впадения в него

Слайд 72
Единственный путь, по которому возбуждение может пройти к желудочкам, образует

атриовентрикулярный узел (АВ), лежащий в предсердно-желудочковой перегородке (остальная часть атриовентрикулярного

соединения образована невозбудимой соединительной тканью).
В АВ узле скорость проведения значительно падает (в 20-50 раз; 0,02-0,05 м/с) за счет снижения диаметра волокон АВ-узла и поперечного их расположения
Единственный путь, по которому возбуждение может пройти к желудочкам, образует атриовентрикулярный узел (АВ), лежащий в предсердно-желудочковой перегородке

Слайд 73
Это приводит к тому, что возбуждение "задерживается" в АВ-узле (АВ-задержка

необходима для полного перехода крови из предсердий в желудочки во

время сокращения предсердий).

Это приводит к тому, что возбуждение

Слайд 74
Далее возбуждение распространяется по пучку Гиса, ножкам пучка Гиса и

волокнам Пуркинье к верхушке сердца со все возрастающей (до 4-5

м/с) скоростью (увеличение диаметра АТМВ), а затем переходит на рабочие волокна миокарда, по которым распространяется в обратном направлении – от верхушки сердца к основанию.
За волной возбуждения следует сокращение ТМВ миокарда.

Далее возбуждение распространяется по пучку Гиса, ножкам пучка Гиса и волокнам Пуркинье к верхушке сердца со все

Слайд 75 5. Электрокардиография. Электрокардиограмма. Интегральный электрический вектор сердца.

Сложный характер распространения

возбуждения по сердцу отображается в электрокардиограмме (ЭКГ), по форме которой

можно судить о возбудимости и проводимости различных отделов сердца (но не о сократимости волокон миокарда!)

5. Электрокардиография. Электрокардиограмма. Интегральный электрический вектор сердца. Сложный характер распространения возбуждения по сердцу отображается в

Слайд 76
Если рассмотреть отдельное миокардиальное волокно, то в покое его наружная

поверхность имеет положительный, а внутренняя – отрицательный потенциал.
При возбуждении

(ПД) возбужденный участок мембраны меняет свою полярность (т.е. снаружи – «-», а внутри «+»).
Если рассмотреть отдельное миокардиальное волокно, то в покое его наружная поверхность имеет положительный, а внутренняя – отрицательный

Слайд 77
Возбужденное волокно можно рассматривать как диполь, обладающий определенным дипольным моментом.
Векторная

сумма дипольных моментов всех волокон миокарда называется интегральным электрическим вектором

сердца (ИЭВС).
Возбужденное волокно можно рассматривать как диполь, обладающий определенным дипольным моментом.Векторная сумма дипольных моментов всех волокон миокарда называется

Слайд 78
Этот вектор в каждый момент времени направлен от наиболее возбужденного

(электроотрицательного) к наименее возбужденному (электроположительному) участку сердца, и величина и

направление его в ходе сердечного цикла многократно меняются.

Этот вектор в каждый момент времени направлен от наиболее возбужденного (электроотрицательного) к наименее возбужденному (электроположительному) участку сердца,

Слайд 79
Как известно, движущиеся заряды создают вокруг себя переменное электрическое поле,

которое распространяется в пространстве.
Поэтому работающее сердце также является источником

электрического поля, которое можно зарегистрировать на поверхности тела.
Как известно, движущиеся заряды создают вокруг себя переменное электрическое поле, которое распространяется в пространстве. Поэтому работающее сердце

Слайд 80
Для этого на различные точки поверхности тела накладывают отводящие электроды

и регистрируют разность потенциалов между ними.
Регистрирующий прибор (электрокардиограф) по

сути представляет собой усилитель переменного тока и регистрирующее устройство (самописец).
Для этого на различные точки поверхности тела накладывают отводящие электроды и регистрируют разность потенциалов между ними. Регистрирующий

Слайд 82
Кривая, отображающая зависимость этой разности потенциалов от времени, называется электрокардиограммой.


Она представляет собой периодическое
(Т = 1/ЧСС) колебание сложной формы.



Кривая, отображающая зависимость этой разности потенциалов от времени, называется электрокардиограммой. Она представляет собой периодическое 	(Т = 1/ЧСС)

Слайд 84
Величина разности потенциалов, регистрируемой между двумя электродами, находящимися на поверхности

тела человека будет зависеть от величины интегрального электрического вектора и

угла между направлением этого вектора и осью отведения (проведенной между этими электродами).
Таким образом, ЭКГ представляет собой динамику во времени проекции ИЭВС на ось отведения.

Величина разности потенциалов, регистрируемой между двумя электродами, находящимися на поверхности тела человека будет зависеть от величины интегрального

Слайд 85Виллем Эйнтховен (1860-1927), Нобелевский лауреат 1924 г.

Виллем Эйнтховен (1860-1927), Нобелевский лауреат 1924 г.

Обратная связь

Если не удалось найти и скачать доклад-презентацию, Вы можете заказать его на нашем сайте. Мы постараемся найти нужный Вам материал и отправим по электронной почте. Не стесняйтесь обращаться к нам, если у вас возникли вопросы или пожелания:

Email: Нажмите что бы посмотреть 

Что такое TheSlide.ru?

Это сайт презентации, докладов, проектов в PowerPoint. Здесь удобно  хранить и делиться своими презентациями с другими пользователями.


Для правообладателей

Яндекс.Метрика