Разделы презентаций


Тема : Определенный интеграл. Его основные свойства. Методы вычислений

До 17 века:abaab

Слайды и текст этой презентации

Слайд 1Тема: Определенный интеграл. Его

основные свойства. Методы вычислений.

Тема: Определенный интеграл.        Его основные свойства.    Методы

Слайд 2До 17 века:
a
b
a
a
b

До 17 века:abaab

Слайд 30
x
y
С появлением дифференциального и интегрального исчисления:
S
S

0xyС появлением дифференциального и интегрального исчисления:SS

Слайд 4Задача о площади криволинейной трапеции.
a
b
x
y
0

Задача о площади криволинейной трапеции.abxy0

Слайд 5a
b
x
y
0
1. Разобьем [a, b] на n равных отрезков точками
В

результате получим промежутки:
2. На каждом
выберем произвольную точку
3. Найдем



=

=

(1)

формула интегральной суммы

abxy01. Разобьем [a, b] на n равных отрезков точками В результате получим промежутки:2. На каждом выберем произвольную

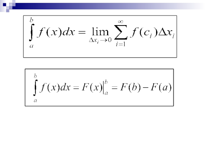
Слайд 6
Опр: Если при любом разбиении отрезка

[a, b] на части и при любом выборе

точек на каждой части
интегральная сумма стремится к
одному и тому же пределу, то его
называют определенным интегралом
и обозначают:

(2)

Опр: Если при любом разбиении отрезка     [a, b] на части и при любом

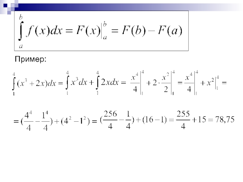
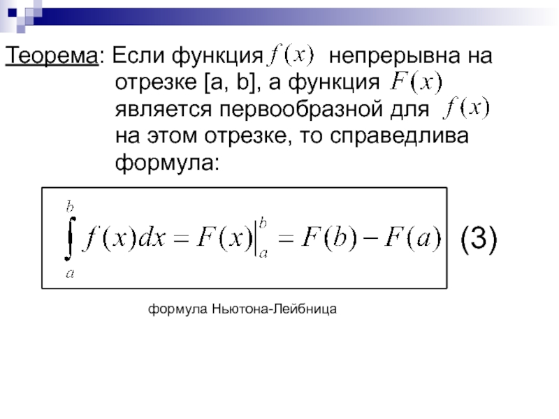
Слайд 7Теорема: Если функция непрерывна на

отрезке [a,

b], а функция
является первообразной для
на этом отрезке, то справедлива
формула:

(3)

формула Ньютона-Лейбница

Теорема: Если функция     непрерывна на

Слайд 8И. Ньютон
Г. Лейбниц

И. НьютонГ. Лейбниц

Слайд 10Свойства определенного интеграла:
1)
2)
3)
4)
5)

Свойства определенного интеграла:1)2)3)4)5)

Слайд 11a
b
x
0
с
y

abx0сy

Слайд 13Пример:

Пример:

Обратная связь

Если не удалось найти и скачать доклад-презентацию, Вы можете заказать его на нашем сайте. Мы постараемся найти нужный Вам материал и отправим по электронной почте. Не стесняйтесь обращаться к нам, если у вас возникли вопросы или пожелания:

Email: Нажмите что бы посмотреть 

Что такое TheSlide.ru?

Это сайт презентации, докладов, проектов в PowerPoint. Здесь удобно  хранить и делиться своими презентациями с другими пользователями.


Для правообладателей

Яндекс.Метрика