Разделы презентаций


Численные алгоритмы

Содержание

Решение алгебраических и трансцендентных уравненийДано уравнение где функция определена и непрерывна на отрезке a

Слайды и текст этой презентации

Слайд 1Численные алгоритмы.
Численные алгоритмы:
решение алгебраических и трансцендентных уравнений,
решение систем

линейных алгебраических уравнений,
решение систем обыкновенных дифференциальных уравнений,
решение уравнений

в частных производных,
оптимизация,
обработка числовых данных.

Алгоритмы типа «разделяй-и-властвуй» реализуются в задачах поиска корня алгебраических и трансцендентных уравнений, а также в задачах оптимизации.
Численные алгоритмы. Численные алгоритмы:решение алгебраических и трансцендентных уравнений, решение систем линейных алгебраических уравнений, решение систем обыкновенных дифференциальных

Слайд 2Решение алгебраических и трансцендентных уравнений
Дано уравнение
где функция

определена и непрерывна на отрезке a

, обращающее в нуль (т.е. ) является корнем уравнения

Алгоритм решения:
Отделение корней
Уточнение приближенных значений корней





Решение алгебраических и трансцендентных уравненийДано уравнение	где функция      определена и непрерывна на отрезке

Слайд 3Отделение корней производится разбиением интервала [a,b] на участки [a -

x1 - x2 - x3- … - xn - b],

на которых произведение f(x(i)*f(x(i+1))<0

x1

x2

x3

Уточняем значение корня на каждом из выделенных участков [x(i) - x(i+1)]

Отделение корней производится разбиением интервала [a,b] на участки [a - x1 - x2 - x3- … -

Слайд 4
a
b
xср
f(a)
f(b)
f(xср)

a
b
xср
f(a)
f(xср)
f(b)

a
b
xср

abxсрf(a)f(b)f(xср)abxсрf(a)f(xср)f(b)abxср

Слайд 5Корень нелинейного уравнения. Деление отрезка пополам.
Функция f(x) задана на

отрезке [a,b] и имеет только один корень x*.
ε, δ

– малые значения, b>a.
Шаг1: Вычисляем значения функции f(x) на концах интервала - f(a), f(b).
Шаг2: Определяем середину интервала xср=(a+b)/2 и вычисляем в этой точке значение функции f(xср )
Шаг3: Вычисляем произведение –
f(a)* f(xср ).
Если f(a)* f(xср )<0, то присваиваем b=xср, иначе присваиваем a=xср
Шаг4: Признак завершения счета. Если abs(b-a)<δ, то перейти
к шагу 5,
иначе перейти к шагу 2.
Шаг5: Вычисляем x*=(a+b)/2 и f(x*)
Корень нелинейного уравнения. Деление отрезка пополам. 	Функция f(x) задана на отрезке [a,b] и имеет только один корень

Слайд 6Оптимизация
Поиск минимума функции одной переменной.
Поиск минимума функции нескольких переменных.

ОптимизацияПоиск минимума функции одной переменной.Поиск минимума функции нескольких переменных.

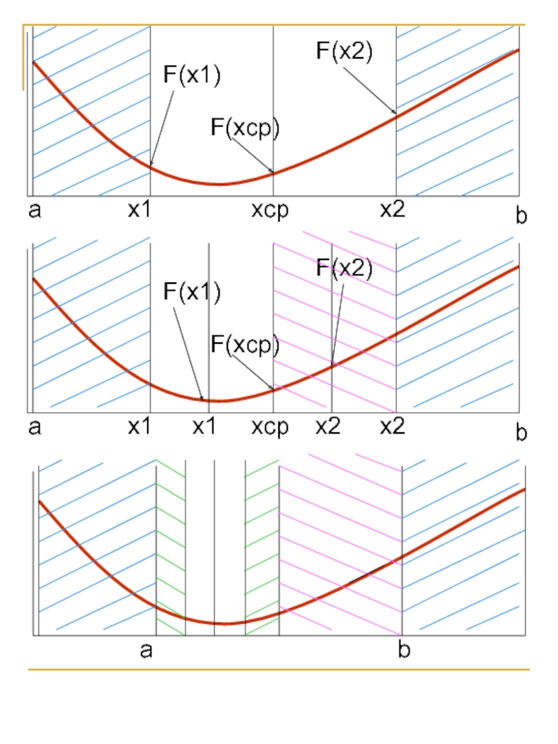
Слайд 7
a
x1 xср x2
b

a
x1 xср x2


b

a
x1 xср x2
b
F(x1)
F(x2)
F(x2)
F(x1)

ax1  xср  x2 bax1  xср  x2 bax1  xср  x2 bF(x1)F(x2)F(x2)F(x1)

Слайд 8Поиск минимума функции одной переменной: дихотомия
Функция F(x) задана на отрезке

[a,b] и имеет только один минимум. ε, δ – малые

значения, b>a.
Шаг1: Определяем середину интервала xср=(a+b)/2 , выделяем две точки на оси аргументов x1= xср – ε и x2= xср + ε .
Шаг2: Вычисляем в этих точках значения функции F(x1) и F(x2 ).
Шаг3: Сравниваем значения функции F(x1) и F(x2 ). Если F(x1) < F(x2 ), то присваиваем b= xср, иначе a= xср .
Шаг4: Завершение счета. Если
abs(b-a)< δ, то перейти к шагу 5, иначе перейти к шагу 2.
Шаг5: Вычисляем xmin=(a+b)/2 и F(xmin)
Поиск минимума функции одной переменной: дихотомия	Функция F(x) задана на отрезке [a,b] и имеет только один минимум. ε,

Слайд 9Функция F(x) задана на отрезке [a,b] и имеет один минимум.


ε, δ – малые значения , b>a.

Поиск минимума функции одной

переменной: деление отрезка пополам.
Функция F(x) задана на отрезке [a,b] и имеет один минимум. ε, δ – малые значения , b>a.Поиск

Слайд 10









F(x1)
F(xср)




F(x1)

функции

a

X1

X

ср

X2

b





F(x2)

F(xср)

F(x1)>F(xср)


Возможные

положения минимума функции

F(x2)

a

X1

X

ср

X2

b















F(x)

2

F(x

ср)

F(x1)>f(xср)

Возможные

положения минимума функции

F(x2)>F(xср)

A

X1

X

ср

X2

B







F(x1)F(xср)F(x1)F(xср) Возможные положения минимума функции F(x2)f(xср) Возможные          положения

Слайд 11
a
b
x1
xср
x2
F(x1)
F(xср)
F(x2)

a
b

a
b
x1
xср
x2
F(x1)
F(xср)
F(x2)
x1
x2

abx1xсрx2F(x1)F(xср)F(x2)ababx1xсрx2F(x1)F(xср)F(x2)x1x2

Слайд 12 Шаг1: Определяем середину отрезка xср=(a+b)/2
Шаг2: Выделяем две точки

x1= xср – abs(b-a)/4 и
x2= xср + abs(b-a)/4 .


Шаг3: Вычисляем в этих точках значения функции F(xср), F(x1) и F(x2 ).
Шаг4: Сравниваем значения функции F(x1) и F(xср ). Если F(x1) < F(xср ), то присваиваем b= xср, xср=x1 и переходим к шагу 6, иначе переходим к шагу 5.
Шаг5: Сравниваем значения функции F(x2) и F(xср ). Если F(x2) < F(xср ), то присваиваем a= xср, xср=x2,
иначе присваиваем a= x1, b= x2
Шаг6: Завершение счета. Если abs(b-a)< δ, то перейти к шагу 7,
иначе перейти к шагу 2.
Шаг7: Вычисляем xmin=(a+b)/2 и F(xmin)

Шаг1: Определяем середину отрезка 			xср=(a+b)/2 Шаг2: Выделяем две точки 		 	x1= xср – abs(b-a)/4 и 			x2= xср

Слайд 13F(X1)< F(Xср),
Xср
X1, X2
F(Xср), F(X1),F(X2)
F(X2)< F(Xср),
abs(b-a)< δ

b= Xср, Xср=X1
a=

Xср, Xср=x2
a= X1, b=X2
Xmin, F( Xmin)

F(X1)< F(Xср), XсрX1, X2F(Xср), F(X1),F(X2)F(X2)< F(Xср), abs(b-a)< δb= Xср, Xср=X1a= Xср, Xср=x2a= X1, b=X2Xmin, F( Xmin)

Слайд 14Поиск минимума функции одной переменной: Золотое сечение.
Геометрическая интерпретация этого принципа

заключается в следующем. Дан отрезок AB


Отношение отрезков определяется соотношением AC/AB=CB/AC,

т.е. отношение большего отрезка к целому равно отношению меньшего отрезка к большему отрезку. Если принять целый отрезок АВ=1, то АС≈0.62, а СВ≈0.38.
Пусть функция F(x) задана на отрезке [a,b]
и имеет только один минимум.
ε, δ – малые значения.

А

С

В

Поиск минимума функции одной переменной: Золотое сечение.	Геометрическая интерпретация этого принципа заключается в следующем. Дан отрезок AB	Отношение отрезков

Слайд 15





F(w)
F(v
)
F(v)>F(w)
Возможные
положения минимума функции
a
V
W
b












F(w)
F(v
)
F(v)

функции
a
V
W
b






F(w)F(v)F(v)>F(w) Возможные положения минимума функции  aVWbF(w)F(v)F(v)

Слайд 16








a
V
W







a
V
W
b







a
V
W
b



b
W
V

aVW aVWb aVWbbWV

Слайд 17Шаг1: Задаем коэффициенты k2=0.62, k1=0.38, интервал [a,b] и отрезок L=b-a.
Шаг2:

Выделяем две точки на оси аргументов v=L*k1 и w=L*k2 .
Шаг3:

Если b-a < δ , то перейти к шагу 9,
иначе перейти к шагу 4
Шаг4: Вычисляем значения F(v) и F(w).
Шаг5: Сравниваем значения F(w) и F(v ).
Если F(w) < F(v ), то присваиваем a=v, v=w и w:=a+(b-a)*k2; иначе переходим к шагу 7.
Шаг6: Присваиваем F(v )= F(w) и вычисляем новое значение F(w) и переходим к шагу 3.
Шаг7: Присваиваем b=w, w=v и v:=a+(b-a)*k1.
Шаг8: Присваиваем F(w )= F(v) и вычисляем новое значение F(v) и переходим к шагу 3.
Шаг9: Вычисляем xmin=(a+b)/2 и F(xmin)
Шаг1: Задаем коэффициенты k2=0.62, k1=0.38, интервал [a,b] и отрезок L=b-a.Шаг2: Выделяем две точки на оси аргументов v=L*k1

Слайд 18Нахождение минимума многомерной функции.
поверхность
уровни
Проекции линий уровней на плоскость
Целевая функция –

функция, описывающая (n+1)-мерную поверхность.

Нахождение минимума многомерной функции.поверхностьуровниПроекции линий уровней на плоскостьЦелевая функция – функция, описывающая (n+1)-мерную поверхность.

Слайд 20Плоскости сечения поверхности по x и y
Локальный минимум
минимум
x
y

Плоскости сечения поверхности по x и y Локальный минимумминимумxy

Слайд 21Алгоритм покоординатного спуска
Шаг 1: Фиксируем значение y1. Функция F(x,y) зависит

только от x - F(x,y1)
Шаг 2: находим минимум F(x,y1) в

точке x1.
Шаг 3:Фиксируем значение x1. Функция F(x,y) зависит только от y - F(x1,y)
Шаг 4: находим минимум F(x1,y) в точке y2.
Шаг 5: Фиксируем значение y2. Функция F(x,y) зависит только от x - F(x,y2)
Шаг 6: находим минимум F(x,y2) в точке x2.
Шаг 7:Фиксируем значение x2. Функция F(x,y) зависит только от x - F(x2,y)
Шаг 8: находим минимум F(x2,y) в точке y3.
Условия выхода:
Значения функции F(x,y) на двух соседних итерациях меньше малого числа ε
Интервал между локальными минимумами на двух соседних итерациях меньше малого числа δ


Алгоритм покоординатного спускаШаг 1: Фиксируем значение y1. Функция F(x,y) зависит только от x - F(x,y1)Шаг 2: находим

Слайд 22Ввод стартовой точки
Вычисление минимума f(x,y) по направлению y
Вычисление минимума

f(x,y) по направлению x
Проверка на глобальный минимум
да
нет
выход

Ввод стартовой точкиВычисление минимума f(x,y) по направлению  yВычисление минимума f(x,y) по направлению  xПроверка на глобальный

Слайд 23Вычисление минимума по направлению
Фиксирование значения одного из параметров целевой функции

f(x,y)
Обращение к процедуре поиска минимума функции одной переменной (деление отрезка

пополам)

Функция f(x,y) записывается как function

Возврат в вызывающую программу

Вычисление минимума по направлениюФиксирование значения одного из параметров целевой функции f(x,y)Обращение к процедуре поиска минимума функции одной

Слайд 24Ограниченность метода покоординатного спуска


Возможные зоны «зацикливания» алгоритма

Ограниченность метода покоординатного спускаВозможные зоны «зацикливания» алгоритма

Слайд 25Градиентный метод поиска минимума функции






Стартовая точка
Линия градиента
Минимум по направлению градиента
Минимум

функции

Градиентный метод поиска минимума функцииСтартовая точкаЛиния градиентаМинимум по направлению градиентаМинимум функции

Слайд 26Метод градиентного спуска
Шаг 1: в стартовой точке определяем градиент целевой

функции F(x,y).
Шаг 2: Проводим сечение поверхности в плоскости вектора

градиента функции
Шаг 3: Проводим спуск вдоль линии сечения в направлении противоположном градиенту и находим локальный минимум одномерной функции
Шаг 4: и далее
Повторяем последовательность шагов 1-3 для каждой найденной точки локального минимума.
Условия выхода:
Значения функции F(x,y) на двух соседних итерациях меньше малого числа ε
Интервал между локальными минимумами на двух соседних итерациях меньше малого числа δ

Метод градиентного спускаШаг 1: в стартовой точке определяем градиент целевой функции F(x,y). Шаг 2: Проводим сечение поверхности

Слайд 27Симплекс-метод
x
y

x1,y1
x3,y3
x2,y2
симплекс

Симплекс-методxyx1,y1x3,y3x2,y2симплекс

Слайд 28

Преобразование симплекса







Центр
тяжести
отображение
растяжение
сжатие
редукция

Преобразование симплексаЦентр тяжестиотображениерастяжениесжатиередукция

Слайд 29Многоэкстремальная функция

Многоэкстремальная функция

Обратная связь

Если не удалось найти и скачать доклад-презентацию, Вы можете заказать его на нашем сайте. Мы постараемся найти нужный Вам материал и отправим по электронной почте. Не стесняйтесь обращаться к нам, если у вас возникли вопросы или пожелания:

Email: Нажмите что бы посмотреть 

Что такое TheSlide.ru?

Это сайт презентации, докладов, проектов в PowerPoint. Здесь удобно  хранить и делиться своими презентациями с другими пользователями.


Для правообладателей

Яндекс.Метрика