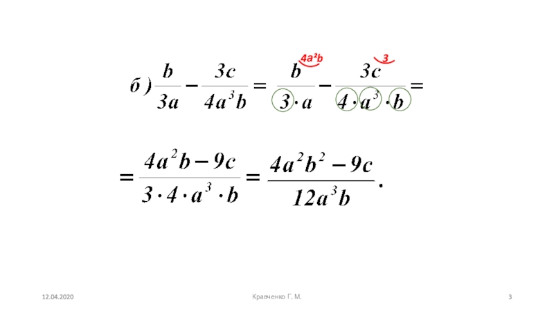
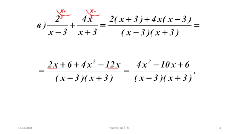
с разными знаменателями:
1. Знаменатели дробей разложить на множители.
2. Найти наименьший
общий знаменатель для дробей.3. Привести все дроби к найденному знаменателю.
4. Сложить или вычесть дроби согласно правилу
сложения и вычитания дробей с одинаковыми
знаменателями.







