Разделы презентаций


Қаныққан көмірсутектер. Алкандар және циклоалкандар

Содержание

Сабақтың мақсаты:Алкандар, жалпы формуласы, атаулары, алкандарды алу және химиялық қасиеттері мен қолданылуы туралы жалпы түсінік беру;Циклоалкандар, формуласы, алынуы, қасиеттері және қолданылуы;Тапсырмаларды орындай отырып, ұқыптылыққа жауапкершілікке тәрбиелеуге ұмтылу.

Слайды и текст этой презентации

Слайд 1Қаныққан көмірсутектер. Алкандар және циклоалкандар.
Мұғалім: Қабдырахмет Рамазан Ахатжанұлы
Новоселовка орта мектебі

Қаныққан көмірсутектер. Алкандар және циклоалкандар.Мұғалім: Қабдырахмет Рамазан АхатжанұлыНовоселовка орта мектебі

Слайд 2Сабақтың мақсаты:
Алкандар, жалпы формуласы, атаулары, алкандарды алу және химиялық қасиеттері

мен қолданылуы туралы жалпы түсінік беру;
Циклоалкандар, формуласы, алынуы, қасиеттері және

қолданылуы;
Тапсырмаларды орындай отырып, ұқыптылыққа жауапкершілікке тәрбиелеуге ұмтылу.
Сабақтың мақсаты:Алкандар, жалпы формуласы, атаулары, алкандарды алу және химиялық қасиеттері мен қолданылуы туралы жалпы түсінік беру;Циклоалкандар, формуласы,

Слайд 3Органикалық заттар
Органикалық заттардың жіктелуі
Ациклді
Циклді
Қаныққан
Қанықпаған
Карбоциклді
Гетероциклді
Алициклді


Ароматты

Органикалық заттарОрганикалық заттардың жіктелуіАциклді Циклді Қаныққан Қанықпаған Карбоциклді Гетероциклді Алициклді Ароматты

Слайд 4Қаныққан көмірсутектер (алкандар) – көміртек атомдары сутекке барынша қаныққан, яғни

басқа атомдарды қосып алуға қабілетсіз көмірсутектер. Оларды парафинді көмірсутектер деп

те атайды. Жалпы формуласы:
Қаныққан көмірсутектер (алкандар) – көміртек атомдары сутекке барынша қаныққан, яғни басқа атомдарды қосып алуға қабілетсіз көмірсутектер. Оларды

Слайд 5Алынуы:. Мұнай және табиғи газдар – алкандарды алудың шикізат көзі. Алкендерді өршіткі

қатысында гидрлеп алкандар алады: Вюрц реакциясы арқылы алу. Вюрц реакциясы –

метанның моногалоген туындысын алып, содан соң сол өнімді металл натриймен қыздыра отырып, күрделі алкандарды синтездеу.

Алкан радикалдарында –ан жұрнағының орнына –ил жұрнағы жалғану арқылы аталады. Алкилдердің жалпы формуласы:

Алынуы:. Мұнай және табиғи газдар – алкандарды алудың шикізат көзі. Алкендерді өршіткі қатысында гидрлеп алкандар алады:

Слайд 7Алкандар номенклатурасы

Алкандар номенклатурасы

Слайд 8Физикалық қасиеттері
Алкандардың малекулалық массаларыныың өсуіне қарай олардың қайнау, балқу температуралары

да артады.

Физикалық қасиеттеріАлкандардың малекулалық массаларыныың өсуіне қарай олардың қайнау, балқу температуралары да артады.

Слайд 9Химиялық қасиеттері
1.Орынбасу реакциялары. Хлорлау реакциясы жүру үшін жарық (hv-жарық) немесе

температура қажет:


2. Галогендеу реакциясы – қанықққан көмірсутектердің маңызды реакцияларының

бірі. Галогендердің алкандармен әрекеттесу белсендігі мына қатарда кемиді:

3. Тотығу реакциясы. Алкандардың реакцияға түсу қабілеті төмен, салғырт болады. Қалыпты жағдайда концентрлі қышқылдармен, сілтілермен әрекеттеспейді. Реакцияға түсу үшін белгілі жағдай тудыру керек, мысалы, температура, жарық т.б. Метан жартылай тотыққанда, метанол немесе формальдегид түзіледі.

Химиялық қасиеттері1.Орынбасу реакциялары. Хлорлау реакциясы жүру үшін жарық (hv-жарық) немесе температура қажет: 2. Галогендеу реакциясы – қанықққан

Слайд 104. Жануы (толық тотығуы). Алкандар жанған кезде көп мөлшерде жылу

бөлініп, көмірқышқыл газы және су түзіледі.
5. Сумен әрекеттесуі. Метанды

су буымен никель өршіткісі үстінен 800-850°С-та өткізгенде, көміртек (ІІ) оксиді мен сутек түзіледі.

6. Айырылу реакциясы. Алкандар ауа қатыстырмай қатты қыздырғанда айырылады.

7. Дегидрлену: а) алкандарды жоғары температурада (400-600°С) өршіткі қатысында қыздырғанда сутек бөлініп, алкендер түзіледі:

Ә) құрамында алты және одан да көп көміртек атомдары бар алкандар өршіткі қатысында бензол және оның туындыларын түзіп циклденеді:

4. Жануы (толық тотығуы). Алкандар жанған кезде көп мөлшерде жылу бөлініп, көмірқышқыл газы және су түзіледі. 5.

Слайд 11Алкандардың қолданылуы

Алкандардың қолданылуы

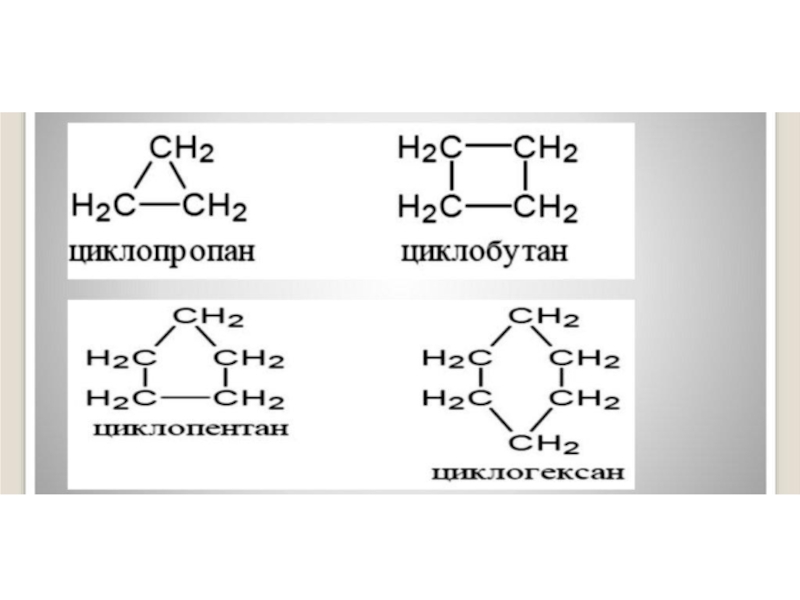
Слайд 12Циклопарафиндер – тұйық тізбекті қаныққан көмірсутектер. Циклоалкандар – құрамындағы

көміртек атомдары өзара дара байланыстар арқылы байланысқан, жалпы формуласы СnH2n

болатын циклді қаныққан көмірсутектер.
Циклопарафиндер – тұйық тізбекті қаныққан көмірсутектер.   Циклоалкандар – құрамындағы көміртек атомдары өзара дара байланыстар арқылы

Слайд 14Қасиеттері: 1) Жанады; 2) Орынбасу реакцияларына қатысады; 3) Қосылу реакциясы
Физикалық қасиеттері.
Циклоалкандардың алғашқы екі

мүшесі циклопропан мен циклобутан газдар, кейінгілері — сұйық заттар, жоғары

циклоалкандар — қатты заттар.
Циклоалкандардың қайнау және балқу температуралары сәйкес алкандар мен алкендерден жоғары.
Алкандар сияқты бұлар да суда ерімейді.
Қасиеттері: 1) Жанады; 2) Орынбасу реакцияларына қатысады; 3) Қосылу реакциясыФизикалық қасиеттері.Циклоалкандардың алғашқы екі мүшесі циклопропан мен циклобутан

Слайд 15Химиялық қасиеттері
Циклоалкандардың тұрақтылығы мен химиялық қасиеттері көбінесе циклдегі көмірсутек

атомдарының санына байланысты болады. Бұл көмірсутектердің ішіндегі химиялық ең тұрақтылары

— құрамында бес және алты көміртек атомы бар циклоалкандар.
Циклоалкандардың көміртек атомдары sp3 гибридтенген күйде болады.
Молекуласының құрамында үш және төрт көміртек атомдары бар циклопропан мен циклобутандардың валенттік бұрыштары 109°28’-тан едәуір ауытқитын (кіші) болғандықтан, циклде кернеу пайда болады да, олар бес және алты мүшелі циклоалкандардай тұрақты бола алмайды.
Химиялық қасиеттері Циклоалкандардың тұрақтылығы мен химиялық қасиеттері көбінесе циклдегі көмірсутек атомдарының санына байланысты болады. Бұл көмірсутектердің ішіндегі

Слайд 16Циклоалкандардың табиғатта кездесуі мен алынуы
Бес және алты мүшелі циклопарафиндер

(циклопентан, циклогексан) және олардың гомологтары мұнайдың кейбір түрлерінің құрамында болады.

Сондықтан оларды "нафтендер" деп те атайды. Циклоалкандарды мұнайдан бөліп алады, сонымен қатар синтездік жолмен де алады.
1. Құрамындағы галоген атомдары екі шеткі көміртек атомдарында орналасқан алкандардың дигалогентуындыларына мырышпен немесе натриймен әсер етіп алады. Төменгі циклоалкандарды, мысалы, дибромпропанға мырыш ұнтағымен әсер етіп алады.
С3Н6Вr2 + Zn → С2Н6 + ZnВr2
2. Циклоалкандар мен олардың туындыларын бензолды және оның сәйкес туындыларын катализатор қатысында гидрлеп алуға болады:
C6H6 + 3H2 → C6H12

Циклоалкандардың табиғатта кездесуі мен алынуы Бес және алты мүшелі циклопарафиндер (циклопентан, циклогексан) және олардың гомологтары мұнайдың кейбір

Слайд 17Қолданылуы.

Көп қолданылатын ең маңызды циклоалкандарға циклопентан, циклогексан, метилциклогексан,т.б. жатады.Олардан

бензол, толуол, бояулар, дәрі-дәрмектер алады.
Циклопентан медицинада наркоз ретінде қолданылады.
Циклопентанды

мотор майына қосу арқылы оның жанғыштық сапасын арттырады.
Циклопентанның маңызды туындысы циклопентакарбон қышқылы және оның туындыларынан жуғыш заттар, каполактам, адипин қышқылдары, т.б. алынады.
Қолданылуы. Көп қолданылатын ең маңызды циклоалкандарға циклопентан, циклогексан, метилциклогексан,т.б. жатады.Олардан бензол, толуол, бояулар, дәрі-дәрмектер алады. Циклопентан медицинада

Слайд 18І-тапсырма. Формулалар құрастыру.
1. Құрамдарында:
а) 6 көміртек атомы;
ә) 8 сутек атомы;
б)

10 көміртек атомы;
в) 36 сутек атомы
болатын алкандардың молекулалық формулаларын құрастырыңдар.

І-тапсырма. Формулалар құрастыру.1. Құрамдарында:а) 6 көміртек атомы;ә) 8 сутек атомы;б) 10 көміртек атомы;в) 36 сутек атомыболатын алкандардың

Слайд 19ІІ тапсырма Мына заттардың формулаларының ішінен қаныққан көмірсутекті анықтап, оның молекулалық

массасын есептеңдер: С3Н4, С4Н8, С5Н8, С6Н14, С7Н14

ІІ тапсырма Мына заттардың формулаларының ішінен қаныққан көмірсутекті анықтап, оның молекулалық массасын есептеңдер: С3Н4, С4Н8, С5Н8, С6Н14,

Обратная связь

Если не удалось найти и скачать доклад-презентацию, Вы можете заказать его на нашем сайте. Мы постараемся найти нужный Вам материал и отправим по электронной почте. Не стесняйтесь обращаться к нам, если у вас возникли вопросы или пожелания:

Email: Нажмите что бы посмотреть 

Что такое TheSlide.ru?

Это сайт презентации, докладов, проектов в PowerPoint. Здесь удобно  хранить и делиться своими презентациями с другими пользователями.


Для правообладателей

Яндекс.Метрика