Разделы презентаций


Критерии различий

Содержание

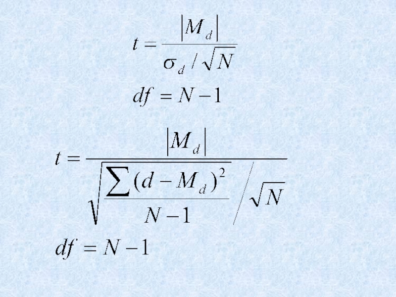
Критерий t-Стьюдента для зависимых выборокСтатистические гипотезы:H0: M1 = M2H1: M1 ≠ M2Условия использования:выборки являются зависимыми;распределение признака в обеих выборках соответствует нормальному закону.

Слайды и текст этой презентации

Слайд 1Критерии различий
Сравнение двух
зависимых выборок

Критерии различийСравнение двухзависимых выборок

Слайд 2Критерий t-Стьюдента для зависимых выборок
Статистические гипотезы:
H0: M1 = M2
H1: M1

≠ M2
Условия использования:
выборки являются зависимыми;
распределение признака в обеих выборках соответствует

нормальному закону.
Критерий t-Стьюдента для зависимых выборокСтатистические гипотезы:H0: M1 = M2H1: M1 ≠ M2Условия использования:выборки являются зависимыми;распределение признака в

Слайд 3Альтернатива: непараметрический критерий Т-Вилкоксона.
Единица анализа – разность (сдвиг) значений признака

для каждой пары наблюдений.

Альтернатива: непараметрический критерий Т-Вилкоксона.Единица анализа – разность (сдвиг) значений признака для каждой пары наблюдений.

Слайд 5Мd = -6 / 8 = -0,75

Мd = -6 / 8 = -0,75

Слайд 8зона значимости
зона незначимости
зона неопределенности
p=0,05
p=0,01
2,365
3,499
Подтверждается гипотеза H1.
Обнаружены статистически достоверные различия между

показателями.

2,39

зона значимостизона незначимостизона неопределенностиp=0,05p=0,012,3653,499Подтверждается гипотеза H1.Обнаружены статистически достоверные различия между показателями.2,39

Слайд 9Критерий T-Вилкоксона
Критерий является непараметрическим.
Параметрический аналог – t-Стьюдента для зависимых выборок.
Формулы

нет.

Критерий T-ВилкоксонаКритерий является непараметрическим.Параметрический аналог – t-Стьюдента для зависимых выборок.Формулы нет.

Слайд 10Критерий-исключение, как U
Чем меньше эмпирическое значение Т, тем больше различия
p=0,05
p=0,01
зона

неопределенности
зона незначимости
зона значимости

Критерий-исключение, как UЧем меньше эмпирическое значение Т, тем больше различияp=0,05p=0,01зона неопределенностизона незначимостизона значимости

Слайд 12Последовательность действий:
1. Подсчитать разности значений для каждого объекта выборки.
2. Ранжировать

абсолютные значения разностей.
3. Выписать ранги положительных и отрицательных разностей.
4. Подсчитать

суммы рангов отдельно для положительных и отрицательных разностей. За эмпирическое значение Т принимается меньшая сумма.
Последовательность действий:1. Подсчитать разности значений для каждого объекта выборки.2. Ранжировать абсолютные значения разностей.3. Выписать ранги положительных и

Слайд 135. Определяется p-уровень значимости: Т эмп. сравнивается с Т кр.

по таблице критических значений (для соответствующего объема выборки).
Различия достоверны, если

Т эмп. ≤ Т кр.
6. Принимается статистическое решение и формулируется вывод.
5. Определяется p-уровень значимости: Т эмп. сравнивается с Т кр. по таблице критических значений (для соответствующего объема

Слайд 14В данном примере:
Т1 = 13
Т2 = 65
Т эмп. = 13
По

таблице критических значений определяем уровень значимости.
Т эмп. = Т кр.

 принимается гипотеза Н1 о достоверности различий.

В данном примере:Т1 = 13Т2 = 65Т эмп. = 13По таблице критических значений определяем уровень значимости.Т эмп.

Слайд 16Проверка значимости
p=0,05
p=0,01
зона неопределенности
зона незначимости
7
13
T эмп. = 13
зона значимости
Подтверждается гипотеза

H1.
Обнаружены статистически достоверные различия между показателями.

Проверка значимостиp=0,05p=0,01зона неопределенностизона незначимости7 13T эмп. = 13зона значимостиПодтверждается гипотеза H1.Обнаружены статистически достоверные различия между показателями.

Обратная связь

Если не удалось найти и скачать доклад-презентацию, Вы можете заказать его на нашем сайте. Мы постараемся найти нужный Вам материал и отправим по электронной почте. Не стесняйтесь обращаться к нам, если у вас возникли вопросы или пожелания:

Email: Нажмите что бы посмотреть 

Что такое TheSlide.ru?

Это сайт презентации, докладов, проектов в PowerPoint. Здесь удобно  хранить и делиться своими презентациями с другими пользователями.


Для правообладателей

Яндекс.Метрика