Разделы презентаций


Статистика финансовых результатов деятельности организации Учебное занятие 33 1

Содержание

Конечный финансовый результат деятельности организации - это прибыль. Прибыль – это превышение доходов от продажи товаров (работ услуг) над затратами на производство и реализацию продукции.Прибыль предприятия – это часть

Слайды и текст этой презентации

Слайд 1Статистика финансовых результатов деятельности организации


Учебное занятие 33

Статистика финансовых результатов деятельности организацииУчебное занятие 33

Слайд 2
Конечный финансовый результат деятельности организации - это прибыль.

Прибыль –

это превышение доходов от продажи товаров (работ услуг) над затратами

на производство и реализацию продукции.
Прибыль предприятия – это часть выручки от реализации продукции, которая остаётся после вычета из неё налогов, уплачиваемых из выручки и затрат на производство.


Конечный финансовый результат деятельности организации - это прибыль. Прибыль – это превышение доходов от продажи

Слайд 3

В приложении 1 к постановлению Министерства финансов Республики Беларусь от

31.10.2011 № 111 выделяют следующие виды прибыли:
Валовая;
От реализации

продукции;
От текущей деятельности;
От инвестиционной, финансовой и иной деятельности;
До налогообложения;
Чистая;
Совокупная

В приложении 1 к постановлению Министерства финансов Республики Беларусь от 31.10.2011   № 111 выделяют

Слайд 4

1. Валовая прибыль - разность между выручкой от реализации продукта,

себестоимостью реализуемой продукции (работ, услуг), а также косвенными налогами:
П

вал. = ВР-С-А-НДС
2. Прибыль от реализации продукции (работ, услуг):

П реал. = ВР- А - НДС - С - Р упр.- Р реал.

ВР – выручкой от реализации продукции (работ, услуг);
А – сумма акциза;
НДС – налог на добавленную стоимость;
С – себестоимость реализованной продукции;
Р упр. – управленческие расходы;
Р реал. – расходы на реализацию.


1. Валовая прибыль - разность между выручкой от реализации продукта, себестоимостью реализуемой продукции (работ, услуг), а

Слайд 5
или
П реал. = П вал. - Р упр.- Р реал.

3.

Прибыль от текущей деятельности:
П деят. тек. = ВР - А

- НДС - С - Р упр. - Р реал.+
+ Д пр. деят. тек. - Р пр. деят. тек.
или
П деят. тек. = П реал. + Д пр. деят. тек. - Р пр. деят. тек.

Д пр. деят. тек. – прочие доходы от текущей деятельности
Р пр. деят. тек. - прочие доходы от текущей деятельности




илиП реал. = П вал. - Р упр.- Р реал.3. Прибыль от текущей деятельности:П деят. тек.

Слайд 6
4. Прибыль от инвестиционной и финансовой деятельности:

П деят. инв. =

Д деят. инв. - Р деят. инв.

Д деят. инв.

- доходы по инвестиционной деятельности;
Р деят. инв. - расходы по инвестиционной деятельности.

П деят. фин. = Д деят. фин. - Р деят. фин.

Д деят. фин. - доходы по финансовой деятельности;
Р деят. фин. - расходы по финансовой деятельности.


4. Прибыль от инвестиционной и финансовой деятельности:П деят. инв. = Д деят. инв. - Р деят.

Слайд 7
5. Прибыль до налогообложения:

П до н.о = П деят. тек.

+ П деят. инв. + П деят. фин. +
+ П

деят. проч.

П деят. тек. – прибыль от текущей деятельности;
П деят. инв. – прибыль от инвестиционной деятельности;
П деят. фин. – прибыль от финансовой деятельности;
П деят. проч. - прибыль от иной деятельности.

5. Прибыль до налогообложения:П до н.о = П деят. тек. + П деят. инв. + П

Слайд 8
5. Чистая прибыль - это часть прибыли, которая остается в

распоряжении предприятия после уплаты установленных законодательством налогов, обязательных платежей, отчислений:
ЧП

= П до н.о – НП – Нснс - Ндпр
П до н.о – прибыль до налогообложения;
НП – налог на прибыль (18%);
Нснс – налог на сверхнормативное незавершённое строительство;
Ндп – налог за добычу (изъятие) природных ресурсов сверх установленных лимитов.
Прибыль, остающаяся в распоряжении предприятия, распределяется в резервный фонд, фонд накопления, фонд потребления.
Чистая прибыль используется организацией для развития, совершенствования производства, для материального поощрения работников, а также для удовлетворения личных потребностей владельца предприятия.

5. Чистая прибыль - это часть прибыли, которая остается в распоряжении предприятия после уплаты установленных законодательством

Слайд 9

Задачи статистического изучения финансовых результатов деятельности организации:
Анализ структуры прибыли;
Выполнение плана

и динамики прибыли;
Выявление факторов, влияющих на уровень и динамику прибыли

и рентабельности.
Задачи статистического изучения финансовых результатов деятельности организации:Анализ структуры прибыли;Выполнение плана и динамики прибыли;Выявление факторов, влияющих на

Слайд 10
Рентабельность - это показатель экономической эффективности деятельности предприятия,

отражающий конечные результаты хозяйственной деятельности; соотношение прибыли и затрат, выраженное

в процентах.
Виды рентабельности:
1.Рентабельность производства (Р) характеризует прибыльность производственных фондов предприятия и показывает величину прибыли, приходящуюся на 1 руб. основных средств и нормируемых оборотных средств.
Р=(П/(ОС+НОС))* 100%
НОС- стоимость нормируемых оборотных средств,
ОС - стоимость основных средств,
П - прибыль предприятия.

Рентабельность - это показатель экономической эффективности деятельности предприятия, отражающий конечные результаты хозяйственной деятельности; соотношение

Слайд 11
2. Рентабельность продукции (Рпр) характеризует прибыльность продукции и показывает величину прибыли

на 1 руб. текущих издержек.
Рпр=(П/С) *100%
П - прибыль от реализации

продукции,
С - себестоимость реализованной продукции.
3. Рентабельность оборота (Ро):
Ро=(П/ВР) *100%
ВР-выручка
4. Рентабельность собственного капитала:
Р=(П/СК)*100%
СК-стоимость собственного капитала
5. Рентабельность заемного капитала:
Р=(П/ЗК) *100%
ЗК - стоимость заемного капитала
6. Рентабельность основных средств:
Р=(П/ОС) *100%
ОС - стоимость основных средств

2.	Рентабельность продукции (Рпр) характеризует прибыльность продукции и показывает величину прибыли на 1 руб. текущих издержек.Рпр=(П/С) *100%П

Слайд 12 Анализ динамики прибыли
На величину изменения прибыли

от реализации продукции(работ, услуг) оказывают влияние следующие факторы:
Изменение цен на

реализованную продукцию:



стоимость реализованной продукции отчетного периода фактическая и в базисных ценах соответственно;

фактическая себестоимость реализованной продукции,

исчисленной в отчетном периоде продукции.
Изменение себестоимости реализованной продукции:



затраты на производство реализованной продукции в отчетном периоде, исчисленные исходя из базисного уровня себестоимости
Анализ динамики прибыли   На величину изменения прибыли от реализации продукции(работ, услуг) оказывают влияние следующие

Слайд 13Изменение ассортимента реализуемой продукции:
Определить, как влияет изменение ассортимента продукции на

размер прибыли от реализации, можно и сальдовым методом - из

общего отклонения фактической суммы прибыли от базисной вычесть отклонения, полученные за счет отдельных факторов:


Суммарное значение влияния рассмотренных факторов соответствует величине абсолютного изменения прибыли от реализации продукции:


- базисная стоимость реализованной продукции;
- базисные затраты реализованной продукции

Изменение объема реализованной продукции:

Изменение ассортимента реализуемой продукции:Определить, как влияет изменение ассортимента продукции на размер прибыли от реализации, можно и сальдовым

Слайд 14Пример 1
Имеются данные по предприятию (млн. руб.)













Требуется

определить влияние отдельных факторов на отклонение фактической суммы прибыли от

реализации продукции от плановой.
Пример 1Имеются данные по предприятию (млн. руб.)   Требуется определить влияние отдельных факторов на отклонение фактической

Слайд 15Решение.
1.Влияние изменения цен на реализованную продукцию;




2.Влияние изменения себестоимости реализованной продукции;




3.Влияние

изменения объема реализованной продукции;

Решение.1.Влияние изменения цен на реализованную продукцию;2.Влияние изменения себестоимости реализованной продукции;3.Влияние изменения объема реализованной продукции;

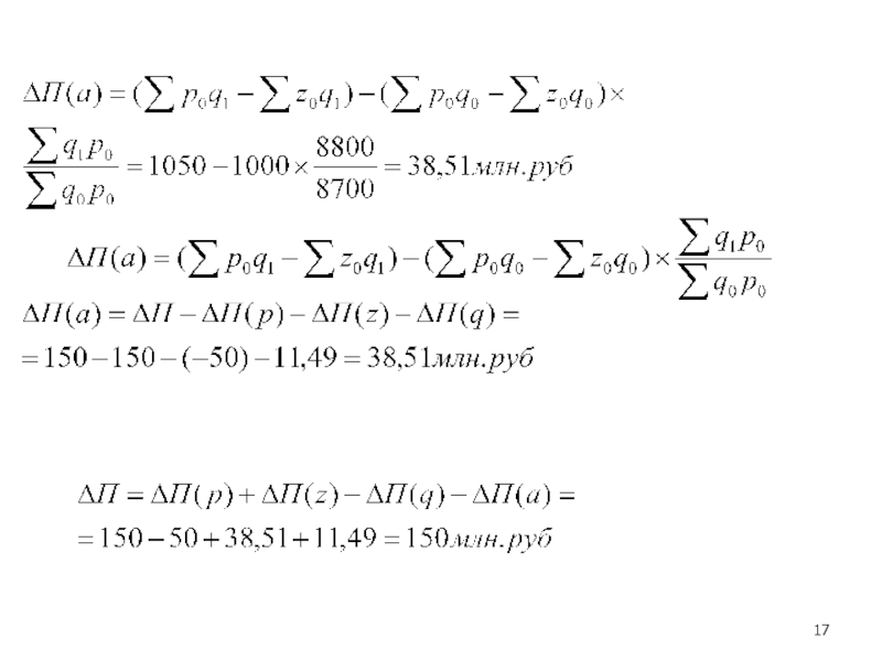
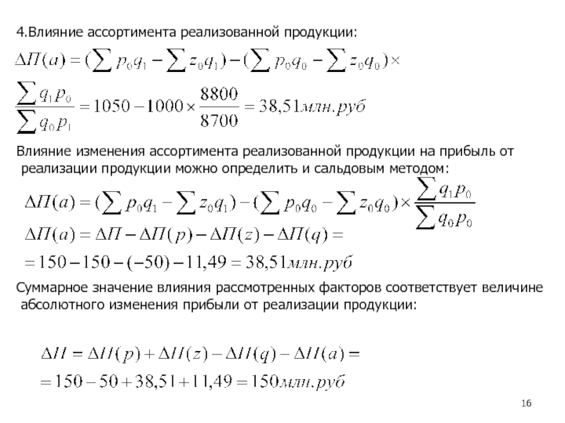
Слайд 164.Влияние ассортимента реализованной продукции:






Влияние изменения ассортимента реализованной продукции на прибыль

от
реализации продукции можно определить и сальдовым методом:






Суммарное значение влияния

рассмотренных факторов соответствует величине
абсолютного изменения прибыли от реализации продукции:
4.Влияние ассортимента реализованной продукции:Влияние изменения ассортимента реализованной продукции на прибыль от реализации продукции можно определить и сальдовым

Слайд 18Задачи
15.1.В годовом отчете завода имеются сведения о реализации продукции млн.руб



















Определить

влияние отдельных факторов на отклонения фактической
Суммы прибыли от реализации продукции

от плановой.
Задачи15.1.В годовом отчете завода имеются сведения о реализации продукции млн.рубОпределить влияние отдельных факторов на отклонения фактическойСуммы прибыли

Слайд 1915.2.Имеются данные по заводу за два смежных года.















Определите по каждому

виду продукции изменение общей суммы прибыли
вследствие изменений :а)суммы затрат

и уровня рентабельности;
Б)уровня себестоимости , отпускной цены и объема реализации
15.2.Имеются данные по заводу за два смежных года.Определите по каждому виду продукции изменение общей суммы прибыли вследствие

Слайд 2015.3. Имеются следующие данные по предприятию млн.руб

15.3. Имеются следующие данные по предприятию млн.руб

Слайд 21Определите:
1)Изменение сумм прибыли в целом, в том числе под влиянием

на эти
изменения факторов;
2)Изменение уровней рентабельности организации –всего и в

том числе
вследствие изменения отдельных факторов.
Определите:1)Изменение сумм прибыли в целом, в том числе под влиянием на эти изменения факторов;2)Изменение уровней рентабельности организации

Обратная связь

Если не удалось найти и скачать доклад-презентацию, Вы можете заказать его на нашем сайте. Мы постараемся найти нужный Вам материал и отправим по электронной почте. Не стесняйтесь обращаться к нам, если у вас возникли вопросы или пожелания:

Email: Нажмите что бы посмотреть 

Что такое TheSlide.ru?

Это сайт презентации, докладов, проектов в PowerPoint. Здесь удобно  хранить и делиться своими презентациями с другими пользователями.


Для правообладателей

Яндекс.Метрика